Sadeghi Termeh Sarrafan, Ourang Seyed AmirHossein, Sohrabniya Fatemeh, Sadr Soroush, Shobeiri Parnian, Motamedian Saeed Reza
Dentofacial Deformities Research center, Research Institute of Dental sciences, Shahid Beheshti, University of Medical Sciences, Tehran, Iran.
Department of Endodontics, School of Dentistry, Hamadan University of Medical Sciences, Hamadan, Iran.
BMC Oral Health. 2025 Feb 5;25(1):187. doi: 10.1186/s12903-025-05482-9.
Artificial intelligence (AI) methods, including machine learning and deep learning, are increasingly applied in orthodontics for tasks like assessing skeletal maturity. Accurate timing of treatment is crucial, but traditional methods such as cervical vertebral maturation (CVM) staging have limitations due to observer variability and complexity. AI has the potential to automate CVM assessment, enhancing reliability and user-friendliness. This systematic review and meta-analysis aimed to evaluate the overall performance of artificial intelligence (AI) models in assessing cervical vertebrae maturation (CVM) in radiographs, when compared to clinicians.
Electronic databases of Medline (via PubMed), Google Scholar, Scopus, Embase, IEEE ArXiv and MedRxiv were searched for publications after 2010, without any limitation on language. In the present review, we included studies that reported AI models' performance on CVM assessment. Quality assessment was done using Quality assessment and diagnostic accuracy Tool-2 (QUADAS-2). Quantitative analysis was conducted using hierarchical logistic regression for meta-analysis on diagnostic accuracy. Subgroup analysis was conducted on different AI subsets (Deep learning, and Machine learning).
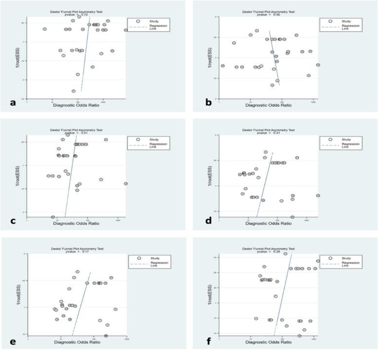
A total of 1606 studies were screened of which 25 studies were included. The performance of the models was acceptable. However, it varied based on the methods employed. Eight studies had a low risk of bias in all domains. Twelve studies were included in the meta-analysis and their pooled values for sensitivity, specificity, positive and negative likelihood ratios, and diagnostic odds ratio (DOR) were calculated for each cervical stage (CS). The most accurate CVM evaluation was observed for CS1, boasting a sensitivity of 0.87, a specificity of 0.97, and a DOR of 213. Conversely, CS3 exhibited the lowest performance with a sensitivity of 0.64, and a specificity of 0.96, yet maintaining a DOR of 32.
AI has demonstrated encouraging outcomes in CVM assessment, achieving notable accuracy.
包括机器学习和深度学习在内的人工智能(AI)方法在正畸学中越来越多地应用于评估骨骼成熟度等任务。准确的治疗时机至关重要,但传统方法如颈椎成熟度(CVM)分期由于观察者的变异性和复杂性存在局限性。人工智能有潜力实现CVM评估的自动化,提高可靠性和用户友好性。本系统评价和荟萃分析旨在评估与临床医生相比,人工智能(AI)模型在评估X线片中颈椎成熟度(CVM)方面的整体性能。
检索Medline(通过PubMed)、谷歌学术、Scopus、Embase、IEEE ArXiv和MedRxiv的电子数据库,查找2010年后的出版物,无语言限制。在本综述中,我们纳入了报告人工智能模型在CVM评估方面性能的研究。使用质量评估和诊断准确性工具-2(QUADAS-2)进行质量评估。使用分层逻辑回归进行定量分析,以对诊断准确性进行荟萃分析。对不同的人工智能子集(深度学习和机器学习)进行亚组分析。
共筛选了1606项研究,其中纳入25项研究。模型的性能是可以接受的。然而,它因所采用的方法而异。八项研究在所有领域的偏倚风险较低。12项研究纳入荟萃分析,并计算了每个颈椎阶段(CS)的敏感性、特异性、阳性和阴性似然比以及诊断比值比(DOR)的合并值。观察到CS1的CVM评估最准确,敏感性为0.87,特异性为0.97,DOR为213。相反,CS3的性能最低,敏感性为0.64,特异性为0.96,但DOR仍为32。
人工智能在CVM评估中显示出令人鼓舞的结果,取得了显著的准确性。