Suppr超能文献

肠道微生物群与男性生育能力:一项两样本孟德尔随机化研究。

Gut microbiota and male fertility: A two-sample Mendelian randomization study.

作者信息

Wang Zhi-Hong, Kang Yi-Fan

机构信息

Department of Reproductive Center, The First Hospital of Shanxi Medical University, Taiyuan, China.

The Fifth Clinical Medical College of Shanxi Medical University, Shanxi Provincial People's Hospital, Taiyuan, China.

出版信息

Medicine (Baltimore). 2025 Feb 21;104(8):e41542. doi: 10.1097/MD.0000000000041542.

Abstract

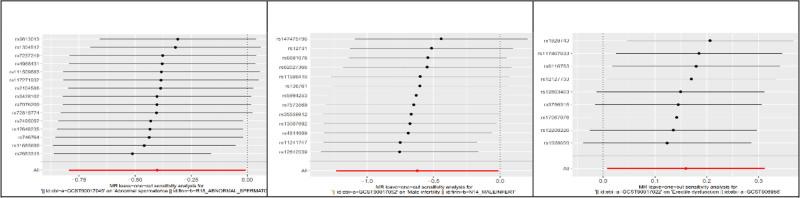
Previous studies have reported that alterations in gut microbiota composition are associated with male fertility. However, it is unclear and difficult to establish whether these associations reflect a causal relationship. We assessed genome-wide association study summary statistics for gut microbiota and male fertility to perform MR analysis. Independent single nucleotide polymorphisms closely associated with 211 gut bacterial taxa (N = 122,110) were identified as instrumental variables. The summary statistic data for male infertility (N = 733,479), abnormal spermatozoa (N = 209,921) and erectile dysfunction (N = 223,805) were obtained from the latest release from the FinnGen consortium as the outcome of interest. Two-sample MR was performed to evaluate the causal effect of gut microbiota on male fertility, including inverse-variance-weighted (IVW) method, weighted median method, MR-Egger, mode-based estimation and MR-PRESSO. A series of sensitivity analyses was performed to validate the robustness of the results. The robustness of the estimation was tested by a series of sensitivity analyses including Cochran's Q test, MR-Egger intercept analysis, leave-one-out analysis and funnel plot were used to assess the causal association. Combining the results from the discovery and replication stages, we identified 3 causal bacterial genus. Ruminiclostridm6 (OR = 0.537, 95%CI = 0.292-0.987, P = .045, PFDR = 0.234) was found to be closely associated with male infertility, and the decrease in its quantity increased the risk of male infertility. Decreased Prevotella9 (OR = 0.670, 95% CI = 0.452-0.992, P = .046, PFDR = 0.175) was found to be closely related to abnormal sperm. Lachnospiraceae NC2004 group (OR = 1.173, 95% CI = 1.008-1.366, P = .078, PFDR = 0.530) was found to be closely related to male erectile dysfunction, and there was a positive correlation between them. No heterogeneity and pleiotropy were detected. This study implied a causal relationship between the Ruminiclostridm6 genus, Prevotella9 genus, Lachnospiraceae NC2004 group genus and male fertility, thus providing novel insights into the gut microbiota-mediated development mechanism of ADs. Nevertheless, future studies are warranted to dissect the underlying mechanisms of specific bacterial taxa's role in the pathophysiology of male fertility.

摘要

先前的研究报告称,肠道微生物群组成的改变与男性生育能力有关。然而,目前尚不清楚且难以确定这些关联是否反映了因果关系。我们评估了肠道微生物群和男性生育能力的全基因组关联研究汇总统计数据,以进行孟德尔随机化(MR)分析。与211种肠道细菌分类群(N = 122,110)密切相关的独立单核苷酸多态性被确定为工具变量。男性不育(N = 733,479)、精子异常(N = 209,921)和勃起功能障碍(N = 223,805)的汇总统计数据来自芬兰基因联盟的最新发布数据,作为感兴趣的结果。采用两样本MR来评估肠道微生物群对男性生育能力的因果效应,包括逆方差加权(IVW)法、加权中位数法、MR-Egger法、基于模式的估计法和MR-PRESSO法。进行了一系列敏感性分析以验证结果的稳健性。通过一系列敏感性分析来测试估计的稳健性,包括 Cochr an's Q检验、MR-Egger截距分析、留一法分析,并使用漏斗图来评估因果关联。结合发现阶段和重复验证阶段的结果,我们确定了3个具有因果关系的细菌属。发现瘤胃梭菌属6(OR = 0.537,95%CI = 0.292 - 0.987,P = 0.045,PFDR = 0.234)与男性不育密切相关,其数量减少会增加男性不育的风险。发现普雷沃氏菌属9数量减少(OR = 0.670,95%CI = 0.452 - 0.992,P = 0.046,PFDR = 0.175)与精子异常密切相关。发现毛螺菌科NC2004组(OR = 1.173,95%CI = 1.008 - 1.366,P = 0.078,PFDR = 0.530)与男性勃起功能障碍密切相关,且二者呈正相关。未检测到异质性和多效性。本研究暗示了瘤胃梭菌属6、普雷沃氏菌属9、毛螺菌科NC2004组与男性生育能力之间的因果关系,从而为肠道微生物群介导的雄激素缺乏症(ADs)的发病机制提供了新的见解。然而,未来的研究有必要剖析特定细菌分类群在男性生育能力病理生理学中作用的潜在机制。

https://cdn.ncbi.nlm.nih.gov/pmc/blobs/4c0e/11857013/b77f040abda1/medi-104-e41542-g001.jpg

文献AI研究员

20分钟写一篇综述,助力文献阅读效率提升50倍。

立即体验

用中文搜PubMed

大模型驱动的PubMed中文搜索引擎

马上搜索

文档翻译

学术文献翻译模型,支持多种主流文档格式。

立即体验