Dong Xinhua, Bao Guodong, Wang Wei
State Key Laboratory of Alternate Electrical Power System with Renewable Energy Sources, North China Electric Power University, Beijing 102206, China.
Polymers (Basel). 2025 Feb 6;17(3):430. doi: 10.3390/polym17030430.
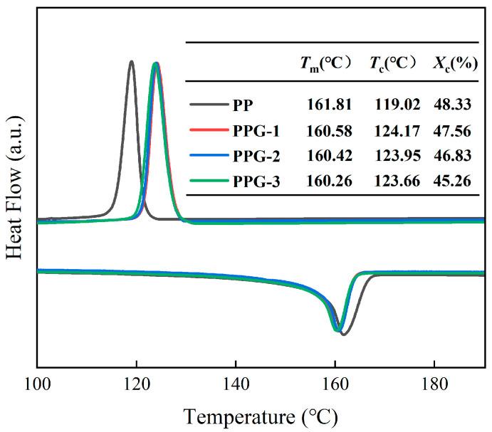
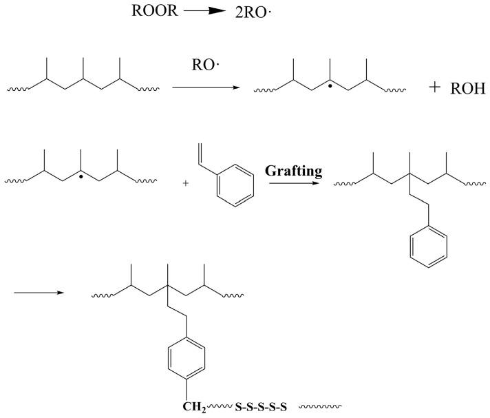
High-voltage (HV) cables may experience voltage polarity reversal during power adjustment, leading to the accumulation of space charges inside the insulation material and causing distortion of the internal electric field. To characterize the effect of grafting modification on the insulation properties of polypropylene (PP), various electrical properties were characterized. The results show that grafting modification can significantly improve the electrical properties of PP, with PPG-2 exhibiting the best electrical properties. Compared with PP, the breakdown strength of PPG-2 is increased by 39.27%, and the critical electric field is increased by 36.52%. Meanwhile, the charge accumulation inside the PPG-2 is extremely small after voltage polarity reversal. The mechanism of grafting modification to enhance the electrical properties of PP was explained by analyzing the trap characteristics of the samples. This indicates that grafting modification introduces a large number of deep traps within PP, suppressing the injection and migration of charge carriers. The presence of deep traps weakens the charge accumulation and electric field distortion at the interface. In this paper, the optimal monomer and content of grafted PP were determined, and the insulation properties of the cable under operating conditions were analyzed. The research results offer practical guidance for the development of high-performance grafted PP cable insulation materials and the reliability of cable operation.
高压(HV)电缆在功率调整期间可能会经历电压极性反转,导致绝缘材料内部空间电荷的积累,并引起内部电场的畸变。为了表征接枝改性对聚丙烯(PP)绝缘性能的影响,对各种电学性能进行了表征。结果表明,接枝改性可以显著提高PP的电学性能,其中PPG-2表现出最佳的电学性能。与PP相比,PPG-2的击穿强度提高了39.27%,临界电场提高了36.52%。同时,电压极性反转后PPG-2内部的电荷积累极少。通过分析样品的陷阱特性,解释了接枝改性增强PP电学性能的机理。这表明接枝改性在PP内部引入了大量深陷阱,抑制了电荷载流子的注入和迁移。深陷阱的存在减弱了界面处的电荷积累和电场畸变。本文确定了接枝PP的最佳单体和含量,并分析了电缆在运行条件下的绝缘性能。研究结果为高性能接枝PP电缆绝缘材料的开发和电缆运行的可靠性提供了实际指导。