Suppr超能文献

重新仰卧位后动脉血氧分压与吸入氧分数比值对重症新型冠状病毒肺炎患者生存的保护作用

The Protective Role of the Ratio of Arterial Partial Pressure of Oxygen and Fraction of Inspired Oxygen after Re-Supination in the Survival of Patients with Severe COVID-19 Pneumonia.

作者信息

Sánchez-Díaz Jesús S, Peniche-Moguel Karla G, Escarramán-Martínez Diego, Reyes-Ruíz José M, Pérez-Nieto Orlando R

机构信息

Instituto Mexicano del Seguro Social, Terapia Intensiva, Mexico.

Secretaria de Salud, Terapia Intensiva, Mexico.

出版信息

Open Respir Med J. 2024 Nov 14;18:e18743064334878. doi: 10.2174/0118743064334878241028114347. eCollection 2024.

Abstract

BACKGROUND

The role of the ratio between the arterial partial pressure of oxygen and the inspired fraction of oxygen (PaO/FiO ratio) during the change in position is not fully established.

METHODS

This retrospective, single-center cohort study included 98 patients with severe COVID-19 pneumonia.

OBJECTIVE

This study aimed to evaluate the predictive value of the PaO/FiO ratio for survival in patients with severe COVID-19 pneumonia between changing from supine to prone positions and . The PaO/FiO ratio was measured preproning (T0), 30 min to 1 hour (T1), and 48 h after prone positioning (T2), and 30 min to 1 h after re-supination (T3).

RESULTS

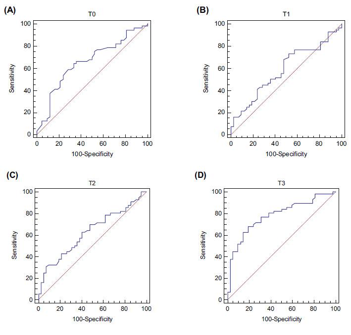
The PaO/FiO ratio at T2 and T3 was higher in the survivors than in the non-survivors (T2= 251.5 . 208.5, = 0.032; T3= 182 . 108.5, <0.001). The PaO/FiO ratio at T3 was an independent protective factor (Hazard Ratio (HR)= 0.993; 95% Confidence Interval (CI)= 0.989-0.998; = 0.006) for survival. A threshold of ≤129 for the PaO/FiO ratio at T3 predicted non-survival with a sensitivity and specificity of 67.86 and 80.95, respectively (Area Under the Curve (AUC)= 0.782; 95% CI 0.687-0.859).

CONCLUSION

The PaO/FiO ratio is a significant protective factor of survival in severe COVID-19 pneumonia within 30 min-1 hour after returning to the supine position (re-supination).

摘要

背景

在体位改变过程中,动脉血氧分压与吸入氧分数之比(PaO₂/FiO₂ 比值)的作用尚未完全明确。

方法

这项回顾性单中心队列研究纳入了 98 例重症 COVID-19 肺炎患者。

目的

本研究旨在评估 PaO₂/FiO₂ 比值对重症 COVID-19 肺炎患者从仰卧位转为俯卧位及再转为仰卧位后生存的预测价值。在俯卧前(T0)、俯卧 30 分钟至 1 小时(T1)、俯卧位 48 小时后(T2)以及再转为仰卧位 30 分钟至 1 小时后(T3)测量 PaO₂/FiO₂ 比值。

结果

幸存者在 T2 和 T3 时的 PaO₂/FiO₂ 比值高于非幸存者(T2 = 251.5 对 208.5,P = 0.032;T3 = 182 对 108.5,P < 0.001)。T3 时的 PaO₂/FiO₂ 比值是生存的独立保护因素(风险比(HR)= 0.993;95%置信区间(CI)= 0.989 - 0.998;P = 0.006)。T3 时 PaO₂/FiO₂ 比值≤129 的阈值预测非生存的敏感性和特异性分别为 67.86 和 80.95(曲线下面积(AUC)= 0.782;95% CI 0.687 - 0.859)。

结论

PaO₂/FiO₂ 比值是重症 COVID-19 肺炎患者恢复仰卧位(再转为仰卧位)后 30 分钟至 1 小时内生存的重要保护因素。

https://cdn.ncbi.nlm.nih.gov/pmc/blobs/07a6/11748056/1cd80a6eb7cb/TORMJ-18-E18743064334878_F1.jpg

文献检索

告别复杂PubMed语法,用中文像聊天一样搜索,搜遍4000万医学文献。AI智能推荐,让科研检索更轻松。

立即免费搜索

文件翻译

保留排版,准确专业,支持PDF/Word/PPT等文件格式,支持 12+语言互译。

免费翻译文档

深度研究

AI帮你快速写综述,25分钟生成高质量综述,智能提取关键信息,辅助科研写作。

立即免费体验