Suppr超能文献

四轮驱动电动汽车针对一个或多个轮毂电机故障的容错协同控制

Fault-Tolerant Collaborative Control of Four-Wheel-Drive Electric Vehicle for One or More In-Wheel Motors' Faults.

作者信息

Feng Han, Tao Yukun, Feng Jianbo, Zhang Yule, Xue Hongtao, Wang Tiansi, Xu Xing, Chen Peng

机构信息

School of Automotive and Traffic Engineering, Jiangsu University, Zhenjiang 212013, China.

International Joint Laboratory on Mobility Equipment and Artificial Intelligence for IT Operations, Zhenjiang 212000, China.

出版信息

Sensors (Basel). 2025 Mar 1;25(5):1540. doi: 10.3390/s25051540.

Abstract

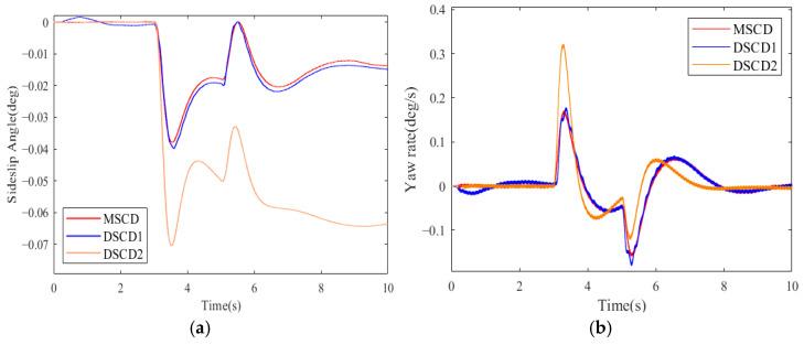
A fault-tolerant collaborative control strategy for four-wheel-drive electric vehicles is proposed to address hidden safety issues caused by one or more in-wheel motor faults; the basic design scheme is that the control system is divided into two layers of motion tracking and torque distribution, and three systems, including driving, braking, and front-wheel steering are controlled collaboratively for four-wheel torque distribution. In the layer of motion tracking, a vehicle model with two-degree-of-freedom is employed to predict the control reference values of the longitudinal force and additional yaw moment required; four types of sensors, such as wheel speed, acceleration, gyroscope, and steering wheel angle, are used to calculate the actual values. At the torque distribution layer, SSOD and MSCD distribution schemes are designed to cope with two operating conditions, namely sufficient and insufficient output capacity after local hub motor failure, respectively, focusing on the objective function, constraints, and control variables of the MSCD control strategy. Finally, two operating environments, a straight-line track, and a DLC track, are set up to verify the effectiveness of the proposed control method. The results indicate that, compared with traditional methods, the average errors of the center of mass sideslip angle and yaw rate are reduced by at least 12.9% and 5.88%, respectively, in the straight-line track environment. In the DLC track environment, the average errors of the center of mass sideslip angle and yaw rate are reduced by at least 6% and 4.5%, respectively. The proposed fault-tolerant controller ensures that the four-wheel-drive electric vehicle meets the requirements of handling stability and safety under one or more hub motor failure conditions.

摘要

提出了一种用于四轮驱动电动汽车的容错协同控制策略,以解决由一个或多个轮毂电机故障引起的潜在安全问题;基本设计方案是将控制系统分为运动跟踪和转矩分配两层,并对驱动、制动和前轮转向三个系统进行协同控制以实现四轮转矩分配。在运动跟踪层,采用二自由度车辆模型来预测所需纵向力和附加横摆力矩的控制参考值;使用轮速、加速度、陀螺仪和方向盘角度等四种传感器来计算实际值。在转矩分配层,设计了SSOD和MSCD分配方案,分别应对局部轮毂电机故障后输出能力充足和不足两种工况,重点关注MSCD控制策略的目标函数、约束条件和控制变量。最后,设置了直线轨道和DLC轨道两种运行环境来验证所提控制方法的有效性。结果表明,与传统方法相比,在直线轨道环境中,质心侧偏角和横摆率的平均误差分别至少降低了12.9%和5.88%。在DLC轨道环境中,质心侧偏角和横摆率的平均误差分别至少降低了6%和4.5%。所提容错控制器确保四轮驱动电动汽车在一个或多个轮毂电机故障工况下满足操纵稳定性和安全性要求。

https://cdn.ncbi.nlm.nih.gov/pmc/blobs/bb89/11902448/a66638b40de2/sensors-25-01540-g001.jpg

文献AI研究员

20分钟写一篇综述,助力文献阅读效率提升50倍。

立即体验

用中文搜PubMed

大模型驱动的PubMed中文搜索引擎

马上搜索

文档翻译

学术文献翻译模型,支持多种主流文档格式。

立即体验