• 文献检索
  • 文档翻译
  • 深度研究
  • 学术资讯
  • Suppr Zotero 插件Zotero 插件
  • 邀请有礼
  • 套餐&价格
  • 历史记录
应用&插件
Suppr Zotero 插件Zotero 插件浏览器插件Mac 客户端Windows 客户端微信小程序
定价
高级版会员购买积分包购买API积分包
服务
文献检索文档翻译深度研究API 文档MCP 服务
关于我们
关于 Suppr公司介绍联系我们用户协议隐私条款
关注我们

Suppr 超能文献

核心技术专利:CN118964589B侵权必究
粤ICP备2023148730 号-1Suppr @ 2026

文献检索

告别复杂PubMed语法,用中文像聊天一样搜索,搜遍4000万医学文献。AI智能推荐,让科研检索更轻松。

立即免费搜索

文件翻译

保留排版,准确专业,支持PDF/Word/PPT等文件格式,支持 12+语言互译。

免费翻译文档

深度研究

AI帮你快速写综述,25分钟生成高质量综述,智能提取关键信息,辅助科研写作。

立即免费体验

将基于电子健康记录设计的风险因素评分与数字细胞学图像评分系统相结合以改善膀胱癌检测:概念验证研究。

Combining a Risk Factor Score Designed From Electronic Health Records With a Digital Cytology Image Scoring System to Improve Bladder Cancer Detection: Proof-of-Concept Study.

作者信息

Cabon Sandie, Brihi Sarra, Fezzani Riadh, Pierre-Jean Morgane, Cuggia Marc, Bouzillé Guillaume

机构信息

Univ Rennes, CHU Rennes, INSERM, LTSI - UMR 1099, F-35000 Rennes, France.

R&D, VitaDX International, Paris, France.

出版信息

J Med Internet Res. 2025 Jan 22;27:e56946. doi: 10.2196/56946.

DOI:10.2196/56946
PMID:39841985
原文链接:https://pmc.ncbi.nlm.nih.gov/articles/PMC11799811/
Abstract

BACKGROUND

To reduce the mortality related to bladder cancer, efforts need to be concentrated on early detection of the disease for more effective therapeutic intervention. Strong risk factors (eg, smoking status, age, professional exposure) have been identified, and some diagnostic tools (eg, by way of cystoscopy) have been proposed. However, to date, no fully satisfactory (noninvasive, inexpensive, high-performance) solution for widespread deployment has been proposed. Some new models based on cytology image classification were recently developed and bring good perspectives, but there are still avenues to explore to improve their performance.

OBJECTIVE

Our team aimed to evaluate the benefit of combining the reuse of massive clinical data to build a risk factor model and a digital cytology image-based model (VisioCyt) for bladder cancer detection.

METHODS

The first step relied on designing a predictive model based on clinical data (ie, risk factors identified in the literature) extracted from the clinical data warehouse of the Rennes Hospital and machine learning algorithms (logistic regression, random forest, and support vector machine). It provides a score corresponding to the risk of developing bladder cancer based on the patient's clinical profile. Second, we investigated 3 strategies (logistic regression, decision tree, and a custom strategy based on score interpretation) to combine the model's score with the score from an image-based model to produce a robust bladder cancer scoring system.

RESULTS

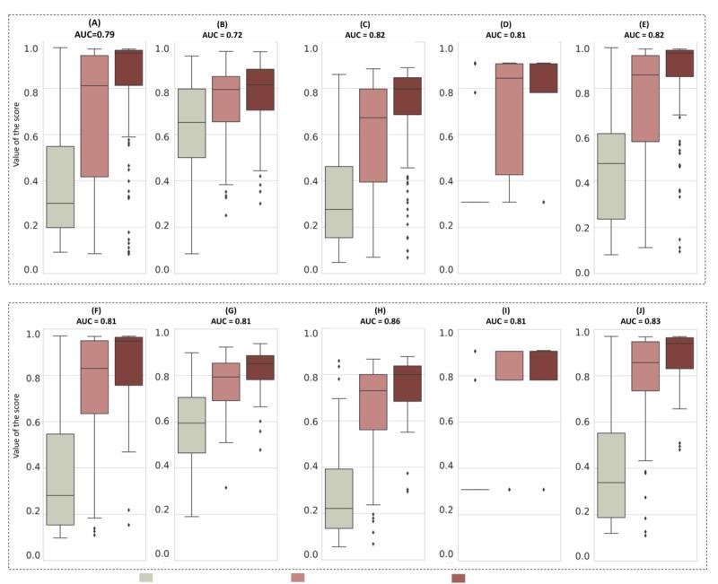
We collected 2 data sets. The first set, including clinical data for 5422 patients extracted from the clinical data warehouse, was used to design the risk factor-based model. The second set was used to measure the models' performances and was composed of data for 620 patients from a clinical trial for which cytology images and clinicobiological features were collected. With this second data set, the combination of both models obtained areas under the curve of 0.82 on the training set and 0.83 on the test set, demonstrating the value of combining risk factor-based and image-based models. This combination offers a higher associated risk of cancer than VisioCyt alone for all classes, especially for low-grade bladder cancer.

CONCLUSIONS

These results demonstrate the value of combining clinical and biological information, especially to improve detection of low-grade bladder cancer. Some improvements will need to be made to the automatic extraction of clinical features to make the risk factor-based model more robust. However, as of now, the results support the assumption that this type of approach will be of benefit to patients.

摘要

背景

为降低膀胱癌相关死亡率,需集中精力早期检测该疾病,以便进行更有效的治疗干预。已确定了一些强风险因素(如吸烟状况、年龄、职业暴露),并提出了一些诊断工具(如通过膀胱镜检查)。然而,迄今为止,尚未提出一种完全令人满意的(非侵入性、低成本、高性能)广泛应用的解决方案。最近开发了一些基于细胞学图像分类的新模型,前景良好,但仍有改进其性能的探索途径。

目的

我们团队旨在评估结合大量临床数据的再利用以构建风险因素模型和基于数字细胞学图像的模型(VisioCyt)用于膀胱癌检测的益处。

方法

第一步依赖于基于从雷恩医院临床数据仓库提取的临床数据(即文献中确定的风险因素)和机器学习算法(逻辑回归、随机森林和支持向量机)设计预测模型。它根据患者的临床特征提供一个与患膀胱癌风险相对应的分数。其次,我们研究了3种策略(逻辑回归、决策树和基于分数解释的自定义策略),将该模型的分数与基于图像的模型的分数相结合,以生成一个强大的膀胱癌评分系统。

结果

我们收集了2个数据集。第一个数据集包括从临床数据仓库提取的5422例患者的临床数据,用于设计基于风险因素的模型。第二个数据集用于评估模型性能,由来自一项临床试验的620例患者的数据组成,该试验收集了细胞学图像和临床生物学特征。使用第二个数据集,两个模型的组合在训练集上的曲线下面积为0.82,在测试集上为0.83,证明了结合基于风险因素的模型和基于图像的模型的价值。对于所有类别,尤其是低级别膀胱癌,这种组合比单独使用VisioCyt具有更高的相关癌症风险。

结论

这些结果证明了结合临床和生物学信息的价值,特别是对于改善低级别膀胱癌的检测。需要对临床特征的自动提取进行一些改进,以使基于风险因素的模型更强大。然而,截至目前,结果支持这种方法将使患者受益的假设。

https://cdn.ncbi.nlm.nih.gov/pmc/blobs/d310/11799811/c3c1cb33d581/jmir_v27i1e56946_fig8.jpg
https://cdn.ncbi.nlm.nih.gov/pmc/blobs/d310/11799811/377695dea173/jmir_v27i1e56946_fig1.jpg
https://cdn.ncbi.nlm.nih.gov/pmc/blobs/d310/11799811/708e016e0310/jmir_v27i1e56946_fig2.jpg
https://cdn.ncbi.nlm.nih.gov/pmc/blobs/d310/11799811/5f80074c01e2/jmir_v27i1e56946_fig3.jpg
https://cdn.ncbi.nlm.nih.gov/pmc/blobs/d310/11799811/2bf820873a7e/jmir_v27i1e56946_fig4.jpg
https://cdn.ncbi.nlm.nih.gov/pmc/blobs/d310/11799811/0a3771a7f561/jmir_v27i1e56946_fig5.jpg
https://cdn.ncbi.nlm.nih.gov/pmc/blobs/d310/11799811/337ce05121f5/jmir_v27i1e56946_fig6.jpg
https://cdn.ncbi.nlm.nih.gov/pmc/blobs/d310/11799811/11aa1620b725/jmir_v27i1e56946_fig7.jpg
https://cdn.ncbi.nlm.nih.gov/pmc/blobs/d310/11799811/c3c1cb33d581/jmir_v27i1e56946_fig8.jpg
https://cdn.ncbi.nlm.nih.gov/pmc/blobs/d310/11799811/377695dea173/jmir_v27i1e56946_fig1.jpg
https://cdn.ncbi.nlm.nih.gov/pmc/blobs/d310/11799811/708e016e0310/jmir_v27i1e56946_fig2.jpg
https://cdn.ncbi.nlm.nih.gov/pmc/blobs/d310/11799811/5f80074c01e2/jmir_v27i1e56946_fig3.jpg
https://cdn.ncbi.nlm.nih.gov/pmc/blobs/d310/11799811/2bf820873a7e/jmir_v27i1e56946_fig4.jpg
https://cdn.ncbi.nlm.nih.gov/pmc/blobs/d310/11799811/0a3771a7f561/jmir_v27i1e56946_fig5.jpg
https://cdn.ncbi.nlm.nih.gov/pmc/blobs/d310/11799811/337ce05121f5/jmir_v27i1e56946_fig6.jpg
https://cdn.ncbi.nlm.nih.gov/pmc/blobs/d310/11799811/11aa1620b725/jmir_v27i1e56946_fig7.jpg
https://cdn.ncbi.nlm.nih.gov/pmc/blobs/d310/11799811/c3c1cb33d581/jmir_v27i1e56946_fig8.jpg

相似文献

1
Combining a Risk Factor Score Designed From Electronic Health Records With a Digital Cytology Image Scoring System to Improve Bladder Cancer Detection: Proof-of-Concept Study.将基于电子健康记录设计的风险因素评分与数字细胞学图像评分系统相结合以改善膀胱癌检测:概念验证研究。
J Med Internet Res. 2025 Jan 22;27:e56946. doi: 10.2196/56946.
2
Artificial intelligence to improve cytology performances in bladder carcinoma detection: results of the VisioCyt test.人工智能提高膀胱癌检测中的细胞学表现:VisioCyt检测结果
BJU Int. 2022 Mar;129(3):356-363. doi: 10.1111/bju.15382. Epub 2021 Apr 26.
3
Can Predictive Modeling Tools Identify Patients at High Risk of Prolonged Opioid Use After ACL Reconstruction?预测模型工具能否识别 ACL 重建术后阿片类药物使用时间延长的高风险患者?
Clin Orthop Relat Res. 2020 Jul;478(7):0-1618. doi: 10.1097/CORR.0000000000001251.
4
Machine learning algorithms for diabetic kidney disease risk predictive model of Chinese patients with type 2 diabetes mellitus.用于中国2型糖尿病患者糖尿病肾病风险预测模型的机器学习算法
Ren Fail. 2025 Dec;47(1):2486558. doi: 10.1080/0886022X.2025.2486558. Epub 2025 Apr 7.
5
Evaluation of diagnostic strategies for bladder cancer using computed tomography (CT) urography, flexible cystoscopy and voided urine cytology: results for 778 patients from a hospital haematuria clinic.使用计算机断层扫描(CT)尿路造影、软性膀胱镜检查和尿液细胞学检查评估膀胱癌的诊断策略:来自医院血尿诊所的 778 例患者的结果。
BJU Int. 2012 Jul;110(1):84-94. doi: 10.1111/j.1464-410X.2011.10664.x. Epub 2011 Nov 28.
6
Folic acid supplementation and malaria susceptibility and severity among people taking antifolate antimalarial drugs in endemic areas.在流行地区,服用抗叶酸抗疟药物的人群中,叶酸补充剂与疟疾易感性和严重程度的关系。
Cochrane Database Syst Rev. 2022 Feb 1;2(2022):CD014217. doi: 10.1002/14651858.CD014217.
7
Comparison of Two Modern Survival Prediction Tools, SORG-MLA and METSSS, in Patients With Symptomatic Long-bone Metastases Who Underwent Local Treatment With Surgery Followed by Radiotherapy and With Radiotherapy Alone.两种现代生存预测工具 SORG-MLA 和 METSSS 在接受手术联合放疗和单纯放疗治疗有症状长骨转移患者中的比较。
Clin Orthop Relat Res. 2024 Dec 1;482(12):2193-2208. doi: 10.1097/CORR.0000000000003185. Epub 2024 Jul 23.
8
Artificial intelligence to improve cytology performance in urothelial carcinoma diagnosis: results from validation phase of the French, multicenter, prospective VISIOCYT1 trial.人工智能提高尿路上皮癌诊断细胞学性能:法国多中心前瞻性 VISIOCYT1 试验验证阶段结果。
World J Urol. 2023 Sep;41(9):2381-2388. doi: 10.1007/s00345-023-04519-4. Epub 2023 Jul 22.
9
Prediction of In-hospital Mortality in Emergency Department Patients With Sepsis: A Local Big Data-Driven, Machine Learning Approach.急诊科脓毒症患者院内死亡率的预测:一种基于本地大数据驱动的机器学习方法。
Acad Emerg Med. 2016 Mar;23(3):269-78. doi: 10.1111/acem.12876. Epub 2016 Feb 13.
10
Are Current Survival Prediction Tools Useful When Treating Subsequent Skeletal-related Events From Bone Metastases?当前的生存预测工具在治疗骨转移后的骨骼相关事件时有用吗?
Clin Orthop Relat Res. 2024 Sep 1;482(9):1710-1721. doi: 10.1097/CORR.0000000000003030. Epub 2024 Mar 22.

本文引用的文献

1
The role of URO17™ biomarker to enhance diagnosis of urothelial cancer in new hematuria patients-First European Data.URO17™生物标志物在新发血尿患者中增强尿路上皮癌诊断的作用——首个欧洲数据。
BJUI Compass. 2020 Oct 20;2(1):46-52. doi: 10.1002/bco2.50. eCollection 2021 Jan.
2
Artificial intelligence: A promising frontier in bladder cancer diagnosis and outcome prediction.人工智能:膀胱癌诊断和预后预测的有前景的前沿领域。
Crit Rev Oncol Hematol. 2022 Mar;171:103601. doi: 10.1016/j.critrevonc.2022.103601. Epub 2022 Jan 19.
3
Family History and Risk of Bladder Cancer: An Analysis Accounting for First- and Second-degree Relatives.
Cancer Prev Res (Phila). 2022 May 3;15(5):319-326. doi: 10.1158/1940-6207.CAPR-21-0490.
4
Heart failure is associated with an increased incidence of cancer diagnoses.心力衰竭与癌症诊断发病率的增加有关。
ESC Heart Fail. 2021 Oct;8(5):3628-3633. doi: 10.1002/ehf2.13421. Epub 2021 Jun 27.
5
Artificial intelligence to improve cytology performances in bladder carcinoma detection: results of the VisioCyt test.人工智能提高膀胱癌检测中的细胞学表现:VisioCyt检测结果
BJU Int. 2022 Mar;129(3):356-363. doi: 10.1111/bju.15382. Epub 2021 Apr 26.
6
Deep learning based digital cell profiles for risk stratification of urine cytology images.基于深度学习的尿液细胞学图像风险分层数字细胞图谱
Cytometry A. 2021 Jul;99(7):732-742. doi: 10.1002/cyto.a.24313. Epub 2021 Feb 20.
7
Bladder cancer in the time of machine learning: Intelligent tools for diagnosis and management.机器学习时代的膀胱癌:用于诊断和管理的智能工具。
Urologia. 2021 May;88(2):94-102. doi: 10.1177/0391560320987169. Epub 2021 Jan 5.
8
MCM5 urine expression (ADXBLADDER) is a reliable biomarker of high-risk non- muscle-invasive bladder cancer recurrence: A prospective matched case-control study.MCM5 尿表达(ADXBLADDER)是高危非肌肉浸润性膀胱癌复发的可靠生物标志物:一项前瞻性匹配病例对照研究。
Cancer Biomark. 2021;30(2):139-143. doi: 10.3233/CBM-200316.
9
Analysis of the effects of cyproheptadine on bladder cancer through big data.通过大数据分析赛庚啶对膀胱癌的影响。
Am J Cancer Res. 2020 Jul 1;10(7):2114-2119. eCollection 2020.
10
Types of occult cancer in stroke and the relation to smoking.中风中的隐匿性癌症类型与吸烟的关系。
Acta Neurol Scand. 2020 Nov;142(5):486-492. doi: 10.1111/ane.13299. Epub 2020 Jul 13.