• 文献检索
  • 文档翻译
  • 深度研究
  • 学术资讯
  • Suppr Zotero 插件Zotero 插件
  • 邀请有礼
  • 套餐&价格
  • 历史记录
应用&插件
Suppr Zotero 插件Zotero 插件浏览器插件Mac 客户端Windows 客户端微信小程序
定价
高级版会员购买积分包购买API积分包
服务
文献检索文档翻译深度研究API 文档MCP 服务
关于我们
关于 Suppr公司介绍联系我们用户协议隐私条款
关注我们

Suppr 超能文献

核心技术专利:CN118964589B侵权必究
粤ICP备2023148730 号-1Suppr @ 2026

文献检索

告别复杂PubMed语法,用中文像聊天一样搜索,搜遍4000万医学文献。AI智能推荐,让科研检索更轻松。

立即免费搜索

文件翻译

保留排版,准确专业,支持PDF/Word/PPT等文件格式,支持 12+语言互译。

免费翻译文档

深度研究

AI帮你快速写综述,25分钟生成高质量综述,智能提取关键信息,辅助科研写作。

立即免费体验

具有非单调故障率的寿命情景建模。

Modeling of lifetime scenarios with non-monotonic failure rates.

作者信息

Alahmadi Amani Abdullah, Albalawi Olayan, Khashab Rana H, Johannssen Arne, Nasiru Suleman, Almarzouki Sanaa Mohammed, Elgarhy Mohammed

机构信息

College of Science and Humanities, Shaqra University, Shaqra, Saudi Arabia.

Department of Statistics, Faculty of Science, University of Tabuk, Tabuk, Saudi Arabia.

出版信息

PLoS One. 2025 Jan 22;20(1):e0314237. doi: 10.1371/journal.pone.0314237. eCollection 2025.

DOI:10.1371/journal.pone.0314237
PMID:39841650
原文链接:https://pmc.ncbi.nlm.nih.gov/articles/PMC11753802/
Abstract

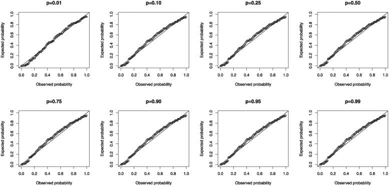
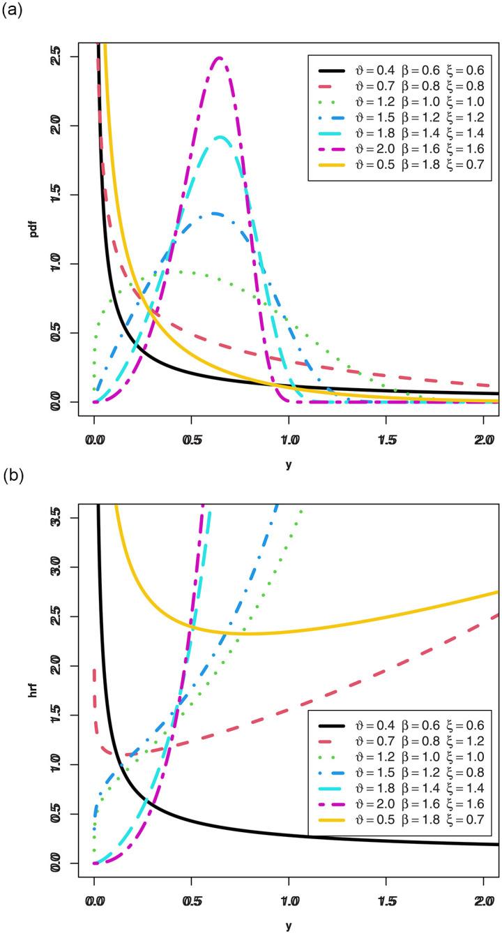
The Weibull distribution is an important continuous distribution that is cardinal in reliability analysis and lifetime modeling. On the other hand, it has several limitations for practical applications, such as modeling lifetime scenarios with non-monotonic failure rates. However, accurate modeling of non-monotonic failure rates is essential for achieving more accurate predictions, better risk management, and informed decision-making in various domains where reliability and longevity are critical factors. For this reason, we introduce a new three parameter lifetime distribution-the Modified Kies Weibull distribution (MKWD)-that is able to model lifetime scenarios with non-monotonic failure rates. We analyze the statistical features of the MKWD, such as the quantile function, median, moments, mean, variance, skewness, kurtosis, coefficient of variation, index of dispersion, moment generating function, incomplete moments, conditional moments, Bonferroni, Lorenz, and Zenga curves, and order statistics. Various measures of uncertainty for the MKWD such as Rényi entropy, exponential entropy, Havrda and Charvat entropy, Arimoto entropy, Tsallis entropy, extropy, weighted extropy and residual extropy are computed. We discuss eight different parameter estimation methods and conduct a Monte Carlo simulation study to evaluate the performance of these different estimators. The simulation results show that the maximum likelihood method leads to the best results. The effectiveness of the newly suggested model is demonstrated through the examination of two different sets of real data. Regression analysis utilizing survival times data demonstrates that the MKWD model offers a superior match compared to other current distributions and regression models.

摘要

威布尔分布是一种重要的连续分布,在可靠性分析和寿命建模中至关重要。另一方面,它在实际应用中存在一些局限性,比如对具有非单调失效率的寿命场景进行建模。然而,准确建模非单调失效率对于在可靠性和寿命是关键因素的各个领域实现更准确的预测、更好的风险管理和明智的决策至关重要。出于这个原因,我们引入了一种新的三参数寿命分布——修正基斯威布尔分布(MKWD),它能够对具有非单调失效率的寿命场景进行建模。我们分析了MKWD的统计特征,如分位数函数、中位数、矩、均值、方差、偏度、峰度、变异系数、离散指数、矩生成函数、不完全矩、条件矩、邦费罗尼曲线、洛伦兹曲线和曾加曲线以及顺序统计量。计算了MKWD的各种不确定性度量,如雷尼熵、指数熵、哈弗达和查尔瓦特熵、有元熵、Tsallis熵、外熵、加权外熵和剩余外熵。我们讨论了八种不同的参数估计方法,并进行了蒙特卡罗模拟研究以评估这些不同估计器的性能。模拟结果表明最大似然法产生的结果最佳。通过对两组不同的实际数据进行检验,证明了新提出模型的有效性。利用生存时间数据进行的回归分析表明,与其他当前分布和回归模型相比,MKWD模型提供了更好的拟合。

https://cdn.ncbi.nlm.nih.gov/pmc/blobs/9290/11753802/708a015231c5/pone.0314237.g012.jpg
https://cdn.ncbi.nlm.nih.gov/pmc/blobs/9290/11753802/0bf8de5e7aa2/pone.0314237.g001.jpg
https://cdn.ncbi.nlm.nih.gov/pmc/blobs/9290/11753802/78b188faa1cb/pone.0314237.g002.jpg
https://cdn.ncbi.nlm.nih.gov/pmc/blobs/9290/11753802/730414a92366/pone.0314237.g003.jpg
https://cdn.ncbi.nlm.nih.gov/pmc/blobs/9290/11753802/4254cb2ad6eb/pone.0314237.g004.jpg
https://cdn.ncbi.nlm.nih.gov/pmc/blobs/9290/11753802/dcbe15d0141f/pone.0314237.g005.jpg
https://cdn.ncbi.nlm.nih.gov/pmc/blobs/9290/11753802/e90fa46ceaad/pone.0314237.g006.jpg
https://cdn.ncbi.nlm.nih.gov/pmc/blobs/9290/11753802/2a44703c070d/pone.0314237.g007.jpg
https://cdn.ncbi.nlm.nih.gov/pmc/blobs/9290/11753802/4ee6e4662f9a/pone.0314237.g008.jpg
https://cdn.ncbi.nlm.nih.gov/pmc/blobs/9290/11753802/a635b99a0e01/pone.0314237.g009.jpg
https://cdn.ncbi.nlm.nih.gov/pmc/blobs/9290/11753802/41d109690dea/pone.0314237.g010.jpg
https://cdn.ncbi.nlm.nih.gov/pmc/blobs/9290/11753802/43aa42c2c574/pone.0314237.g011.jpg
https://cdn.ncbi.nlm.nih.gov/pmc/blobs/9290/11753802/708a015231c5/pone.0314237.g012.jpg
https://cdn.ncbi.nlm.nih.gov/pmc/blobs/9290/11753802/0bf8de5e7aa2/pone.0314237.g001.jpg
https://cdn.ncbi.nlm.nih.gov/pmc/blobs/9290/11753802/78b188faa1cb/pone.0314237.g002.jpg
https://cdn.ncbi.nlm.nih.gov/pmc/blobs/9290/11753802/730414a92366/pone.0314237.g003.jpg
https://cdn.ncbi.nlm.nih.gov/pmc/blobs/9290/11753802/4254cb2ad6eb/pone.0314237.g004.jpg
https://cdn.ncbi.nlm.nih.gov/pmc/blobs/9290/11753802/dcbe15d0141f/pone.0314237.g005.jpg
https://cdn.ncbi.nlm.nih.gov/pmc/blobs/9290/11753802/e90fa46ceaad/pone.0314237.g006.jpg
https://cdn.ncbi.nlm.nih.gov/pmc/blobs/9290/11753802/2a44703c070d/pone.0314237.g007.jpg
https://cdn.ncbi.nlm.nih.gov/pmc/blobs/9290/11753802/4ee6e4662f9a/pone.0314237.g008.jpg
https://cdn.ncbi.nlm.nih.gov/pmc/blobs/9290/11753802/a635b99a0e01/pone.0314237.g009.jpg
https://cdn.ncbi.nlm.nih.gov/pmc/blobs/9290/11753802/41d109690dea/pone.0314237.g010.jpg
https://cdn.ncbi.nlm.nih.gov/pmc/blobs/9290/11753802/43aa42c2c574/pone.0314237.g011.jpg
https://cdn.ncbi.nlm.nih.gov/pmc/blobs/9290/11753802/708a015231c5/pone.0314237.g012.jpg

相似文献

1
Modeling of lifetime scenarios with non-monotonic failure rates.具有非单调故障率的寿命情景建模。
PLoS One. 2025 Jan 22;20(1):e0314237. doi: 10.1371/journal.pone.0314237. eCollection 2025.
2
Inference for a Kavya-Manoharan Inverse Length Biased Exponential Distribution under Progressive-Stress Model Based on Progressive Type-II Censoring.基于渐进型II类删失的渐进应力模型下Kavya-Manoharan逆长度偏倚指数分布的推断
Entropy (Basel). 2022 Jul 27;24(8):1033. doi: 10.3390/e24081033.
3
A family of Gamma-generated distributions: Statistical properties and applications.Gamma 分布族:统计性质与应用。
Stat Methods Med Res. 2021 Aug;30(8):1850-1873. doi: 10.1177/09622802211009262. Epub 2021 May 18.
4
Lomax exponential distribution with an application to real-life data.洛马克斯指数分布及其在实际数据中的应用。
PLoS One. 2019 Dec 11;14(12):e0225827. doi: 10.1371/journal.pone.0225827. eCollection 2019.
5
Bayesian and Frequentist Inferences on a Type I Half-Logistic Odd Weibull Generator with Applications in Engineering.关于I型半逻辑奇数威布尔发生器的贝叶斯和频率推断及其在工程中的应用
Entropy (Basel). 2021 Apr 10;23(4):446. doi: 10.3390/e23040446.
6
An extended Rayleigh Weibull model with actuarial measures and applications.一个带有精算度量及应用的扩展瑞利-威布尔模型。
Heliyon. 2024 May 31;10(11):e32143. doi: 10.1016/j.heliyon.2024.e32143. eCollection 2024 Jun 15.
7
A New Generator of Probability Models: The Exponentiated Sine-G Family for Lifetime Studies.概率模型的一种新生成器:用于寿命研究的指数化正弦-G族
Entropy (Basel). 2021 Oct 24;23(11):1394. doi: 10.3390/e23111394.
8
Residual and Past Discrete Tsallis and Renyi Extropy with an Application to Softmax Function.具有Softmax函数应用的剩余和过去离散Tsallis与Renyi熵。
Entropy (Basel). 2022 Nov 27;24(12):1732. doi: 10.3390/e24121732.
9
Bivariate power Lomax distribution with medical applications.双变量幂 Lomax 分布及其在医学中的应用。
PLoS One. 2023 Mar 8;18(3):e0282581. doi: 10.1371/journal.pone.0282581. eCollection 2023.
10
Generalized Marshall-Olkin exponentiated exponential distribution: Properties and applications.广义 Marshall-Olkin 指数型指数分布:性质与应用。
PLoS One. 2023 Jan 18;18(1):e0280349. doi: 10.1371/journal.pone.0280349. eCollection 2023.

本文引用的文献

1
Exponentiated power generalized Weibull power series family of distributions: Properties, estimation and applications.指数幂广义威布尔幂级数分布族:性质、估计与应用。
PLoS One. 2020 Mar 20;15(3):e0230004. doi: 10.1371/journal.pone.0230004. eCollection 2020.