• 文献检索
  • 文档翻译
  • 深度研究
  • 学术资讯
  • Suppr Zotero 插件Zotero 插件
  • 邀请有礼
  • 套餐&价格
  • 历史记录
应用&插件
Suppr Zotero 插件Zotero 插件浏览器插件Mac 客户端Windows 客户端微信小程序
定价
高级版会员购买积分包购买API积分包
服务
文献检索文档翻译深度研究API 文档MCP 服务
关于我们
关于 Suppr公司介绍联系我们用户协议隐私条款
关注我们

Suppr 超能文献

核心技术专利:CN118964589B侵权必究
粤ICP备2023148730 号-1Suppr @ 2026

文献检索

告别复杂PubMed语法,用中文像聊天一样搜索,搜遍4000万医学文献。AI智能推荐,让科研检索更轻松。

立即免费搜索

文件翻译

保留排版,准确专业,支持PDF/Word/PPT等文件格式,支持 12+语言互译。

免费翻译文档

深度研究

AI帮你快速写综述,25分钟生成高质量综述,智能提取关键信息,辅助科研写作。

立即免费体验

贝派地酸交错给药与同时给药对普伐他汀药代动力学的影响:健康志愿者的随机交叉临床试验

Effect of Staggered vs. Simultaneous Co-Administration of Bempedoic Acid on Pharmacokinetics of Pravastatin: Randomized, Cross-Over Clinical Trial in Healthy Volunteers.

作者信息

Stoll Felicitas, Amato Salvatore, Sauter Max, Burhenne Jürgen, Weiss Johanna, Haefeli Walter E, Blank Antje

机构信息

Medical Faculty Heidelberg, Heidelberg University, 69117 Heidelberg, Germany.

Internal Medicine IX-Department of Clinical Pharmacology and Pharmacoepidemiology, Heidelberg University Hospital, 69120 Heidelberg, Germany.

出版信息

Pharmaceutics. 2025 Jan 3;17(1):60. doi: 10.3390/pharmaceutics17010060.

DOI:10.3390/pharmaceutics17010060
PMID:39861708
原文链接:https://pmc.ncbi.nlm.nih.gov/articles/PMC11768435/
Abstract

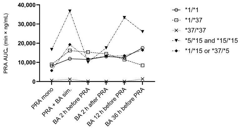
: Bempedoic acid (BA) is a novel cholesterol-lowering agent with proven positive effects on cardiovascular endpoints. Because it is an inhibitor of the hepatic transporters OATP1B1 and OATP1B3, two uptake transporters regulating the intrahepatic availability of statins, it increases the systemic exposure of co-administered statins. This interaction could raise the risk of myopathy. We hypothesized that the drug interaction between BA and statins could be mitigated by staggered administration. : This was a single-centre, open-label, randomized, two-arm, cross-over, phase I drug interaction trial in healthy volunteers (EudraCT-No: 2022-001096-13). The primary objective was to evaluate the OATP1B1 inhibitory effect of BA on exposure to pravastatin after simultaneous administration versus different schedules of staggered administration. A secondary objective was to evaluate the impact of genotypes (*1, *5, *15, *37) on pravastatin exposure. Pravastatin was administered in single oral doses of 40 mg at six visits. After a baseline visit with pravastatin alone, BA was dosed to steady state at the approved oral dose of 180 mg. Outcome measures were the area under the plasma concentration-time curve, extrapolated to infinity (AUC) and C of pravastatin, 3α-hydroxy-pravastatin (pravastatin 3-iso), and pravastatin lactone, and their geometric mean ratios (GMRs) of different schedules of administration. Log-transformed AUC and C were compared with one-way ANOVA with a 90% confidence interval (CI). : Fourteen participants completed all visits. At BA steady state, the GMRs of pravastatin AUC and C were 1.80 (90% CI 1.31-2.46) and 1.95 (90% CI 1.40-2.72), respectively, compared to baseline. There was no significant difference in pravastatin exposure between simultaneous vs. staggered administration. There was no statistically significant difference in pravastatin 3-iso or pravastatin lactone between different administration modes. For the AUC of pravastatin and pravastatin 3-iso, haplotype was a significant source of variation (63% and 20%, respectively), while the type of administration (simultaneous vs. staggered) had no significant impact. : The increase in pravastatin exposure with concomitant intake of BA was larger than expected. There was no significant difference between simultaneous vs. staggered administration of pravastatin and BA, possibly due to a population that was heterogenous in haplotypes.

摘要

贝派地酸(BA)是一种新型降胆固醇药物,已证实对心血管终点具有积极作用。由于它是肝脏转运体OATP1B1和OATP1B3的抑制剂,这两种摄取转运体调节他汀类药物的肝内可用性,因此它会增加同时服用的他汀类药物的全身暴露量。这种相互作用可能会增加肌病风险。我们假设BA与他汀类药物之间的药物相互作用可以通过错开给药来减轻。

这是一项在健康志愿者中进行的单中心、开放标签、随机、双臂、交叉的I期药物相互作用试验(欧盟临床试验编号:2022-001096-13)。主要目的是评估BA在同时给药与不同错开给药方案后对普伐他汀暴露的OATP1B1抑制作用。次要目的是评估基因型(*1、*5、*15、*37)对普伐他汀暴露的影响。在六次访视中,普伐他汀以40mg的单次口服剂量给药。在单独服用普伐他汀的基线访视后,BA以180mg的批准口服剂量给药至稳态。观察指标是血浆浓度-时间曲线下面积,外推至无穷大(AUC)以及普伐他汀、3α-羟基普伐他汀(普伐他汀3-异构体)和普伐他汀内酯的C,以及不同给药方案的几何平均比值(GMRs)。对经对数转换的AUC和C进行单因素方差分析,并给出90%置信区间(CI)。

14名参与者完成了所有访视。在BA达到稳态时,与基线相比,普伐他汀AUC和C的GMRs分别为1.80(90%CI 1.31-2.46)和1.95(90%CI 1.40-2.72)。同时给药与错开给药之间普伐他汀暴露无显著差异。不同给药方式之间普伐他汀3-异构体或普伐他汀内酯无统计学显著差异。对于普伐他汀和普伐他汀3-异构体的AUC,单倍型是一个显著的变异来源(分别为63%和2

https://cdn.ncbi.nlm.nih.gov/pmc/blobs/c7d1/11768435/61926dc5ad13/pharmaceutics-17-00060-g006.jpg
https://cdn.ncbi.nlm.nih.gov/pmc/blobs/c7d1/11768435/46da7d1bb656/pharmaceutics-17-00060-g001.jpg
https://cdn.ncbi.nlm.nih.gov/pmc/blobs/c7d1/11768435/5500970be3c7/pharmaceutics-17-00060-g002.jpg
https://cdn.ncbi.nlm.nih.gov/pmc/blobs/c7d1/11768435/3d1065ee1126/pharmaceutics-17-00060-g003.jpg
https://cdn.ncbi.nlm.nih.gov/pmc/blobs/c7d1/11768435/c82d00570b14/pharmaceutics-17-00060-g004.jpg
https://cdn.ncbi.nlm.nih.gov/pmc/blobs/c7d1/11768435/d2d185b8f54d/pharmaceutics-17-00060-g005.jpg
https://cdn.ncbi.nlm.nih.gov/pmc/blobs/c7d1/11768435/61926dc5ad13/pharmaceutics-17-00060-g006.jpg
https://cdn.ncbi.nlm.nih.gov/pmc/blobs/c7d1/11768435/46da7d1bb656/pharmaceutics-17-00060-g001.jpg
https://cdn.ncbi.nlm.nih.gov/pmc/blobs/c7d1/11768435/5500970be3c7/pharmaceutics-17-00060-g002.jpg
https://cdn.ncbi.nlm.nih.gov/pmc/blobs/c7d1/11768435/3d1065ee1126/pharmaceutics-17-00060-g003.jpg
https://cdn.ncbi.nlm.nih.gov/pmc/blobs/c7d1/11768435/c82d00570b14/pharmaceutics-17-00060-g004.jpg
https://cdn.ncbi.nlm.nih.gov/pmc/blobs/c7d1/11768435/d2d185b8f54d/pharmaceutics-17-00060-g005.jpg
https://cdn.ncbi.nlm.nih.gov/pmc/blobs/c7d1/11768435/61926dc5ad13/pharmaceutics-17-00060-g006.jpg

相似文献

1
Effect of Staggered vs. Simultaneous Co-Administration of Bempedoic Acid on Pharmacokinetics of Pravastatin: Randomized, Cross-Over Clinical Trial in Healthy Volunteers.贝派地酸交错给药与同时给药对普伐他汀药代动力学的影响:健康志愿者的随机交叉临床试验
Pharmaceutics. 2025 Jan 3;17(1):60. doi: 10.3390/pharmaceutics17010060.
2
Assessment of the Effect of Filgotinib on the Pharmacokinetics of Atorvastatin, Pravastatin, and Rosuvastatin in Healthy Adult Participants.评估 Filgotinib 对阿托伐他汀、普伐他汀和瑞舒伐他汀在健康成年参与者体内药代动力学的影响。
Clin Pharmacol Drug Dev. 2022 Feb;11(2):235-245. doi: 10.1002/cpdd.1015. Epub 2021 Sep 1.
3
Differential pharmacokinetics of diclofenac potassium for oral solution vs immediate-release tablets from a randomized trial: effect of fed and fasting conditions.随机试验中口服溶液与普通片的双氯芬酸钾的药代动力学差异:进食与禁食状态的影响。
Headache. 2015 Feb;55(2):265-75. doi: 10.1111/head.12483. Epub 2014 Dec 24.
4
Impact of the SLCO1B1 polymorphism on the pharmacokinetics and lipid-lowering efficacy of multiple-dose pravastatin.SLCO1B1基因多态性对多剂量普伐他汀药代动力学及降脂疗效的影响。
Clin Pharmacol Ther. 2006 May;79(5):419-26. doi: 10.1016/j.clpt.2006.01.010. Epub 2006 Apr 11.
5
Effect of drug transporter genotypes on pravastatin disposition in European- and African-American participants.药物转运体基因多态性对欧洲裔和非裔美国参与者中普伐他汀处置的影响。
Pharmacogenet Genomics. 2007 Aug;17(8):647-56. doi: 10.1097/FPC.0b013e3280ef698f.
6
Results From Phase I Studies Investigating the Dose Linearity of Finerenone Tablets and the Influence of Food or pH-Modifying Comedications on its Pharmacokinetics in Healthy Male Volunteers.在健康男性志愿者中研究芬尼酮片剂量线性和食物或 pH 调节药物对其药代动力学影响的 I 期研究结果。
Eur J Drug Metab Pharmacokinet. 2022 Jul;47(4):549-559. doi: 10.1007/s13318-022-00770-z. Epub 2022 May 25.
7
Unveiling the Influence of a High-Fat Meal on the Pharmacokinetics of Oral Globalagliatin, A Glucokinase Activator, in Healthy Chinese Volunteers.揭示高脂餐对健康中国志愿者口服葡萄糖激酶激活剂曲格列汀药代动力学的影响。
Drugs R D. 2024 Mar;24(1):41-50. doi: 10.1007/s40268-023-00448-0. Epub 2023 Nov 20.
8
SLCO1B1 polymorphism and sex affect the pharmacokinetics of pravastatin but not fluvastatin.SLCO1B1基因多态性和性别影响普伐他汀的药代动力学,但不影响氟伐他汀的药代动力学。
Clin Pharmacol Ther. 2006 Oct;80(4):356-66. doi: 10.1016/j.clpt.2006.06.010.
9
Acute effects of pravastatin on cholesterol synthesis are associated with SLCO1B1 (encoding OATP1B1) haplotype *17.普伐他汀对胆固醇合成的急性影响与SLCO1B1(编码OATP1B1)单倍型*17相关。
Pharmacogenet Genomics. 2005 May;15(5):303-9. doi: 10.1097/01213011-200505000-00005.
10
Influence of SLCO1B1 polymorphisms on the drug-drug interaction between darunavir/ritonavir and pravastatin.SLCO1B1 多态性对达鲁那韦/利托那韦与普伐他汀药物相互作用的影响。
J Clin Pharmacol. 2012 Nov;52(11):1725-38. doi: 10.1177/0091270011427907. Epub 2011 Dec 14.

引用本文的文献

1
effects of bempedoic acid on microdosed CYP probe drugs.贝派地酸对微剂量CYP探针药物的影响。
Front Pharmacol. 2025 Apr 8;16:1544956. doi: 10.3389/fphar.2025.1544956. eCollection 2025.

本文引用的文献

1
Pravastatin for lowering lipids.普伐他汀降血脂。
Cochrane Database Syst Rev. 2023 Sep 18;9(9):CD013673. doi: 10.1002/14651858.CD013673.pub2.
2
The Disposition and Metabolism of Bempedoic Acid, a Potent Inhibitor of ATP Citrate Lyase, in Healthy Human Subjects.ATP柠檬酸裂解酶强效抑制剂贝派地酸在健康人体受试者中的处置与代谢
Drug Metab Dispos. 2023 May;51(5):599-609. doi: 10.1124/dmd.122.001142. Epub 2023 Mar 6.
3
Bempedoic Acid and Cardiovascular Outcomes in Statin-Intolerant Patients.贝匹地酸在他汀类药物不耐受患者中的心血管结局。
N Engl J Med. 2023 Apr 13;388(15):1353-1364. doi: 10.1056/NEJMoa2215024. Epub 2023 Mar 4.
4
PharmVar GeneFocus: SLCO1B1.药物代谢基因变异体数据库:SLCO1B1。
Clin Pharmacol Ther. 2023 Apr;113(4):782-793. doi: 10.1002/cpt.2705. Epub 2022 Jul 27.
5
Efficacy and safety of bempedoic acid in patients not receiving statins in phase 3 clinical trials.三期临床试验中,贝派地酸在未接受他汀类药物治疗患者中的疗效与安全性。
J Clin Lipidol. 2022 May-Jun;16(3):286-297. doi: 10.1016/j.jacl.2022.03.001. Epub 2022 Mar 13.
6
Pharmacodynamic effect of bempedoic acid and statin combinations: predictions from a dose-response model.贝匹地酸与他汀类药物联合的药效学作用:来自剂量-反应模型的预测。
Eur Heart J Cardiovasc Pharmacother. 2022 Sep 3;8(6):578-586. doi: 10.1093/ehjcvp/pvab064.
7
Hydrophilic or Lipophilic Statins?亲水性还是亲脂性他汀类药物?
Front Cardiovasc Med. 2021 May 20;8:687585. doi: 10.3389/fcvm.2021.687585. eCollection 2021.
8
A systematic review and meta-analysis of genotype-based and individualized data analysis of SLCO1B1 gene and statin-induced myopathy.基于基因型和个体化数据分析 SLCO1B1 基因与他汀类药物诱导的肌病的系统评价和荟萃分析。
Pharmacogenomics J. 2021 Jun;21(3):296-307. doi: 10.1038/s41397-021-00208-w. Epub 2021 Feb 19.
9
Functional Consequences of Pravastatin Isomerization on OATP1B1-Mediated Transport.普伐他汀异构体对 OATP1B1 介导的转运的功能影响。
Drug Metab Dispos. 2020 Nov;48(11):1192-1198. doi: 10.1124/dmd.120.000122. Epub 2020 Sep 5.
10
Efficacy and safety of bempedoic acid for the treatment of hypercholesterolemia: A systematic review and meta-analysis.贝匹地酸治疗高胆固醇血症的疗效和安全性:系统评价和荟萃分析。
PLoS Med. 2020 Jul 16;17(7):e1003121. doi: 10.1371/journal.pmed.1003121. eCollection 2020 Jul.