• 文献检索
  • 文档翻译
  • 深度研究
  • 学术资讯
  • Suppr Zotero 插件Zotero 插件
  • 邀请有礼
  • 套餐&价格
  • 历史记录
应用&插件
Suppr Zotero 插件Zotero 插件浏览器插件Mac 客户端Windows 客户端微信小程序
定价
高级版会员购买积分包购买API积分包
服务
文献检索文档翻译深度研究API 文档MCP 服务
关于我们
关于 Suppr公司介绍联系我们用户协议隐私条款
关注我们

Suppr 超能文献

核心技术专利:CN118964589B侵权必究
粤ICP备2023148730 号-1Suppr @ 2026

文献检索

告别复杂PubMed语法,用中文像聊天一样搜索,搜遍4000万医学文献。AI智能推荐,让科研检索更轻松。

立即免费搜索

文件翻译

保留排版,准确专业,支持PDF/Word/PPT等文件格式,支持 12+语言互译。

免费翻译文档

深度研究

AI帮你快速写综述,25分钟生成高质量综述,智能提取关键信息,辅助科研写作。

立即免费体验

探索发展关联:幼儿期的睡眠模式、自主运动与词汇增长

Exploring Developmental Connections: Sleep Patterns, Self-Locomotion, and Vocabulary Growth in Early Childhood.

作者信息

Belia Margherita, Vihman Marilyn, Keren-Portnoy Tamar

机构信息

Language and Linguistic Science Department, University of York, York, UK.

出版信息

Infancy. 2025 Jan-Feb;30(1):e12650. doi: 10.1111/infa.12650.

DOI:10.1111/infa.12650
PMID:39853879
原文链接:https://pmc.ncbi.nlm.nih.gov/articles/PMC11760629/
Abstract

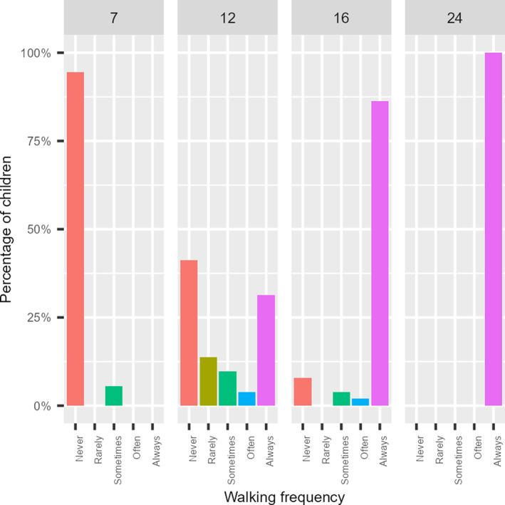
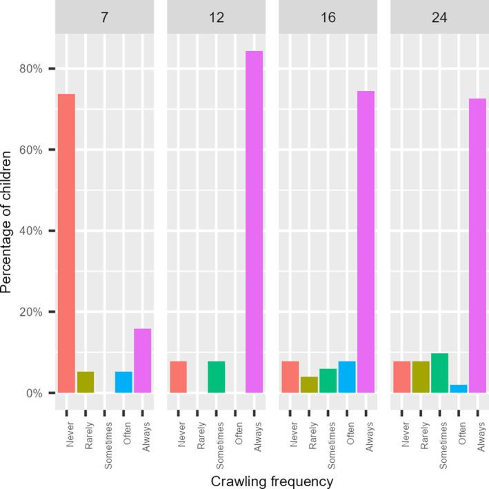
Current research indicates likely developmental connections between the evolution of sleep patterns, motor skills progression, and the expansion of vocabulary. These connections are grounded in the well-established role of sleep in memory and learning, as well as in the cascading effects on language development of the acquisition of new motor skills. However, no study has so far undertaken a comprehensive and systematic examination of these connections or explored their developmental trajectory over time. Yet understanding vocabulary development depends on considering development in the sleep regulation and motor domains, to provide a biologically grounded explanation of how early lexicons are built and strengthened. This study investigates the links between vocabulary growth and two significant changes occurring over the first 2 years of life: self-initiated locomotion and the consolidation of overnight sleep. Our results reveal mutual associations between these domains, which tend to emerge during periods of marked developmental change in language, motor skills, and sleep patterns regulation. Moreover, these associations were observed to change over time, suggesting dynamic interconnections between these developmental domains. Our findings point toward the importance of investigating vocabulary development from a dynamic systems perspective, as the product of continuous interactions between cognition, the body and the environment.

摘要

当前的研究表明,睡眠模式的演变、运动技能的发展以及词汇量的扩展之间可能存在发育上的联系。这些联系基于睡眠在记忆和学习中已确立的作用,以及新运动技能的习得对语言发展的连锁效应。然而,迄今为止,尚无研究对这些联系进行全面系统的考察,也未探究它们随时间的发展轨迹。然而,理解词汇发展依赖于考虑睡眠调节和运动领域的发展情况,以便从生物学角度解释早期词汇是如何构建和强化的。本研究调查了词汇增长与生命最初两年中发生的两个重大变化之间的联系:自主运动和夜间睡眠的巩固。我们的研究结果揭示了这些领域之间的相互关联,这些关联往往出现在语言、运动技能和睡眠模式调节发生显著发育变化的时期。此外,观察到这些关联会随时间变化,表明这些发育领域之间存在动态的相互联系。我们的研究结果表明,从动态系统的角度研究词汇发展具有重要意义,因为词汇发展是认知、身体和环境之间持续相互作用的产物。

https://cdn.ncbi.nlm.nih.gov/pmc/blobs/437c/11760629/b7d529b00188/INFA-30-0-g010.jpg
https://cdn.ncbi.nlm.nih.gov/pmc/blobs/437c/11760629/24c692c82bfe/INFA-30-0-g008.jpg
https://cdn.ncbi.nlm.nih.gov/pmc/blobs/437c/11760629/ad37ce7af37a/INFA-30-0-g005.jpg
https://cdn.ncbi.nlm.nih.gov/pmc/blobs/437c/11760629/341751e4572a/INFA-30-0-g006.jpg
https://cdn.ncbi.nlm.nih.gov/pmc/blobs/437c/11760629/4d00cf71cd76/INFA-30-0-g002.jpg
https://cdn.ncbi.nlm.nih.gov/pmc/blobs/437c/11760629/e8bfe1fc08e3/INFA-30-0-g004.jpg
https://cdn.ncbi.nlm.nih.gov/pmc/blobs/437c/11760629/d88b9885bc88/INFA-30-0-g007.jpg
https://cdn.ncbi.nlm.nih.gov/pmc/blobs/437c/11760629/4c95f7c634cb/INFA-30-0-g011.jpg
https://cdn.ncbi.nlm.nih.gov/pmc/blobs/437c/11760629/e994af5266af/INFA-30-0-g012.jpg
https://cdn.ncbi.nlm.nih.gov/pmc/blobs/437c/11760629/48c555ce3d0d/INFA-30-0-g009.jpg
https://cdn.ncbi.nlm.nih.gov/pmc/blobs/437c/11760629/e3af77a23cb7/INFA-30-0-g003.jpg
https://cdn.ncbi.nlm.nih.gov/pmc/blobs/437c/11760629/3805232e542e/INFA-30-0-g001.jpg
https://cdn.ncbi.nlm.nih.gov/pmc/blobs/437c/11760629/b7d529b00188/INFA-30-0-g010.jpg
https://cdn.ncbi.nlm.nih.gov/pmc/blobs/437c/11760629/24c692c82bfe/INFA-30-0-g008.jpg
https://cdn.ncbi.nlm.nih.gov/pmc/blobs/437c/11760629/ad37ce7af37a/INFA-30-0-g005.jpg
https://cdn.ncbi.nlm.nih.gov/pmc/blobs/437c/11760629/341751e4572a/INFA-30-0-g006.jpg
https://cdn.ncbi.nlm.nih.gov/pmc/blobs/437c/11760629/4d00cf71cd76/INFA-30-0-g002.jpg
https://cdn.ncbi.nlm.nih.gov/pmc/blobs/437c/11760629/e8bfe1fc08e3/INFA-30-0-g004.jpg
https://cdn.ncbi.nlm.nih.gov/pmc/blobs/437c/11760629/d88b9885bc88/INFA-30-0-g007.jpg
https://cdn.ncbi.nlm.nih.gov/pmc/blobs/437c/11760629/4c95f7c634cb/INFA-30-0-g011.jpg
https://cdn.ncbi.nlm.nih.gov/pmc/blobs/437c/11760629/e994af5266af/INFA-30-0-g012.jpg
https://cdn.ncbi.nlm.nih.gov/pmc/blobs/437c/11760629/48c555ce3d0d/INFA-30-0-g009.jpg
https://cdn.ncbi.nlm.nih.gov/pmc/blobs/437c/11760629/e3af77a23cb7/INFA-30-0-g003.jpg
https://cdn.ncbi.nlm.nih.gov/pmc/blobs/437c/11760629/3805232e542e/INFA-30-0-g001.jpg
https://cdn.ncbi.nlm.nih.gov/pmc/blobs/437c/11760629/b7d529b00188/INFA-30-0-g010.jpg

相似文献

1
Exploring Developmental Connections: Sleep Patterns, Self-Locomotion, and Vocabulary Growth in Early Childhood.探索发展关联:幼儿期的睡眠模式、自主运动与词汇增长
Infancy. 2025 Jan-Feb;30(1):e12650. doi: 10.1111/infa.12650.
2
Sleep as a mirror of developmental transitions in infancy: the case of crawling.睡眠是婴儿发育转变的一面镜子:以爬行为例。
Monogr Soc Res Child Dev. 2015 Mar;80(1):70-88. doi: 10.1111/mono.12145.
3
Frequent daytime naps predict vocabulary growth in early childhood.白天频繁小睡预示着幼儿期词汇量的增长。
J Child Psychol Psychiatry. 2016 Sep;57(9):1008-17. doi: 10.1111/jcpp.12583. Epub 2016 Jun 20.
4
Child Vocabulary and Developmental Growth in Executive Functions During Toddlerhood.幼儿期儿童词汇与执行功能的发育成长
Dev Sci. 2025 May;28(3):e70010. doi: 10.1111/desc.70010.
5
Parent-Reported Relations Between Vocabulary and Motor Development in Infancy: Differences Between Verbs and Nouns.家长报告的婴儿期词汇与运动发展之间的关系:动词和名词之间的差异。
Infancy. 2025 Jan-Feb;30(1):e12638. doi: 10.1111/infa.12638.
6
Attainment of sitting and walking predicts development of productive vocabulary between ages 16 and 28 months.达到独坐和独走的月龄预测了 16 到 28 月龄间的有效词汇量发展。
Infant Behav Dev. 2012 Dec;35(4):733-6. doi: 10.1016/j.infbeh.2012.07.010. Epub 2012 Sep 14.
7
Fine motor skills enhance lexical processing of embodied vocabulary: A test of the nimble-hands, nimble-minds hypothesis.精细运动技能增强具身词汇的词汇加工:“手巧心灵”假说的一项测试。
Q J Exp Psychol (Hove). 2017 Oct;70(10):2169-2187. doi: 10.1080/17470218.2016.1227344. Epub 2016 Sep 14.
8
Fine motor skill predicts expressive language in infant siblings of children with autism.精细运动技能可预测自闭症儿童的同胞兄弟姐妹的表达性语言。
Dev Sci. 2013 Nov;16(6):815-27. doi: 10.1111/desc.12069. Epub 2013 Aug 7.
9
Visual, cognitive, and language assessments at 39 months: a follow-up study of children fed formulas containing long-chain polyunsaturated fatty acids to 1 year of age.39个月时的视觉、认知和语言评估:一项针对1岁前喂食含长链多不饱和脂肪酸配方奶儿童的随访研究。
Pediatrics. 2003 Sep;112(3 Pt 1):e177-83. doi: 10.1542/peds.112.3.e177.
10
Neural representations for newly learned words are modulated by overnight consolidation, reading skill, and age.新学单词的神经表征受夜间巩固、阅读技能和年龄的调节。
Neuropsychologia. 2018 Mar;111:133-144. doi: 10.1016/j.neuropsychologia.2018.01.011. Epub 2018 Jan 31.

本文引用的文献

1
Word form generalization across voices: The role of infant sleep.跨嗓音的词形概括:婴儿睡眠的作用。
J Exp Child Psychol. 2025 Jan;249:106106. doi: 10.1016/j.jecp.2024.106106. Epub 2024 Oct 18.
2
A unified approach to demographic data collection for research with young children across diverse cultures.一种统一的方法,用于跨多种文化的幼儿研究中的人口统计数据收集。
Dev Psychol. 2024 Feb;60(2):211-227. doi: 10.1037/dev0001623. Epub 2023 Oct 16.
3
Maternal attitudes and behaviours differentially shape infant early life experience: A cross cultural study.
母亲的态度和行为会对婴儿的早期生活经历产生不同的影响:一项跨文化研究。
PLoS One. 2022 Dec 21;17(12):e0278378. doi: 10.1371/journal.pone.0278378. eCollection 2022.
4
The unique contributions of day and night sleep to infant motor problem solving.昼夜睡眠对婴儿运动问题解决的独特贡献。
J Exp Child Psychol. 2023 Feb;226:105536. doi: 10.1016/j.jecp.2022.105536. Epub 2022 Sep 16.
5
Infant sleep and development: Concurrent and longitudinal relations during the first 8 months of life.婴儿睡眠与发育:生命最初 8 个月的同期和纵向关系。
Infant Behav Dev. 2022 May;67:101719. doi: 10.1016/j.infbeh.2022.101719. Epub 2022 May 21.
6
The developmental origins of phonological memory.语音记忆的发展起源。
Psychol Rev. 2022 Nov;129(6):1495-1508. doi: 10.1037/rev0000354. Epub 2022 Feb 17.
7
A time series analysis of the relation between motor skill acquisition and sleep in infancy.婴儿期运动技能习得与睡眠的时间序列分析。
Infant Behav Dev. 2021 Nov;65:101654. doi: 10.1016/j.infbeh.2021.101654. Epub 2021 Oct 21.
8
The Role of Sleep in Retention of New Words in Habitually and Non-Habitually Napping Children.睡眠在习惯性和非习惯性午睡儿童新词记忆中的作用。
Brain Sci. 2021 Oct 5;11(10):1320. doi: 10.3390/brainsci11101320.
9
Nap timing makes a difference: Sleeping sooner rather than later after learning improves infants' locomotor problem solving.午睡时间很重要:学习后尽早入睡而非过晚入睡,有助于提高婴儿的运动问题解决能力。
Infant Behav Dev. 2021 Nov;65:101652. doi: 10.1016/j.infbeh.2021.101652. Epub 2021 Oct 13.
10
The memory benefits of two naps per day during infancy: A pilot investigation.每天小睡两次对婴儿期记忆的益处:一项初步研究。
Infant Behav Dev. 2021 Nov;65:101647. doi: 10.1016/j.infbeh.2021.101647. Epub 2021 Sep 13.