Suppr超能文献

观察儿童慢性腹泻的临床特征并评估营养和免疫指标的预后价值。

Observation of the clinical characteristics of chronic diarrhoea in children and evaluation of the prognostic value of nutritional and immune indicators.

作者信息

Hao Jianyun, Ma Xin, Gong Youzhe, Zhu Dan, Ning Huijuan, Zhong Xuemei

机构信息

Children's Hospital of Capital Institute of Pediatrics, Department of Gastroenterology, Beijing City, China.

出版信息

J Med Biochem. 2024 Nov 16;43(6):879-889. doi: 10.5937/jomb0-48174.

Abstract

BACKGROUND

This research aimed to assess the clinical characteristics of chronic diarrhoea in children and explore the prognostic value of nutritional status and immune indicators.

METHODS

A total of 190 patients with chronic diarrhoea from January 2017 to June 2020 were enrolled to analyze their epidemiology. The patients were divided into a better prognosis group (cured and improved) and a poor prognosis group (uncured). The efficacy of nutritional status and immune indicators in children's chronic diarrhoea prognosis was analyzed.

RESULTS

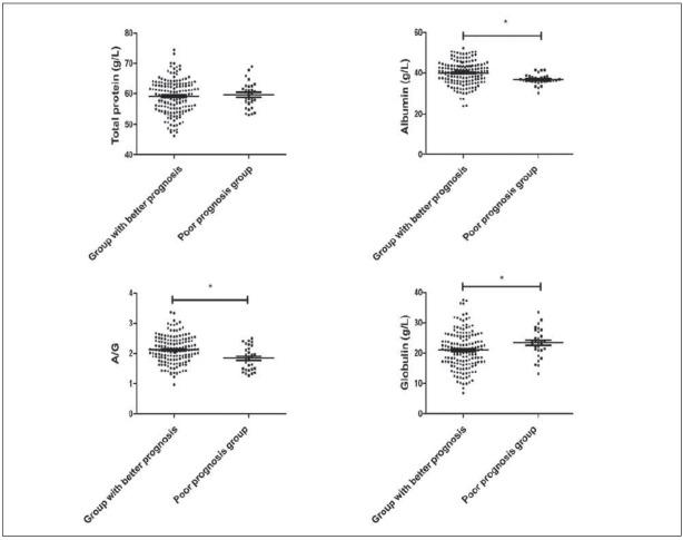
Most patients were 0-3 years old (74.2%), of which 54.3% were less than 1 year old, and 48.95% had a course of 1 to 2 months. The albumin, immunoglobulin G (IgG), IgA and IgM levels, albumin, globulin, and the ratio of albumin to globulin in the better prognosis group were higher than those in the poor prognosis group. The AUC (area under the curve) of the combined detection in evaluating the prognosis of children with chronic diarrhoea was greater than that of the albumin and globulin alone (P<0.05). IgG 10.05 g/L and IgA 7.72 g/L were protective factors affecting the prognosis of children with chronic diarrhoea.

CONCLUSIONS

Children with chronic diarrhoea are mainly infants and young children with various clinical symptoms and are prone to comorbidities such as malnutrition, anemia, hypoalbuminemia, and impaired immune function. In evaluating the prognosis of children, evaluating nutritional status and immune indicators together is valuable.

摘要

背景

本研究旨在评估儿童慢性腹泻的临床特征,并探讨营养状况和免疫指标的预后价值。

方法

纳入2017年1月至2020年6月期间共190例慢性腹泻患儿,分析其流行病学情况。将患儿分为预后较好组(治愈和好转)和预后较差组(未治愈)。分析营养状况和免疫指标对儿童慢性腹泻预后的影响。

结果

多数患儿年龄在0至3岁(74.2%),其中54.3%小于1岁,48.95%病程为1至2个月。预后较好组的白蛋白、免疫球蛋白G(IgG)、IgA和IgM水平、白蛋白、球蛋白及白蛋白与球蛋白比值均高于预后较差组。联合检测评估儿童慢性腹泻预后的曲线下面积(AUC)大于单独检测白蛋白和球蛋白(P<0.05)。IgG 10.05 g/L和IgA 7.72 g/L是影响儿童慢性腹泻预后的保护因素。

结论

慢性腹泻患儿以婴幼儿为主,临床症状多样,易合并营养不良、贫血、低蛋白血症及免疫功能受损等。在评估儿童预后时,联合评估营养状况和免疫指标具有重要价值。

https://cdn.ncbi.nlm.nih.gov/pmc/blobs/32ea/11771964/f37798abafe0/jomb-43-6-2406879H_g001.jpg

文献检索

告别复杂PubMed语法,用中文像聊天一样搜索,搜遍4000万医学文献。AI智能推荐,让科研检索更轻松。

立即免费搜索

文件翻译

保留排版,准确专业,支持PDF/Word/PPT等文件格式,支持 12+语言互译。

免费翻译文档

深度研究

AI帮你快速写综述,25分钟生成高质量综述,智能提取关键信息,辅助科研写作。

立即免费体验