• 文献检索
  • 文档翻译
  • 深度研究
  • 学术资讯
  • Suppr Zotero 插件Zotero 插件
  • 邀请有礼
  • 套餐&价格
  • 历史记录
应用&插件
Suppr Zotero 插件Zotero 插件浏览器插件Mac 客户端Windows 客户端微信小程序
定价
高级版会员购买积分包购买API积分包
服务
文献检索文档翻译深度研究API 文档MCP 服务
关于我们
关于 Suppr公司介绍联系我们用户协议隐私条款
关注我们

Suppr 超能文献

核心技术专利:CN118964589B侵权必究
粤ICP备2023148730 号-1Suppr @ 2026

文献检索

告别复杂PubMed语法,用中文像聊天一样搜索,搜遍4000万医学文献。AI智能推荐,让科研检索更轻松。

立即免费搜索

文件翻译

保留排版,准确专业,支持PDF/Word/PPT等文件格式,支持 12+语言互译。

免费翻译文档

深度研究

AI帮你快速写综述,25分钟生成高质量综述,智能提取关键信息,辅助科研写作。

立即免费体验

中国老年人社会资本与认知功能轨迹之间的关联。

Association between social capital and trajectories of cognitive function among Chinese older adults.

作者信息

Xiong Mengyun, Wen Zhaojing, Ma Wanrui, Hu Xue, Tong Yan, Wang Zhizhong

机构信息

Department of General Practice, The First Dongguan Affiliated Hospital at Guangdong Medical University, Dongguan, 523808, China.

Department of Epidemiology and Health Statistics, School of Public Health, Guangdong Medical University, #1 Xincheng Road, Songshanhu, Dongguan, 523808, China.

出版信息

BMC Public Health. 2025 Jan 24;25(1):300. doi: 10.1186/s12889-025-21570-5.

DOI:10.1186/s12889-025-21570-5
PMID:39856630
原文链接:https://pmc.ncbi.nlm.nih.gov/articles/PMC11760713/
Abstract

BACKGROUND

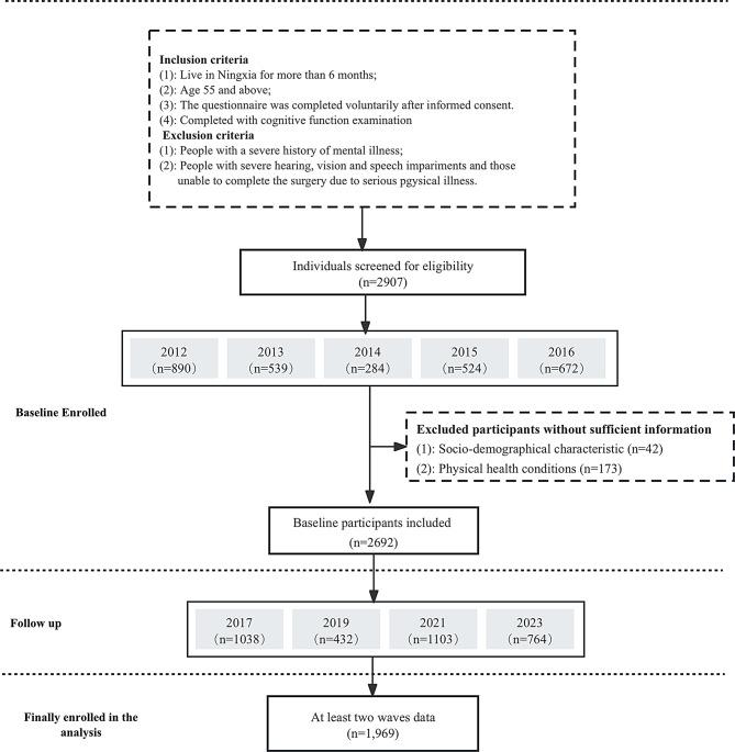
The association between social capital and trajectories of cognitive function (CF) is still unclear among older adults in mainland China. The present study aims to examine the association using a longitudinal cohort from the Ningxia Healthy Aging Cohort.

METHODS

Four waves of longitudinal data were abstracted to identify the CF trajectories using the conditional latent class growth model (LCGM). CF was measured using the Chinese version of the Mini-Mental State Examination (MMSE) from 2012 to 2023. Social capital, including social cohesion, social interaction, civic participation, and spiritual capital, was assessed using a series of standard instruments at baseline. Multinomial logistic regression was used to test the association between social capital and each trajectory class.

RESULTS

Three distinct CF trajectories were identified: Stable (72.5%), slow decline (25.8%), and deterioration (1.7%). High spiritual capital was associated with a decreased risk of developing a deterioration trajectory (OR = 0.36, 95% CI = 0.14-0.93), while high civic participation (OR = 0.61, 95% CI = 0.46-0.81) was associated with a decreased risk of developing a slow decline trajectory. Low CF at baseline was the first important risk factor, followed by age, civic participation, sex, monthly income, spiritual capital, and obesity.

CONCLUSIONS

The CF trajectories are heterogeneous among older Chinese adults. Civic participation was associated with a lower risk of a slow decline trajectory, and spiritual capital was slightly associated with a lower risk of a deterioration trajectory. These findings support the development of social-integrated interventions for vulnerable groups.

摘要

背景

在中国内地老年人中,社会资本与认知功能轨迹之间的关联仍不明确。本研究旨在利用宁夏健康老龄化队列的纵向队列来检验这种关联。

方法

提取四波纵向数据,使用条件潜在类别增长模型(LCGM)来确定认知功能轨迹。2012年至2023年期间,使用中文版简易精神状态检查表(MMSE)测量认知功能。在基线时,使用一系列标准工具评估社会资本,包括社会凝聚力、社会互动、公民参与和精神资本。使用多项逻辑回归来检验社会资本与每个轨迹类别的关联。

结果

确定了三种不同的认知功能轨迹:稳定型(72.5%)、缓慢衰退型(25.8%)和恶化型(1.7%)。高精神资本与恶化轨迹发展风险降低相关(比值比[OR]=0.36,95%置信区间[CI]=0.14-0.93),而高公民参与度(OR=0.61,95%CI=0.46-0.81)与缓慢衰退轨迹发展风险降低相关。基线时低认知功能是首要重要风险因素,其次是年龄、公民参与度、性别、月收入、精神资本和肥胖。

结论

中国老年人群体的认知功能轨迹具有异质性。公民参与与缓慢衰退轨迹的较低风险相关,精神资本与恶化轨迹的较低风险有轻微关联。这些发现支持为弱势群体制定社会综合干预措施。

https://cdn.ncbi.nlm.nih.gov/pmc/blobs/8c48/11760713/0ef7403076e7/12889_2025_21570_Fig3_HTML.jpg
https://cdn.ncbi.nlm.nih.gov/pmc/blobs/8c48/11760713/b5755c17b585/12889_2025_21570_Fig1_HTML.jpg
https://cdn.ncbi.nlm.nih.gov/pmc/blobs/8c48/11760713/f85dd05c25d3/12889_2025_21570_Fig2_HTML.jpg
https://cdn.ncbi.nlm.nih.gov/pmc/blobs/8c48/11760713/0ef7403076e7/12889_2025_21570_Fig3_HTML.jpg
https://cdn.ncbi.nlm.nih.gov/pmc/blobs/8c48/11760713/b5755c17b585/12889_2025_21570_Fig1_HTML.jpg
https://cdn.ncbi.nlm.nih.gov/pmc/blobs/8c48/11760713/f85dd05c25d3/12889_2025_21570_Fig2_HTML.jpg
https://cdn.ncbi.nlm.nih.gov/pmc/blobs/8c48/11760713/0ef7403076e7/12889_2025_21570_Fig3_HTML.jpg

相似文献

1
Association between social capital and trajectories of cognitive function among Chinese older adults.中国老年人社会资本与认知功能轨迹之间的关联。
BMC Public Health. 2025 Jan 24;25(1):300. doi: 10.1186/s12889-025-21570-5.
2
Association of social integration with cognitive function trajectories among Chinese older adults: evidence from the China health and retirement longitudinal study (CHARLS).中国老年人社会融合与认知功能轨迹的关联:来自中国健康与养老追踪调查(CHARLS)的证据
Front Aging Neurosci. 2024 Jan 11;15:1322974. doi: 10.3389/fnagi.2023.1322974. eCollection 2023.
3
Exploring the association between multidimensional social isolation and heterogeneous cognitive trajectories among older adults: evidence from China.探讨多维社会隔离与老年人异质认知轨迹之间的关系:来自中国的证据。
Front Public Health. 2024 Oct 3;12:1426723. doi: 10.3389/fpubh.2024.1426723. eCollection 2024.
4
Sex differences in cognitive function trajectories and their determinants in older adults: Evidence from the Chinese longitudinal healthy longevity survey.老年人认知功能轨迹的性别差异及其决定因素:来自中国长寿纵向研究的证据。
Int J Geriatr Psychiatry. 2024 Mar;39(3):e6072. doi: 10.1002/gps.6072.
5
Association of smoke exposure with cognitive function trajectories among middle and old-aged adults: evidence from the China Health and Retirement Longitudinal Study.中老年人群中烟雾暴露与认知功能轨迹的关联:来自中国健康与养老追踪调查的证据
J Glob Health. 2025 May 5;15:04150. doi: 10.7189/jogh.15.04150.
6
Trajectories of cognitive function and their determinants in older people: 12 years of follow-up in the Chinese Longitudinal Healthy Longevity Survey.老年人认知功能的轨迹及其决定因素:中国长寿纵向研究的 12 年随访。
Int Psychogeriatr. 2020 Jun;32(6):765-775. doi: 10.1017/S1041610220000538. Epub 2020 Apr 27.
7
Structural and Cognitive Social Capital of Older Korean Adults and Their Relationship with Depression Trajectories: Latent Class and Growth Curve Analyses.老年韩国成年人的结构和认知社会资本及其与抑郁轨迹的关系:潜在类别和增长曲线分析。
Int J Aging Hum Dev. 2024 Apr;98(3):352-372. doi: 10.1177/00914150231183134. Epub 2023 Jun 19.
8
Frailty, cognitive impairment, and depressive symptoms in Chinese older adults: an eight-year multi-trajectory analysis.中国老年人的脆弱性、认知障碍和抑郁症状:八年多轨迹分析。
BMC Geriatr. 2023 Dec 12;23(1):843. doi: 10.1186/s12877-023-04554-1.
9
Later-Life Cognitive Trajectories and Risk of Death: Results from a 6-Year Longitudinal Study of 7082 Chinese.晚年认知轨迹与死亡风险:7082 名中国人 6 年纵向研究的结果。
J Prev Alzheimers Dis. 2024;11(5):1410-1417. doi: 10.14283/jpad.2024.96.
10
Association of community-level social capital with dementia: A multilevel nine-year longitudinal study using data from the Japan Gerontological Evaluation Study.社区层面社会资本与痴呆症的关联:一项利用日本老年学评估研究数据的多层次九年纵向研究。
Soc Sci Med. 2023 Dec;338:116316. doi: 10.1016/j.socscimed.2023.116316. Epub 2023 Oct 14.

本文引用的文献

1
Mild Cognitive Impairment, Religiosity, Spirituality and all-Cause Mortality Among Chinese Older Adults in Ethnic Minority Communities.少数民族社区中国老年人的轻度认知障碍、宗教信仰、精神性与全因死亡率
J Relig Health. 2024 Oct 4. doi: 10.1007/s10943-024-02149-7.
2
A Subtype Perspective on Cognitive Trajectories in Healthy Aging.健康老龄化认知轨迹的亚型视角
Brain Sci. 2024 Apr 1;14(4):351. doi: 10.3390/brainsci14040351.
3
Intertwined depressive and cognitive trajectories and the risk of dementia and death in older adults: a competing risk analysis.
老年人中抑郁与认知轨迹的交织以及痴呆和死亡风险:一项竞争风险分析
Gen Psychiatr. 2024 Apr 9;37(2):e101156. doi: 10.1136/gpsych-2023-101156. eCollection 2024.
4
Longitudinal association of spirituality with depressive symptom trajectories among older adults in mainland China.中国大陆老年人的灵性与抑郁症状轨迹的纵向关联。
Int J Geriatr Psychiatry. 2024 Mar;39(3):e6077. doi: 10.1002/gps.6077.
5
Longitudinal trajectories of cognitive aging.认知老化的纵向轨迹。
Curr Opin Psychiatry. 2024 Mar 1;37(2):123-129. doi: 10.1097/YCO.0000000000000918. Epub 2023 Dec 18.
6
Better spiritual support for people living with early stage dementia: Developing the diamond conversation model.为早期痴呆症患者提供更好的精神支持:开发钻石对话模型。
Dementia (London). 2024 Jan;23(1):91-108. doi: 10.1177/14713012231213907. Epub 2023 Nov 7.
7
Cognitive function among religious and non-religious Europeans: a cross-national cohort study.欧洲的宗教和非宗教人士的认知功能:一项跨国队列研究。
Aging Ment Health. 2024 Mar-Apr;28(3):502-510. doi: 10.1080/13607863.2023.2260766. Epub 2023 Sep 28.
8
Association of Religious Service Attendance and Neuropsychiatric Symptoms, Cognitive Function, and Sleep Disturbances in All-Cause Dementia.宗教服务参与与全因痴呆的神经精神症状、认知功能和睡眠障碍的关联。
Int J Environ Res Public Health. 2023 Feb 28;20(5):4300. doi: 10.3390/ijerph20054300.
9
Prevalence of dementia in India: National and state estimates from a nationwide study.印度痴呆症的流行情况:一项全国性研究的国家和邦估计数。
Alzheimers Dement. 2023 Jul;19(7):2898-2912. doi: 10.1002/alz.12928. Epub 2023 Jan 13.
10
Effects of cognitive ageing trajectories on multiple adverse outcomes among Chinese community-dwelling elderly population.认知老化轨迹对中国社区居住老年人群多种不良结局的影响。
BMC Geriatr. 2022 Aug 22;22(1):692. doi: 10.1186/s12877-022-03387-8.