Suppr超能文献

本体相组成对生物医学Ti-6Al-4V合金上PEO涂层生长的影响

Effect of Bulk Phase Composition on the Growth of PEO Coatings on the Biomedical Ti-6Al-4V Alloy.

作者信息

Neto José Roberto Ferreira, Ribeiro Rafael Parra, Cruz Nilson Cristino da, Rangel Elidiane Cipriano, Pinto Bruna de Oliveira, Torrento Jhuliene Elen Muro, Grandini Carlos Roberto, Kaneko Ulisses Ferreira, Correa Diego Rafael Nespeque

机构信息

Laboratory of Technological Plasma, Institute of Science and Technology, Campus Sorocaba, São Paulo State University (UNESP), Sorocaba 18087-180, SP, Brazil.

Laboratory of Anelasticity and Biomaterials, School of Sciences, Campus Bauru, São Paulo State University (UNESP), Bauru 17033-360, SP, Brazil.

出版信息

Materials (Basel). 2025 Feb 21;18(5):955. doi: 10.3390/ma18050955.

Abstract

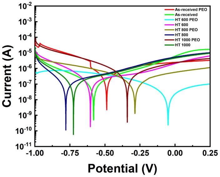
This study investigated the effects of plasma electrolytic oxidation (PEO) treatment in a Ca- and P-rich electrolyte on the surface of the Ti-6Al-4V alloy with distinct α/β phase proportions previously induced by heat treatments. The results revealed that the α/β phase proportions were successfully altered by the heat treatment temperatures, forming α phase plates surrounded by β phase precipitates. PEO-treated samples exhibited a thick and microsized porous TiO coating in the anatase and rutile crystalline forms. The oxide layer was depleted by Al and V atoms, while Ca and P were gradually enriched along the coatings. Chemical analysis also indicated the absorption of water and organic molecules into the outer layer. PEO-treated samples had microscale roughness and thickness, hydrophilic behavior, and surface energy mainly formed by the dispersive component. The bulk's elastic modulus decreased with β phase precipitation, while the alloying elements directly influenced the Vickers microhardness. The corrosion tests indicated a stable and protective layer in the PEO-treated samples, showing better corrosion resistance than untreated ones. Overall, the findings indicated that the α and β phase proportion significantly impacts the mechanical properties, while the PEO treatment acts in the corrosion protection and surface aspects, suggesting that combining both approaches could be a powerful tool in biomedical applications.

摘要

本研究调查了在富含钙和磷的电解液中进行等离子体电解氧化(PEO)处理对先前通过热处理诱导出具有不同α/β相比例的Ti-6Al-4V合金表面的影响。结果表明,热处理温度成功改变了α/β相比例,形成了被β相沉淀物包围的α相板。经PEO处理的样品呈现出由锐钛矿和金红石晶体形式构成的厚且微米级的多孔TiO涂层。氧化层中铝和钒原子减少,而钙和磷沿涂层逐渐富集。化学分析还表明外层吸收了水和有机分子。经PEO处理的样品具有微观粗糙度和厚度、亲水性行为以及主要由分散成分形成的表面能。基体的弹性模量随β相沉淀而降低,而合金元素直接影响维氏显微硬度。腐蚀试验表明经PEO处理的样品中有一层稳定的保护层,显示出比未处理样品更好的耐腐蚀性。总体而言,研究结果表明α相和β相比例显著影响机械性能,而PEO处理在腐蚀防护和表面方面发挥作用,这表明将这两种方法结合起来可能是生物医学应用中的一种有力工具。

https://cdn.ncbi.nlm.nih.gov/pmc/blobs/d282/11901143/9902aedcbdb2/materials-18-00955-g001.jpg

文献AI研究员

20分钟写一篇综述,助力文献阅读效率提升50倍。

立即体验

用中文搜PubMed

大模型驱动的PubMed中文搜索引擎

马上搜索

文档翻译

学术文献翻译模型,支持多种主流文档格式。

立即体验