Suppr超能文献

儿童中选定金属混合物的联合暴露与甲状腺激素的关联:一项中国的横断面研究。

Associations of combined exposure to selected metal mixtures with thyroid hormones in children: a cross-sectional study in China.

作者信息

Cao Yuhan, Xiang Shiting, Du Yuwei, Chen Meiling, Xue Rumeng, Li Qi, Qiu Jun, Duan Yanying

机构信息

Department of Occupational and Environmental Health, Xiangya School of Public Health, Central South University, Changsha, China.

Hunan Children's Research Institute (HCRI), The Affiliated Children's Hospital of Xiangya School of Medicine, Central South University (Hunan Children's Hospital), Changsha, China.

出版信息

Front Public Health. 2025 Jan 22;13:1387702. doi: 10.3389/fpubh.2025.1387702. eCollection 2025.

Abstract

BACKGROUND

Exposure to several metal elements has been found to be associated with thyroid hormone homeostasis. However, evidence for combined exposure is inconclusive, especially for children.

OBJECTIVE

To examine the individual and joint effects of blood metal elements on thyroid hormones in children.

METHODS

A total of 12,470 children aged 0-14 were collected from January 2018 to December 2021 in Hunan Children's Hospital. The concentrations of lead (Pb), iron (Fe), calcium (Ca), copper (Cu), zinc (Zn) and magnesium (Mg) in blood were detected via atomic absorption spectrometry (AAS). The levels of thyroid stimulating hormone (TSH), triiodothyronine (TT3, FT3) and total and free thyroxine (TT4, FT4) were measured by electrochemiluminescence immunoassay (ECLIA). Generalized linear regression (GLR) model and Quantile-based g-computation (QGC) were employed to estimate the association between metal exposure and thyroid hormone homeostasis.

RESULTS

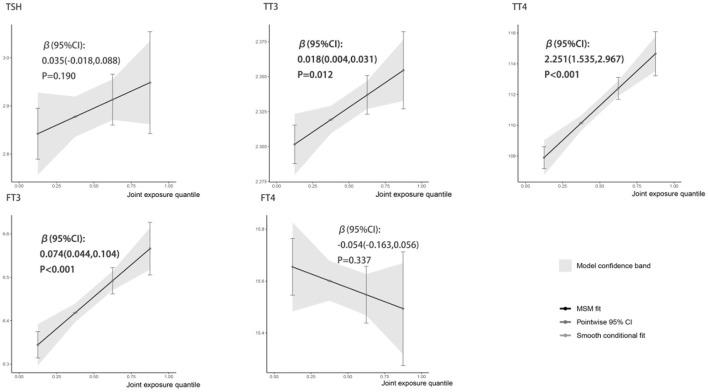
GLR model showed that a unit increase in ln-transformed Fe was associated with increases in TT3 (β = 0.163; < 0.001), TT4 (β = 12.255; < 0.001) and FT3 (β = 0.615; < 0.001), as well as decreases in TSH (β = -0.471; = 0.005) and FT4 (β = -1.938; < 0.001). The result of QGC analysis indicated a positive relationship of the ln-transformed concentration of metal mixture with the levels of TT3 (β = 0.018; = 0.012), TT4 (β = 2.251; < 0.001) and FT3 (β = 0.074; < 0.001) in children. Fe was the predominant contributor among the metal mixture with positive contributions to TT3 (weight = 0.439), TT4 (weight = 0.502) and FT3 (weight = 0.450).

CONCLUSIONS

The combined metal exposure was associated with increased levels of TT3, TT4, and FT3 in children and Fe appeared to be the major contributor. Further studies are warranted to confirm our findings and elucidate the underlying mechanisms.

摘要

背景

已发现接触多种金属元素与甲状腺激素稳态有关。然而,关于联合暴露的证据尚无定论,尤其是在儿童中。

目的

研究血液中金属元素对儿童甲状腺激素的单独及联合影响。

方法

2018年1月至2021年12月期间,在湖南省儿童医院收集了12470名0 - 14岁儿童的数据。通过原子吸收光谱法(AAS)检测血液中铅(Pb)、铁(Fe)、钙(Ca)、铜(Cu)、锌(Zn)和镁(Mg)的浓度。采用电化学发光免疫分析法(ECLIA)测定促甲状腺激素(TSH)、三碘甲状腺原氨酸(TT3、FT3)以及总甲状腺素和游离甲状腺素(TT4、FT4)的水平。运用广义线性回归(GLR)模型和基于分位数的g计算法(QGC)评估金属暴露与甲状腺激素稳态之间的关联。

结果

GLR模型显示,ln转换后的铁每增加一个单位,TT3(β = 0.163;P < 0.001)、TT4(β = 12.255;P < 0.001)和FT3(β = 0.615;P < 0.001)水平升高,TSH(β = -0.471;P = 0.005)和FT4(β = -1.938;P < 0.001)水平降低。QGC分析结果表明,ln转换后的金属混合物浓度与儿童TT3(β = 0.018;P = 0.012)、TT4(β = 2.251;P < 0.001)和FT3(β = 0.074;P < 0.001)水平呈正相关。在对TT3(权重 = 0.439)、TT4(权重 = 0.502)和FT3(权重 = 0.450)有正向贡献的金属混合物中,铁是主要贡献因素。

结论

儿童联合金属暴露与TT3、TT4和FT3水平升高有关,铁似乎是主要贡献因素。有必要进行进一步研究以证实我们的发现并阐明潜在机制。

https://cdn.ncbi.nlm.nih.gov/pmc/blobs/6cbf/11794202/4d3100cc6c49/fpubh-13-1387702-g0001.jpg

文献AI研究员

20分钟写一篇综述,助力文献阅读效率提升50倍。

立即体验

用中文搜PubMed

大模型驱动的PubMed中文搜索引擎

马上搜索

文档翻译

学术文献翻译模型,支持多种主流文档格式。

立即体验