• 文献检索
  • 文档翻译
  • 深度研究
  • 学术资讯
  • Suppr Zotero 插件Zotero 插件
  • 邀请有礼
  • 套餐&价格
  • 历史记录
应用&插件
Suppr Zotero 插件Zotero 插件浏览器插件Mac 客户端Windows 客户端微信小程序
定价
高级版会员购买积分包购买API积分包
服务
文献检索文档翻译深度研究API 文档MCP 服务
关于我们
关于 Suppr公司介绍联系我们用户协议隐私条款
关注我们

Suppr 超能文献

核心技术专利:CN118964589B侵权必究
粤ICP备2023148730 号-1Suppr @ 2026

文献检索

告别复杂PubMed语法,用中文像聊天一样搜索,搜遍4000万医学文献。AI智能推荐,让科研检索更轻松。

立即免费搜索

文件翻译

保留排版,准确专业,支持PDF/Word/PPT等文件格式,支持 12+语言互译。

免费翻译文档

深度研究

AI帮你快速写综述,25分钟生成高质量综述,智能提取关键信息,辅助科研写作。

立即免费体验

合浦珠母贝中MicroRNA novel-13和novel-44对副溶血性弧菌感染的应答机制研究

Study on the response mechanism of MicroRNA novel-13 and novel-44 to Vibrio parahaemolyticus infection in Pinctada fucata martensii.

作者信息

Li Chao Jie, Zhang Qi Yuan, Zhang Bin, Liang Hai Ying, Ma Li Ning, Salman Muhammad

机构信息

Fisheries College of Guangdong Ocean University, Zhanjiang, Guangdong, 524088, China.

Guangdong Provincial Key Laboratory of Aquatic Animal Disease Control and Healthy culture, Zhanjiang, Guangdong, 524088, China.

出版信息

BMC Vet Res. 2025 Jan 24;21(1):35. doi: 10.1186/s12917-024-04467-0.

DOI:10.1186/s12917-024-04467-0
PMID:39856657
原文链接:https://pmc.ncbi.nlm.nih.gov/articles/PMC11760096/
Abstract

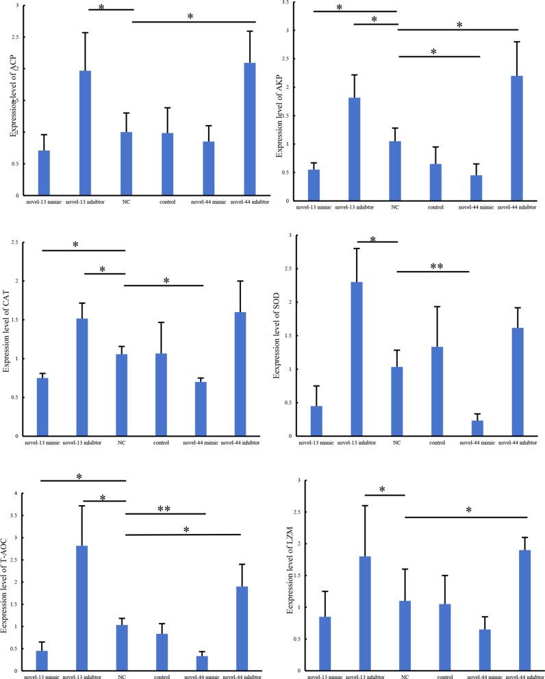
Pinctada fucata martensii (P. f. martensii) is one of the main pearl oysters cultured in artificial seawater in China. However, it is highly susceptible to pathogen infection under intensive cultivation near the coast. MicroRNAs (miRNAs), as an innovative and potent regulator of immune function, play a pivotal role in the immune response of pearl oysters to external stimuli and are a potent marker for the response of P. f. martensii to infection. This study identified two novel miRNAs, novel-13 and novel-44, from the whole transcriptome of the P. f. martensii hemocyte before and after infection with Vibrio parahaemolyticus. The dual luciferase results showed that novel-13 negatively regulated LAAO and novel-44 negatively regulated ILK. The activity of antioxidant-related enzymes increased significantly in the synthetic miRNA (novel-13 and novel-44) inhibitors and decreased significantly in the synthetic miRNA mimics. In the challenge experiment, injection with miRNA inhibitor increased the relative survival percentage by 10% compared with the control group. In conclusion, the overexpression of novel-13 and novel-44 can decrease the activity of immune and antioxidant-related enzymes, possibly affecting immune regulation in P. f. martensii by negatively regulating the LAAO and ILK target genes.

摘要

合浦珠母贝是中国人工海水中养殖的主要珍珠贝之一。然而,在近岸集约化养殖条件下,它极易受到病原体感染。微小RNA(miRNA)作为免疫功能的一种创新且强大的调节因子,在珍珠贝对外界刺激的免疫反应中起关键作用,并且是合浦珠母贝对感染反应的有力标志物。本研究从感染副溶血性弧菌前后的合浦珠母贝血细胞全转录组中鉴定出两个新的miRNA,即novel-13和novel-44。双荧光素酶结果表明,novel-13负调控LAAO,novel-44负调控ILK。在合成的miRNA(novel-13和novel-44)抑制剂中,抗氧化相关酶的活性显著增加,而在合成的miRNA模拟物中则显著降低。在攻毒实验中,与对照组相比,注射miRNA抑制剂使相对存活百分比提高了10%。总之,novel-13和novel-44的过表达可降低免疫和抗氧化相关酶的活性,可能通过负调控LAAO和ILK靶基因影响合浦珠母贝的免疫调节。

https://cdn.ncbi.nlm.nih.gov/pmc/blobs/bc24/11760096/fcf6fb4d17a9/12917_2024_4467_Fig6_HTML.jpg
https://cdn.ncbi.nlm.nih.gov/pmc/blobs/bc24/11760096/21868de2a85a/12917_2024_4467_Fig1_HTML.jpg
https://cdn.ncbi.nlm.nih.gov/pmc/blobs/bc24/11760096/fb61c48608f8/12917_2024_4467_Fig2_HTML.jpg
https://cdn.ncbi.nlm.nih.gov/pmc/blobs/bc24/11760096/6ae63d52e901/12917_2024_4467_Fig3_HTML.jpg
https://cdn.ncbi.nlm.nih.gov/pmc/blobs/bc24/11760096/c03d52b2ae92/12917_2024_4467_Fig4_HTML.jpg
https://cdn.ncbi.nlm.nih.gov/pmc/blobs/bc24/11760096/5ef78854be3e/12917_2024_4467_Fig5_HTML.jpg
https://cdn.ncbi.nlm.nih.gov/pmc/blobs/bc24/11760096/fcf6fb4d17a9/12917_2024_4467_Fig6_HTML.jpg
https://cdn.ncbi.nlm.nih.gov/pmc/blobs/bc24/11760096/21868de2a85a/12917_2024_4467_Fig1_HTML.jpg
https://cdn.ncbi.nlm.nih.gov/pmc/blobs/bc24/11760096/fb61c48608f8/12917_2024_4467_Fig2_HTML.jpg
https://cdn.ncbi.nlm.nih.gov/pmc/blobs/bc24/11760096/6ae63d52e901/12917_2024_4467_Fig3_HTML.jpg
https://cdn.ncbi.nlm.nih.gov/pmc/blobs/bc24/11760096/c03d52b2ae92/12917_2024_4467_Fig4_HTML.jpg
https://cdn.ncbi.nlm.nih.gov/pmc/blobs/bc24/11760096/5ef78854be3e/12917_2024_4467_Fig5_HTML.jpg
https://cdn.ncbi.nlm.nih.gov/pmc/blobs/bc24/11760096/fcf6fb4d17a9/12917_2024_4467_Fig6_HTML.jpg

相似文献

1
Study on the response mechanism of MicroRNA novel-13 and novel-44 to Vibrio parahaemolyticus infection in Pinctada fucata martensii.合浦珠母贝中MicroRNA novel-13和novel-44对副溶血性弧菌感染的应答机制研究
BMC Vet Res. 2025 Jan 24;21(1):35. doi: 10.1186/s12917-024-04467-0.
2
Comprehensive analysis of the lncRNAs, mRNAs, and miRNAs implicated in the immune response of Pinctada fucata martensii to Vibrio parahaemolyticus.对马氏珠母贝免疫反应中涉及的长链非编码 RNA、信使 RNA 和 microRNA 的综合分析。
Fish Shellfish Immunol. 2022 Nov;130:132-140. doi: 10.1016/j.fsi.2022.09.006. Epub 2022 Sep 7.
3
Defence mechanisms of Pinctada fucata martensii to Vibrio parahaemolyticus infection: Insights from proteomics and metabolomics.马氏珠母贝防御副溶血弧菌感染的机制:蛋白质组学和代谢组学的见解。
Fish Shellfish Immunol. 2023 Dec;143:109204. doi: 10.1016/j.fsi.2023.109204. Epub 2023 Nov 4.
4
Immunomodulatory effects of one novel microRNA miR-63 in pearl oyster Pinctada fucata martensii.新型 microRNA miR-63 对珍珠贝 Pinctada fucata martensii 的免疫调节作用。
Fish Shellfish Immunol. 2023 Sep;140:109002. doi: 10.1016/j.fsi.2023.109002. Epub 2023 Aug 15.
5
The role of Pm-miR-184-3p in regulating the immune response in the pearl oyster Pinctada fucata martensii.Pm-miR-184-3p 在调控马氏珠母贝(Pinctada fucata martensii)免疫反应中的作用。
Fish Shellfish Immunol. 2024 Jul;150:109658. doi: 10.1016/j.fsi.2024.109658. Epub 2024 May 25.
6
Comprehensive analysis of microRNAs in the mantle central and mantle edge provide insights into shell formation in pearl oyster Pinctada fucata martensii.对马氏珠母贝中套膜中央和套膜边缘的 microRNAs 进行综合分析,为珍珠贝贝壳形成提供了新的见解。
Comp Biochem Physiol B Biochem Mol Biol. 2021 Feb-Mar;252:110508. doi: 10.1016/j.cbpb.2020.110508. Epub 2020 Sep 28.
7
Expression of allograft inflammatory factor-1 (AIF-1) in response to bacterial challenge and tissue injury in the pearl oyster, Pinctada martensii.珍珠贝(Pinctada martensii)在受到细菌挑战和组织损伤时异体炎性因子-1(AIF-1)的表达。
Fish Shellfish Immunol. 2013 Jan;34(1):365-71. doi: 10.1016/j.fsi.2012.11.012. Epub 2012 Nov 23.
8
Response of pearl oyster Pinctada fucata martensii to allograft-induced stress from lipid metabolism.珍珠贝马氏珠母贝对脂质代谢引起的同种异体移植应激的反应。
Fish Shellfish Immunol. 2020 Mar;98:1001-1007. doi: 10.1016/j.fsi.2019.11.028. Epub 2019 Nov 14.
9
Novel globular C1q domain-containing protein (PmC1qDC-1) participates in shell formation and responses to pathogen-associated molecular patterns stimulation in Pinctada fucata martensii.新型球形 C1q 结构域蛋白(PmC1qDC-1)参与了马氏珠母贝贝壳形成以及对病原体相关分子模式刺激的反应。
Sci Rep. 2021 Jan 13;11(1):1105. doi: 10.1038/s41598-020-80295-0.
10
NF-κB inhibitor PDTC involved in regulating the transplantation immunity in the pearl oyster Pinctada fucata martensii.核因子-κB抑制剂PDTC参与调节合浦珠母贝的移植免疫。
Fish Shellfish Immunol. 2025 Mar;158:110175. doi: 10.1016/j.fsi.2025.110175. Epub 2025 Feb 3.

本文引用的文献

1
Immunomodulatory effects of one novel microRNA miR-63 in pearl oyster Pinctada fucata martensii.新型 microRNA miR-63 对珍珠贝 Pinctada fucata martensii 的免疫调节作用。
Fish Shellfish Immunol. 2023 Sep;140:109002. doi: 10.1016/j.fsi.2023.109002. Epub 2023 Aug 15.
2
A Mannose Receptor from Involved in Innate Immunity by Pathogen Recognition and Inflammation Regulation.甘露糖受体通过病原体识别和炎症调节参与固有免疫。
Int J Mol Sci. 2023 Jun 26;24(13):10665. doi: 10.3390/ijms241310665.
3
A novel miRNA, Cse-miR-33, functions as an immune regulator by targeting CsTRAF6 in Chinese tongue sole (Cynoglossus semilaevis).
一种新型 miRNA,Cse-miR-33,通过靶向中国舌鳎(Cynoglossus semilaevis)中的 CsTRAF6 发挥免疫调节作用。
Fish Shellfish Immunol. 2023 Mar;134:108606. doi: 10.1016/j.fsi.2023.108606. Epub 2023 Feb 8.
4
Comprehensive analysis of the lncRNAs, mRNAs, and miRNAs implicated in the immune response of Pinctada fucata martensii to Vibrio parahaemolyticus.对马氏珠母贝免疫反应中涉及的长链非编码 RNA、信使 RNA 和 microRNA 的综合分析。
Fish Shellfish Immunol. 2022 Nov;130:132-140. doi: 10.1016/j.fsi.2022.09.006. Epub 2022 Sep 7.
5
Expression profile of the fish immune enzyme l-amino acid oxidase (LAAO) after Streptococcus agalactiae infection in zebrafish (Danio rerio).无乳链球菌感染斑马鱼(Danio rerio)后鱼类免疫酶L-氨基酸氧化酶(LAAO)的表达谱
Dev Comp Immunol. 2021 Jun;119:104040. doi: 10.1016/j.dci.2021.104040. Epub 2021 Feb 6.
6
Recent Advances in miRNA Delivery Systems.微小RNA递送系统的最新进展
Methods Protoc. 2021 Jan 20;4(1):10. doi: 10.3390/mps4010010.
7
Transcriptomic Response of Mussel Gills After a Infection Demonstrates Their Role in the Immune Response.感染后贻贝鳃转录组反应表明其在免疫反应中的作用。
Front Immunol. 2020 Dec 16;11:615580. doi: 10.3389/fimmu.2020.615580. eCollection 2020.
8
MicroRNA-mediated stress response in bivalve species.双壳类物种中的 microRNA 介导的应激反应。
Ecotoxicol Environ Saf. 2021 Jan 15;208:111442. doi: 10.1016/j.ecoenv.2020.111442. Epub 2020 Oct 7.
9
The miRNAs profiling revealed by high-throughput sequencing upon WSSV infection in mud crab Scylla paramamosain.对感染 WSSV 的锯缘青蟹进行高通量测序得到的 miRNA 图谱分析。
Fish Shellfish Immunol. 2020 May;100:427-435. doi: 10.1016/j.fsi.2020.03.002. Epub 2020 Mar 5.
10
Transforming Growth Factor β1 (TGF-β1)-Stimulated Integrin-Linked Kinase (ILK) Regulates Migration and Epithelial-Mesenchymal Transition (EMT) of Human Lens Epithelial Cells via Nuclear Factor κB (NF-κB).转化生长因子β1(TGF-β1)刺激整合素连接激酶(ILK)通过核因子κB(NF-κB)调节人晶状体上皮细胞的迁移和上皮-间充质转化(EMT)。
Med Sci Monit. 2018 Oct 17;24:7424-7430. doi: 10.12659/MSM.910601.