Suppr超能文献

雄性生殖系统中抗体药代动力学的研究及其用转化性生理药代动力学模型进行的表征

Investigation of Antibody Pharmacokinetics in Male Reproductive System and Its Characterization Using a Translational PBPK Model.

作者信息

Ojili Sree, Shah Dhaval K

机构信息

Department of Pharmaceutical Sciences, School of Pharmacy and Pharmaceutical Sciences, The State University of New York at Buffalo, Buffalo, NY 14214-8033, USA.

出版信息

Antibodies (Basel). 2025 Feb 13;14(1):17. doi: 10.3390/antib14010017.

Abstract

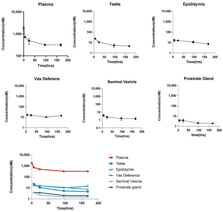
To investigate the pharmacokinetics (PK) of the monoclonal antibody (mAb) in male reproductive tissues and develop a translational physiologically based pharmacokinetic (PBPK) model to characterize the PK data. The PK of a non-cross-reactive antibody (trastuzumab) was investigated in human FcRn-expressing male mice following a 10 mg/kg intravenous dose. The PK in plasma and male reproductive tissues (i.e., epididymis, testes, vas deferens, seminal vesicles, and prostate glands) were evaluated. The observed PK data in mice were mathematically characterized using a novel PBPK model for antibodies that contained male reproductive systems. The mouse PBPK model was scaled to rats, monkeys, and humans to predict the PK of antibodies in male reproductive organs across animal species. : Plasma and tissue PK data generated in mice suggest that antibody distribution in male reproductive tissues is generally lower compared to that of most of the organs. The antibody exposure in the testes was 1.70%, in the epididymis was 2.57%, in the vas deferens was 2.01%, in the seminal vesicle was 0.42%, and in the prostate gland was 0.52% of the plasma exposure. The plasma and tissue PK data were simultaneously characterized using the PBPK model, which incorporated the novel male reproductive system. All the predicted PK profiles were within two-fold of the observed data, as indicated by percentage prediction error (%PE) values. The mouse model was successfully translated to bigger animals, and the model was used to simulate the PK of antibodies in rat, monkey, and human male reproductive systems. : The combination of the experimental data and novel PBPK model presented here provides unprecedented insights into the antibody distributions in different male reproductive tissues. The PBPK model can serve as a crucial tool for advancing the development of antibody-based therapies for treating sexually transmitted infections (STIs), cancers, and contraceptives.

摘要

研究单克隆抗体(mAb)在雄性生殖组织中的药代动力学(PK),并建立基于生理的药代动力学(PBPK)转化模型来表征PK数据。在表达人FcRn的雄性小鼠中静脉注射10 mg/kg剂量后,研究了一种非交叉反应性抗体(曲妥珠单抗)的PK。评估了血浆和雄性生殖组织(即附睾、睾丸、输精管、精囊和前列腺)中的PK。使用包含雄性生殖系统的新型抗体PBPK模型对小鼠中观察到的PK数据进行数学表征。将小鼠PBPK模型按比例放大到大鼠、猴子和人类,以预测抗体在不同动物物种雄性生殖器官中的PK。:小鼠产生的血浆和组织PK数据表明,与大多数器官相比,抗体在雄性生殖组织中的分布通常较低。睾丸中的抗体暴露量为血浆暴露量的1.70%,附睾中为2.57%,输精管中为2.01%,精囊中为0.42%,前列腺中为0.52%。使用包含新型雄性生殖系统的PBPK模型同时表征血浆和组织PK数据。所有预测的PK曲线均在观察数据的两倍以内,如预测误差百分比(%PE)值所示。小鼠模型成功转化为更大的动物,并用于模拟抗体在大鼠、猴子和人类雄性生殖系统中的PK。:此处呈现的实验数据与新型PBPK模型的结合为不同雄性生殖组织中的抗体分布提供了前所未有的见解。PBPK模型可作为推进基于抗体的治疗性传播感染(STIs)、癌症和避孕药开发的关键工具。

https://cdn.ncbi.nlm.nih.gov/pmc/blobs/de60/11843977/d63e388dcd73/antibodies-14-00017-g001.jpg

文献AI研究员

20分钟写一篇综述,助力文献阅读效率提升50倍。

立即体验

用中文搜PubMed

大模型驱动的PubMed中文搜索引擎

马上搜索

文档翻译

学术文献翻译模型,支持多种主流文档格式。

立即体验