• 文献检索
  • 文档翻译
  • 深度研究
  • 学术资讯
  • Suppr Zotero 插件Zotero 插件
  • 邀请有礼
  • 套餐&价格
  • 历史记录
应用&插件
Suppr Zotero 插件Zotero 插件浏览器插件Mac 客户端Windows 客户端微信小程序
定价
高级版会员购买积分包购买API积分包
服务
文献检索文档翻译深度研究API 文档MCP 服务
关于我们
关于 Suppr公司介绍联系我们用户协议隐私条款
关注我们

Suppr 超能文献

核心技术专利:CN118964589B侵权必究
粤ICP备2023148730 号-1Suppr @ 2026

文献检索

告别复杂PubMed语法,用中文像聊天一样搜索,搜遍4000万医学文献。AI智能推荐,让科研检索更轻松。

立即免费搜索

文件翻译

保留排版,准确专业,支持PDF/Word/PPT等文件格式,支持 12+语言互译。

免费翻译文档

深度研究

AI帮你快速写综述,25分钟生成高质量综述,智能提取关键信息,辅助科研写作。

立即免费体验

GLCCI1在抑制哮喘中PI3K诱导的NLRP3炎性小体激活中的作用。

Role of GLCCI1 in inhibiting PI3K-induced NLRP3 inflammasome activation in asthma.

作者信息

Zhang Yingyu, Jiang Yuanyuan, Zhang Daimo, Hu Xinyue, Deng Shuanglinzi, Li Xiaozhao, Feng Juntao

机构信息

Department of Respiratory Medicine, National Key Clinical Specialty, Branch of National Clinical Research Center for Respiratory Disease, Xiangya Hospital, Central South University, Changsha, Hunan 410008, China.

Department of Clinical Laboratory, Xiangya Hospital, Central South University, Changsha, Hunan 410008, China.

出版信息

Chin Med J Pulm Crit Care Med. 2024 Dec 17;2(4):279-288. doi: 10.1016/j.pccm.2024.11.007. eCollection 2024 Dec.

DOI:10.1016/j.pccm.2024.11.007
PMID:39834584
原文链接:https://pmc.ncbi.nlm.nih.gov/articles/PMC11742361/
Abstract

BACKGROUND

Glucocorticoid-induced transcript 1 (GLCCI1) has been reported to be associated with the efficiency of inhaled glucocorticoids in patients with asthma. This study aimed to investigate the role of GLCCI1 in the regulation of nucleotide-binding oligomerization domain (NOD)-like receptor (NLR) family pyrin domain-containing 3 (NLRP3) by the phosphatidylinositol 3-kinase (PI3K) pathway in the pathogenesis of allergic asthma.

METHODS

The expression levels of genes encoding GLCCI1, NLRP3 inflammasome components, and PI3K pathway-related indicators were detected in cells isolated from induced sputum from patients with asthma and healthy controls. Next, we induced asthma in wild-type C57BL/6 mice and knockout ( ) mice by injecting them with ovalbumin (OVA) and treated the asthmatic mice with a PI3K pathway inhibitor (LY294002) or left them untreated. We also performed adoptive transfer of macrophages into the mice and assessed lung inflammation, as well as GLCCI1, PI3K pathway component, and NLRP3 inflammasome component expression levels. Finally, primary bone marrow-derived macrophages (BMDMs) from wild-type and mice were treated with OVA, either in the presence or absence of LY294002 and the NLRP3 inhibitor (MCC950), to validate our findings.

RESULTS

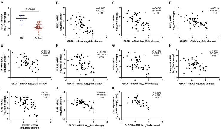
The mRNA level of in induced sputum cells from asthmatic patients was lower compared to that of healthy controls. Additionally, mRNA expression correlated negatively with NLRP3 inflammasome indicators and the PI3K pathway components, as well as with IL-1β expression in induced sputum macrophages. asthmatic mice showed elevated levels of airway inflammation and NLRP3 inflammasome activation compared to wild-type asthmatic mice. Surprisingly, the efficacy of LY294002 in reducing lung tissue inflammation and NLRP3 inflammasome activity in wild-type asthmatic mice was attenuated by knockout. LY294002 enhanced GLCCI1 levels in macrophages within the lung tissue of wild-type asthmatic mice. Moreover, LY294002 did not inhibit lung inflammation in wild-type asthmatic mice depleted of macrophages that had received adoptive transfer of BMDMs. experiments further illustrated that LY294002 suppressed NLRP3 activation by upregulating GLCCI1 expression in BMDMs. The introduction of MCC950 led to a marked decrease in NLRP3 and apoptosis-associated speck-like protein containing a caspase recruitment domain (ASC) protein levels, but did not affect the expression levels of GLCCI1 or the phospho-protein kinase B (p-AKT)/AKT ratio.

CONCLUSIONS

GLCCI1 deficiency promotes asthma inflammation through PI3K-induced NLRP3 inflammasome activation.

摘要

背景

糖皮质激素诱导转录物1(GLCCI1)已被报道与哮喘患者吸入糖皮质激素的疗效相关。本研究旨在探讨GLCCI1在过敏性哮喘发病机制中通过磷脂酰肌醇3激酶(PI3K)途径对核苷酸结合寡聚化结构域(NOD)样受体(NLR)家族含pyrin结构域3(NLRP3)的调节作用。

方法

检测哮喘患者和健康对照者诱导痰中分离的细胞中编码GLCCI1、NLRP3炎性小体成分和PI3K途径相关指标的基因表达水平。接下来,我们通过给野生型C57BL/6小鼠和敲除( )小鼠注射卵清蛋白(OVA)诱导哮喘,并使用PI3K途径抑制剂(LY294002)治疗哮喘小鼠或不进行治疗。我们还将巨噬细胞过继转移到小鼠体内,并评估肺部炎症以及GLCCI1、PI3K途径成分和NLRP3炎性小体成分的表达水平。最后,用OVA处理野生型和 小鼠的原代骨髓来源巨噬细胞(BMDM),同时存在或不存在LY294002和NLRP3抑制剂(MCC950),以验证我们的发现。

结果

与健康对照相比,哮喘患者诱导痰细胞中 的mRNA水平较低。此外, mRNA表达与NLRP3炎性小体指标、PI3K途径成分以及诱导痰巨噬细胞中的IL-1β表达呈负相关。 哮喘小鼠与野生型哮喘小鼠相比,气道炎症水平和NLRP3炎性小体激活水平升高。令人惊讶的是,敲除 会减弱LY294002在减轻野生型哮喘小鼠肺组织炎症和NLRP3炎性小体活性方面的疗效。LY294002可提高野生型哮喘小鼠肺组织巨噬细胞中的GLCCI1水平。此外,LY294002对接受过继转移的 BMDM的野生型哮喘小鼠的肺炎症没有抑制作用。 实验进一步表明,LY294002通过上调BMDM中的GLCCI1表达来抑制NLRP3激活。引入MCC950导致NLRP3和含半胱天冬酶募集结构域的凋亡相关斑点样蛋白(ASC)蛋白水平显著降低,但不影响GLCCI1的表达水平或磷酸化蛋白激酶B(p-AKT)/AKT比值。

结论

GLCCI1缺乏通过PI3K诱导的NLRP3炎性小体激活促进哮喘炎症。

https://cdn.ncbi.nlm.nih.gov/pmc/blobs/7905/11742361/08ef02f16fd3/gr5.jpg
https://cdn.ncbi.nlm.nih.gov/pmc/blobs/7905/11742361/8f37e5ab1e01/gr1.jpg
https://cdn.ncbi.nlm.nih.gov/pmc/blobs/7905/11742361/8cccee241c4a/gr2.jpg
https://cdn.ncbi.nlm.nih.gov/pmc/blobs/7905/11742361/dd6d2a8547c9/gr3.jpg
https://cdn.ncbi.nlm.nih.gov/pmc/blobs/7905/11742361/951bd87802fe/gr4.jpg
https://cdn.ncbi.nlm.nih.gov/pmc/blobs/7905/11742361/08ef02f16fd3/gr5.jpg
https://cdn.ncbi.nlm.nih.gov/pmc/blobs/7905/11742361/8f37e5ab1e01/gr1.jpg
https://cdn.ncbi.nlm.nih.gov/pmc/blobs/7905/11742361/8cccee241c4a/gr2.jpg
https://cdn.ncbi.nlm.nih.gov/pmc/blobs/7905/11742361/dd6d2a8547c9/gr3.jpg
https://cdn.ncbi.nlm.nih.gov/pmc/blobs/7905/11742361/951bd87802fe/gr4.jpg
https://cdn.ncbi.nlm.nih.gov/pmc/blobs/7905/11742361/08ef02f16fd3/gr5.jpg

相似文献

1
Role of GLCCI1 in inhibiting PI3K-induced NLRP3 inflammasome activation in asthma.GLCCI1在抑制哮喘中PI3K诱导的NLRP3炎性小体激活中的作用。
Chin Med J Pulm Crit Care Med. 2024 Dec 17;2(4):279-288. doi: 10.1016/j.pccm.2024.11.007. eCollection 2024 Dec.
2
Activation of NLRP3 inflammasome contributes to the inflammatory response to allergic rhinitis via macrophage pyroptosis.NLRP3 炎性小体的激活通过巨噬细胞焦亡促进变应性鼻炎的炎症反应。
Int Immunopharmacol. 2022 Sep;110:109012. doi: 10.1016/j.intimp.2022.109012. Epub 2022 Jul 6.
3
MUC1 attenuates neutrophilic airway inflammation in asthma by reducing NLRP3 inflammasome-mediated pyroptosis through the inhibition of the TLR4/MyD88/NF-κB pathway.黏蛋白 1 通过抑制 TLR4/MyD88/NF-κB 通路减少 NLRP3 炎性小体介导的焦亡,从而减轻哮喘中的中性粒细胞性气道炎症。
Respir Res. 2023 Oct 25;24(1):255. doi: 10.1186/s12931-023-02550-y.
4
FSTL1 aggravates OVA-induced inflammatory responses by activating the NLRP3/IL-1β signaling pathway in mice and macrophages.FSTL1通过激活小鼠和巨噬细胞中的NLRP3/IL-1β信号通路加重卵清蛋白诱导的炎症反应。
Inflamm Res. 2021 Jul;70(7):777-787. doi: 10.1007/s00011-021-01475-w. Epub 2021 Jun 2.
5
Blockade of NLRP3/Caspase-1/IL-1 Regulated Th17/Treg Immune Imbalance and Attenuated the Neutrophilic Airway Inflammation in an Ovalbumin-Induced Murine Model of Asthma.阻断 NLRP3/Caspase-1/IL-1 调节的 Th17/Treg 免疫失衡并减轻卵清蛋白诱导的哮喘小鼠模型中的中性粒细胞气道炎症。
J Immunol Res. 2022 May 25;2022:9444227. doi: 10.1155/2022/9444227. eCollection 2022.
6
miR-146a-5p Attenuates Allergic Airway Inflammation by Inhibiting the NLRP3 Inflammasome Activation in Macrophages.miR-146a-5p 通过抑制巨噬细胞中 NLRP3 炎性小体的激活来减轻过敏性气道炎症。
Int Arch Allergy Immunol. 2022;183(9):919-930. doi: 10.1159/000524718. Epub 2022 Jun 3.
7
Ethanol extract of inhibits the NLRP3 inflammasome by suppressing ASC oligomerization in macrophages.[提取物名称]的乙醇提取物通过抑制巨噬细胞中ASC的寡聚化来抑制NLRP3炎性小体。
Exp Ther Med. 2023 Feb 7;25(3):128. doi: 10.3892/etm.2023.11827. eCollection 2023 Mar.
8
NLRP3 regulates macrophage M2 polarization through up-regulation of IL-4 in asthma.NLRP3 通过上调哮喘中的 IL-4 调节巨噬细胞 M2 极化。
Biochem J. 2018 Jun 21;475(12):1995-2008. doi: 10.1042/BCJ20180086.
9
Sodium houttuyfonate plays a protective role in the asthmatic airway by alleviating the NLRP3-related pyroptosis and Th1/Th2 immune imbalance.荭草薁酸钠通过减轻 NLRP3 相关的细胞焦亡和 Th1/Th2 免疫失衡发挥对哮喘气道的保护作用。
Mol Immunol. 2023 Aug;160:103-111. doi: 10.1016/j.molimm.2023.06.013. Epub 2023 Jul 4.
10
Hydrogen-Rich Saline Attenuated Subarachnoid Hemorrhage-Induced Early Brain Injury in Rats by Suppressing Inflammatory Response: Possible Involvement of NF-κB Pathway and NLRP3 Inflammasome.富氢盐水通过抑制炎症反应减轻大鼠蛛网膜下腔出血诱导的早期脑损伤:NF-κB通路和NLRP3炎性小体的可能参与
Mol Neurobiol. 2016 Jul;53(5):3462-3476. doi: 10.1007/s12035-015-9242-y. Epub 2015 Jun 20.

引用本文的文献

1
Benzo[a]pyrene aggravated ovalbumin‑induced epithelial tight junction disruption via ROS driven‑NLRP3/Caspase‑1 signaling pathway in asthmatic mice.苯并[a]芘通过活性氧驱动的NLRP3/半胱天冬酶-1信号通路加重卵清蛋白诱导的哮喘小鼠上皮紧密连接破坏。
Int J Mol Med. 2025 Sep;56(3). doi: 10.3892/ijmm.2025.5573. Epub 2025 Jul 4.
2
The MFGE8/integrin β3 axis mitigates experimental neutrophilic asthma by suppressing NLRP3-Caspase-1 pathway-mediated NETosis.MFGE8/整合素β3轴通过抑制NLRP3-半胱天冬酶-1途径介导的中性粒细胞胞外诱捕网形成来减轻实验性嗜中性粒细胞性哮喘。
Respir Res. 2025 Jul 2;26(1):229. doi: 10.1186/s12931-025-03313-7.

本文引用的文献

1
PI3Kγδ inhibition suppresses key disease features in a rat model of asthma.PI3Kγδ抑制可抑制哮喘大鼠模型的关键疾病特征。
Respir Res. 2024 Apr 23;25(1):175. doi: 10.1186/s12931-024-02814-1.
2
The role of NLRP3 inflammasome in type 2 inflammation related diseases.NLRP3炎性小体在2型炎症相关疾病中的作用。
Autoimmunity. 2024 Dec;57(1):2310269. doi: 10.1080/08916934.2024.2310269. Epub 2024 Feb 8.
3
Structural Mechanisms of NLRP3 Inflammasome Assembly and Activation.NLRP3 炎性小体组装和激活的结构机制。
Annu Rev Immunol. 2023 Apr 26;41:301-316. doi: 10.1146/annurev-immunol-081022-021207. Epub 2023 Feb 7.
4
Advances in the Discovery of Novel Inhaled PI3Kδ Inhibitors for the Treatment of Asthma.用于治疗哮喘的新型吸入式PI3Kδ抑制剂的发现进展
Curr Med Chem. 2023;30(17):1971-1992. doi: 10.2174/0929867329666220819115011.
5
Embedding MSCs in Si-HPMC hydrogel decreased MSC-directed host immune response and increased the regenerative potential of macrophages.将间充质干细胞嵌入硅化羟丙基甲基纤维素水凝胶中可降低间充质干细胞介导的宿主免疫反应,并增强巨噬细胞的再生潜力。
Regen Biomater. 2022 Apr 25;9:rbac022. doi: 10.1093/rb/rbac022. eCollection 2022.
6
Insights into potential mechanisms of asthma patients with COVID-19: A study based on the gene expression profiling of bronchoalveolar lavage fluid.COVID-19 合并哮喘患者潜在机制的研究进展:基于支气管肺泡灌洗液基因表达谱的研究。
Comput Biol Med. 2022 Jul;146:105601. doi: 10.1016/j.compbiomed.2022.105601. Epub 2022 May 19.
7
Treatment Resistance in Severe Asthma Patients With a Combination of High Fraction of Exhaled Nitric Oxide and Low Blood Eosinophil Counts.呼出一氧化氮高分数与低血嗜酸性粒细胞计数相结合的重度哮喘患者的治疗抵抗
Front Pharmacol. 2022 Apr 20;13:836635. doi: 10.3389/fphar.2022.836635. eCollection 2022.
8
Maresin-2 alleviates allergic airway inflammation in mice by inhibiting the activation of NLRP3 inflammasome, Th2 type immune response and oxidative stress.maresin-2通过抑制NLRP3炎性小体的激活、Th2型免疫反应和氧化应激来减轻小鼠的过敏性气道炎症。
Mol Immunol. 2022 Jun;146:78-86. doi: 10.1016/j.molimm.2022.03.118. Epub 2022 Apr 21.
9
AP-1 signaling pathway promotes pro-IL-1β transcription to facilitate NLRP3 inflammasome activation upon influenza A virus infection.AP-1 信号通路促进 pro-IL-1β 的转录,从而促进流感病毒感染时 NLRP3 炎性小体的激活。
Virulence. 2022 Dec;13(1):502-513. doi: 10.1080/21505594.2022.2040188.
10
Pathogenic TNF-α drives peripheral nerve inflammation in an Aire-deficient model of autoimmunity.致病 TNF-α 在自身免疫的 Aire 缺陷模型中驱动周围神经炎症。
Proc Natl Acad Sci U S A. 2022 Jan 25;119(4). doi: 10.1073/pnas.2114406119.