Suppr超能文献

血管生成素样蛋白4在肾脏疾病中的失调:一种有前景的生物标志物和治疗靶点。

Angiopoietin-like protein 4 dysregulation in kidney diseases: a promising biomarker and therapeutic target.

作者信息

Li Yan, Zhang Yuxin, Cao Mengxia, Yuan Tingting, Ou Santao

机构信息

Department of Nephrology, The Affiliated Hospital of Southwest Medical University, Luzhou, China.

Sichuan Clinical Research Center for Nephrology, Luzhou, China.

出版信息

Front Pharmacol. 2025 Jan 7;15:1475198. doi: 10.3389/fphar.2024.1475198. eCollection 2024.

Abstract

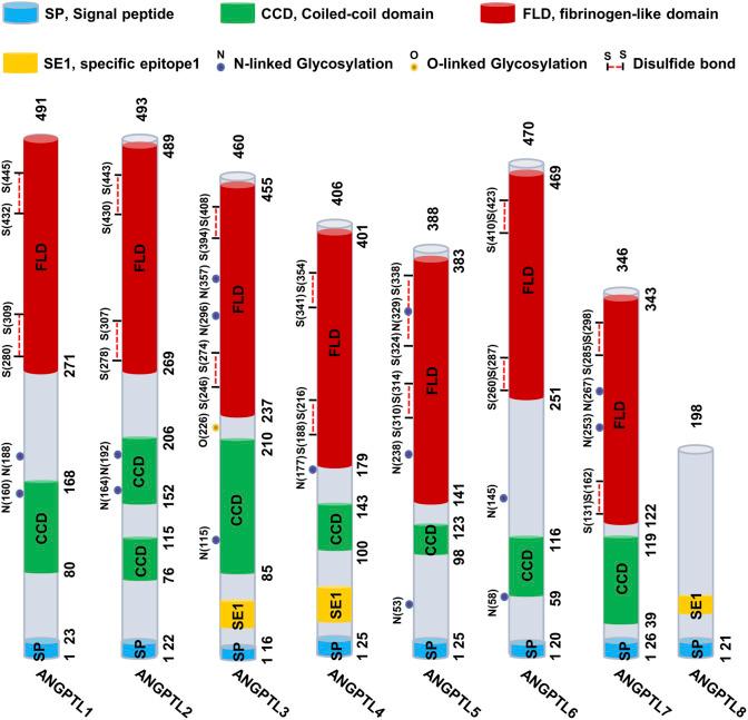
The global burden of renal diseases is increasingly severe, underscoring the need for in-depth exploration of the molecular mechanisms underlying renal disease progression and the development of potential novel biomarkers or therapeutic targets. Angiopoietin-like protein 4 (ANGPTL4) is a multifunctional cytokine involved in the regulation of key biological processes, such as glucose and lipid metabolism, inflammation, vascular permeability, and angiogenesis, all of which play crucial roles in the pathogenesis of kidney diseases. Over the past 2 decades, ANGPTL4 has been regarded as playing a pivotal role in the progression of various kidney diseases, prompting significant interest from the scientific community regarding its potential clinical utility in renal disorders. This review synthesizes the available literature, provides a concise overview of the molecular biological effects of ANGPTL4, and highlights its relationship with multiple renal diseases and recent research advancements. These findings underscore the important gaps that warrant further investigation to develop novel targets for the prediction or treatment of various renal diseases.

摘要

肾脏疾病的全球负担日益加重,这凸显了深入探究肾脏疾病进展背后的分子机制以及开发潜在新型生物标志物或治疗靶点的必要性。血管生成素样蛋白4(ANGPTL4)是一种多功能细胞因子,参与调控关键生物学过程,如葡萄糖和脂质代谢、炎症、血管通透性和血管生成,所有这些过程在肾脏疾病的发病机制中都起着至关重要的作用。在过去的20年里,ANGPTL4被认为在各种肾脏疾病的进展中起关键作用,这引发了科学界对其在肾脏疾病中潜在临床应用的极大兴趣。本综述综合了现有文献,简要概述了ANGPTL4的分子生物学效应,并强调了其与多种肾脏疾病的关系以及近期的研究进展。这些发现突出了一些重要差距,值得进一步研究以开发预测或治疗各种肾脏疾病的新靶点。

https://cdn.ncbi.nlm.nih.gov/pmc/blobs/c251/11747783/c3a2b861c285/fphar-15-1475198-g001.jpg

文献检索

告别复杂PubMed语法,用中文像聊天一样搜索,搜遍4000万医学文献。AI智能推荐,让科研检索更轻松。

立即免费搜索

文件翻译

保留排版,准确专业,支持PDF/Word/PPT等文件格式,支持 12+语言互译。

免费翻译文档

深度研究

AI帮你快速写综述,25分钟生成高质量综述,智能提取关键信息,辅助科研写作。

立即免费体验