Suppr超能文献

丙戊酸盐诱导的自闭症谱系障碍大鼠模型中条件性味觉厌恶习得受损的神经分子基础

Neuromolecular Basis of Impaired Conditioned Taste Aversion Acquisition in Valproate-Induced Rat Model of Autism Spectrum Disorder.

作者信息

Pal Tapasya, Harvey Savannah, Levine Allen S, Olszewski Pawel K, Klockars Anica

机构信息

School of Science, University of Waikato, Hamilton 3216, New Zealand.

Department of Food Science and Nutrition, University of Minnesota, St. Paul, MN 55455, USA.

出版信息

Genes (Basel). 2025 Feb 7;16(2):203. doi: 10.3390/genes16020203.

Abstract

BACKGROUND/OBJECTIVES: Autism spectrum disorder (ASD), defined by social, behavioral, and cognitive anomalies, is also associated with dysregulated appetite. ASD individuals, often described as "picky eaters", exhibit restricted dietary preferences and a pronounced avoidance of novel foods. This suggests that the perceived safety of specific tastants may be a crucial determinant of dietary acceptance in ASD. Here, we explore the hypothesis that conditioned taste aversion (CTA), a learned avoidance of foods whose intake promotes sickness, is exacerbated in ASD.

METHODS

We assessed the magnitude of a lithium chloride (LiCl)-induced CTA in the valproic acid (VPA) rat model of autism versus in healthy control rats. We also examined the effect of a standard 3 mEq LiCl dose on transcript and neuronal activation changes in brain circuits mediating feeding behavior and associative learning.

RESULTS

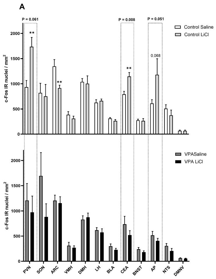
Surprisingly, we found that while 3 mEq LiCl induced CTA in healthy controls, even the 6 mEq dose was ineffective in generating aversion in VPA rats. LiCl at 3 mEq affected c-Fos immunoreactivity in the hypothalamus and amygdala in controls, whereas in VPA rats it did not produce any c-Fos changes. Gene expression analysis of feeding-related genes (AgRP, NPY, OXT) and those involved in regulating stress and anxiety (DOR and MC3R) were differentially regulated in the VPA rats. Interestingly, transcripts for COMT1, AgRP, OXT, and MC3R were downregulated in saline-treated VPA rats compared to saline-treated controls.

CONCLUSIONS

We conclude that VPA rats show blunted CTA responsiveness, which is reflected by a differential impact of LiCl on circuits that promote the acquisition of CTA in healthy versus autistic individuals.

摘要

背景/目的:自闭症谱系障碍(ASD)由社交、行为和认知异常所定义,还与食欲失调有关。ASD患者常被描述为“挑食者”,表现出饮食偏好受限且明显回避新食物。这表明特定味觉物质的感知安全性可能是ASD患者饮食接受度的关键决定因素。在此,我们探讨这样一种假设,即条件性味觉厌恶(CTA),一种对摄入后会引发疾病的食物的习得性回避,在ASD中会加剧。

方法

我们评估了在自闭症丙戊酸(VPA)大鼠模型与健康对照大鼠中,氯化锂(LiCl)诱导的CTA的程度。我们还研究了标准3 mEq LiCl剂量对介导进食行为和联想学习的脑回路中基因转录和神经元激活变化的影响。

结果

令人惊讶的是,我们发现虽然3 mEq LiCl在健康对照中诱导了CTA,但即使6 mEq剂量也无法在VPA大鼠中产生厌恶反应。3 mEq的LiCl影响了对照大鼠下丘脑和杏仁核中的c-Fos免疫反应性,而在VPA大鼠中它并未引起任何c-Fos变化。在VPA大鼠中,与进食相关的基因(AgRP、NPY、OXT)以及参与调节应激和焦虑的基因(DOR和MC3R)的基因表达分析受到不同程度的调节。有趣的是,与盐水处理的对照相比,盐水处理的VPA大鼠中COMT1、AgRP、OXT和MC3R的转录本下调。

结论

我们得出结论,VPA大鼠表现出CTA反应迟钝,这反映在LiCl对促进健康个体与自闭症个体获得CTA的脑回路的不同影响上。

https://cdn.ncbi.nlm.nih.gov/pmc/blobs/ada8/11855024/3df1a4d5e638/genes-16-00203-g001.jpg

文献AI研究员

20分钟写一篇综述,助力文献阅读效率提升50倍。

立即体验

用中文搜PubMed

大模型驱动的PubMed中文搜索引擎

马上搜索

文档翻译

学术文献翻译模型,支持多种主流文档格式。

立即体验