Alyami Mohammad H, Alyami Hamad S, Abdo Asmaa M, A Sabry Shereen, Mansour Shimaa M G, El-Nahas Hanan M, Ayoub Margrit M
Department of Pharmaceutics, College of Pharmacy, Najran University, Najran 66462, Saudi Arabia.
Department of Pharmaceutics, Faculty of Pharmacy, Zagazig University, Zagazig 44519, Egypt.
Pharmaceutics. 2025 Jan 25;17(2):165. doi: 10.3390/pharmaceutics17020165.
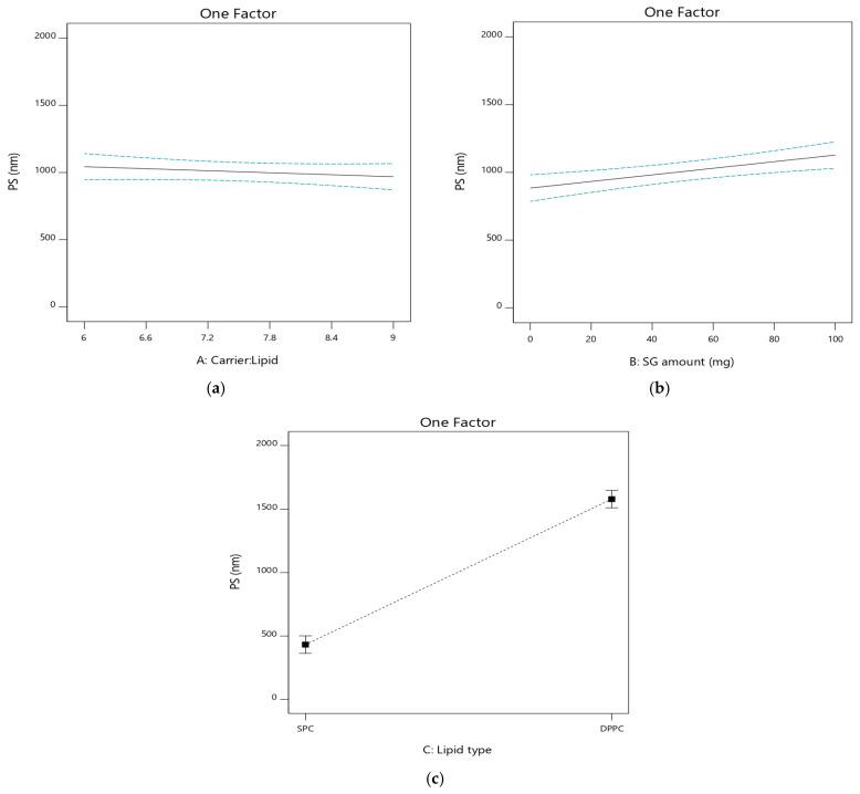
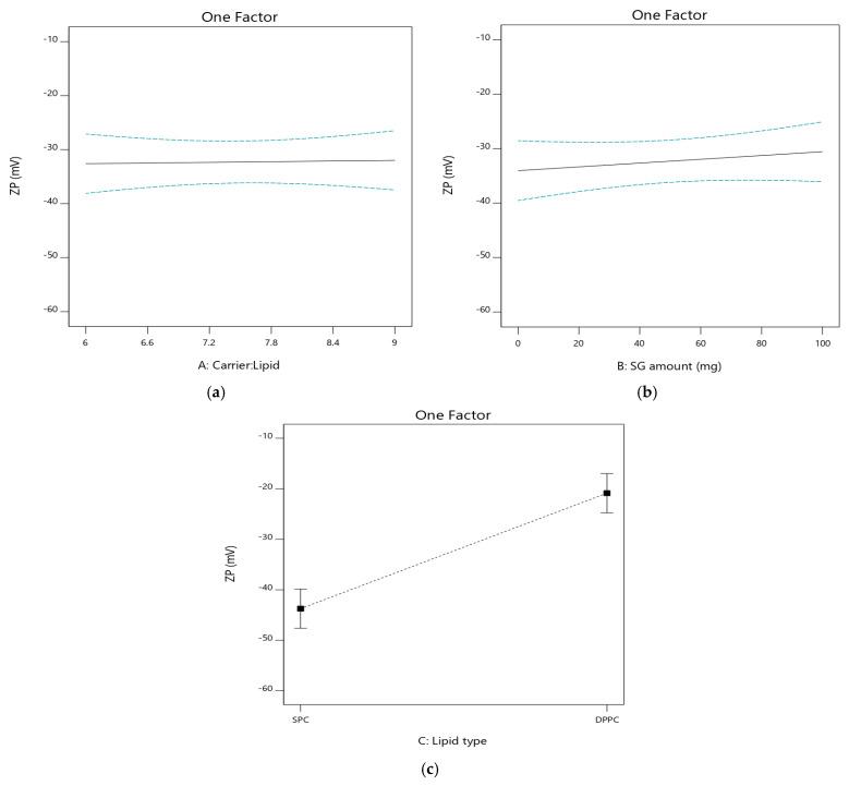
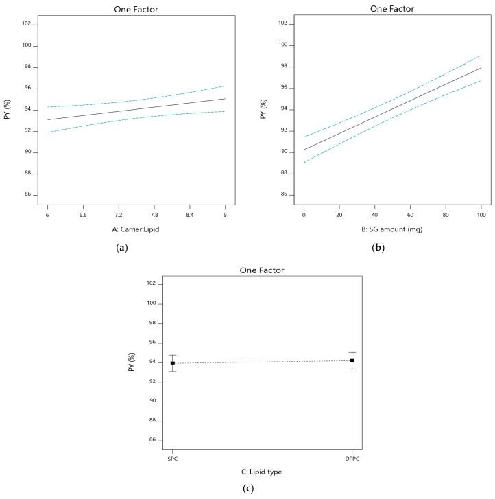
: Infectious bronchitis virus (IBV) causes a significant illness in birds, making it a leading source of financial loss in the poultry business. The objective of this study was to assess the effectiveness of proliposomes (PLs) containing ivermectin (IVM) against IBV using embryonated chicken eggs (ECEs). : A three-factor, two-level (2) full factorial design was employed; carrier/lipid phase ratio (A), stearyl glycyrrhetinate amount (B), and phospholipid type (C) were studied as independent variables, while product yield (PY), entrapment efficiency (EE), particle size (PS), polydispersity index (PDI), zeta potential (ZP), and cumulative percentage of drug released after 6 h (Q6h) were characterized. The selected formulations (PL2 and PL6) were subjected to further characterizations, including IVM toxicity and anti-viral activity. : The PY% ranged from 88.6 ± 2.19% to 98.8 ± 0.45%, EE% was from 71.8 ± 2.01% to 96.1 ± 0.51%, PS was from 330.1 ± 55.65 nm to 1801.6 ± 45.61 nm, PDI was from 0.205 ± 0.06 to 0.603 ± 0.03, ZP was from -18.2 ± 0.60 mV to -50.1 ± 1.80 mV, and Q6h was from 80.95 ± 1.36% to 88.79 ± 2.03%. IVM-loaded PLs had lower toxicity in ECEs than pure IVM; the mortality rate was substantially reduced in IBV-infected ECEs injected with PL2 rather than pure IVM. As further evidence of IVM's anti-viral action against IBV, quantitative real-time polymerase chain reaction (qRT-PCR) revealed that the PL2-treated group exhibited further reduction in IBV's copies in comparison with the pure IVM-treated group. : PLs loaded with IVM are an innovative and potentially effective way to inhibit IBV.
传染性支气管炎病毒(IBV)可引发禽类的严重疾病,是家禽养殖业经济损失的主要来源。本研究的目的是利用鸡胚(ECE)评估含伊维菌素(IVM)的前体脂质体(PLs)对IBV的有效性。
采用三因素两水平(2³)全因子设计;研究载体/脂质相比(A)、甘草次酸硬脂酯含量(B)和磷脂类型(C)作为自变量,同时对产品收率(PY)、包封率(EE)、粒径(PS)、多分散指数(PDI)、zeta电位(ZP)以及6小时后药物累积释放百分比(Q6h)进行表征。对所选制剂(PL2和PL6)进行进一步表征,包括IVM毒性和抗病毒活性。
PY%范围为88.6±2.19%至98.8±0.45%,EE%为71.8±2.01%至96.1±0.51%,PS为330.1±55.65nm至1801.6±45.61nm,PDI为0.205±0.06至0.603±0.03,ZP为-18.2±0.60mV至-50.1±1.80mV,Q6h为80.95±1.36%至88.79±2.03%。载有IVM的PLs在ECEs中的毒性低于纯IVM;注射PL2而非纯IVM的IBV感染ECEs的死亡率大幅降低。作为IVM对IBV抗病毒作用的进一步证据,定量实时聚合酶链反应(qRT-PCR)显示,与纯IVM治疗组相比,PL2治疗组的IBV拷贝数进一步减少。
载有IVM的PLs是抑制IBV的一种创新且可能有效的方法。