• 文献检索
  • 文档翻译
  • 深度研究
  • 学术资讯
  • Suppr Zotero 插件Zotero 插件
  • 邀请有礼
  • 套餐&价格
  • 历史记录
应用&插件
Suppr Zotero 插件Zotero 插件浏览器插件Mac 客户端Windows 客户端微信小程序
定价
高级版会员购买积分包购买API积分包
服务
文献检索文档翻译深度研究API 文档MCP 服务
关于我们
关于 Suppr公司介绍联系我们用户协议隐私条款
关注我们

Suppr 超能文献

核心技术专利:CN118964589B侵权必究
粤ICP备2023148730 号-1Suppr @ 2026

文献检索

告别复杂PubMed语法,用中文像聊天一样搜索,搜遍4000万医学文献。AI智能推荐,让科研检索更轻松。

立即免费搜索

文件翻译

保留排版,准确专业,支持PDF/Word/PPT等文件格式,支持 12+语言互译。

免费翻译文档

深度研究

AI帮你快速写综述,25分钟生成高质量综述,智能提取关键信息,辅助科研写作。

立即免费体验

埃塞俄比亚医疗服务提供者中非药物性分娩疼痛管理的应用及相关因素:一项系统评价和荟萃分析

Utilization of nonpharmacological labor pain management and associated factors among healthcare providers in Ethiopia: a systematic review and meta-analysis.

作者信息

Zeleke Agerie Mengistie, Gonete Yosef Aragaw, Tassew Worku Chekol, Ferede Yeshiwas Ayale

机构信息

Department of Midwifery, Debark University College of Health Science, Debark, Ethiopia.

Department of Nursing, Tedda Health Science College, Gondar, Ethiopia.

出版信息

BMC Pregnancy Childbirth. 2025 Mar 18;25(1):309. doi: 10.1186/s12884-025-07417-2.

DOI:10.1186/s12884-025-07417-2
PMID:40102817
原文链接:https://pmc.ncbi.nlm.nih.gov/articles/PMC11917107/
Abstract

BACKGROUND

Health outcomes are a global priority, and the use of nonpharmacological methods for labor pain relief is recommended to improve these outcomes. However, there is a lack of a review regarding on the utilization of nonpharmacological labor pain management.

OBJECTIVES

this study aimed to assess the pooled utilization of nonpharmacological labor pain management and the associated factors among healthcare providers in Ethiopia.

METHODS

The Preferred Reporting Items for Systematic Reviews and Meta-Analyses (PRISMA) guidelines were followed for this review. A total of 2837 articles were retrieved from international databases, including Scopus, PubMed, Web of Science, Science Direct, and National Digital Library repositories. The search for articles was conducted from February 1, 2024, to February 30, 2024. To assess the methodological quality Newcastle Ottawa Scale was utilized. Data extraction was performed using Excel, and the analysis was conducted with Stata 11 software.The effect size measurement utilization of nonpharmacological labor pain management was estimated using the Random Effect Mode. The Cochran's Q test and I statistic were used to assess the heterogeneity of studies. The symmetry of the funnel plot and Egger's test were used to check for publication bias.

RESULTS

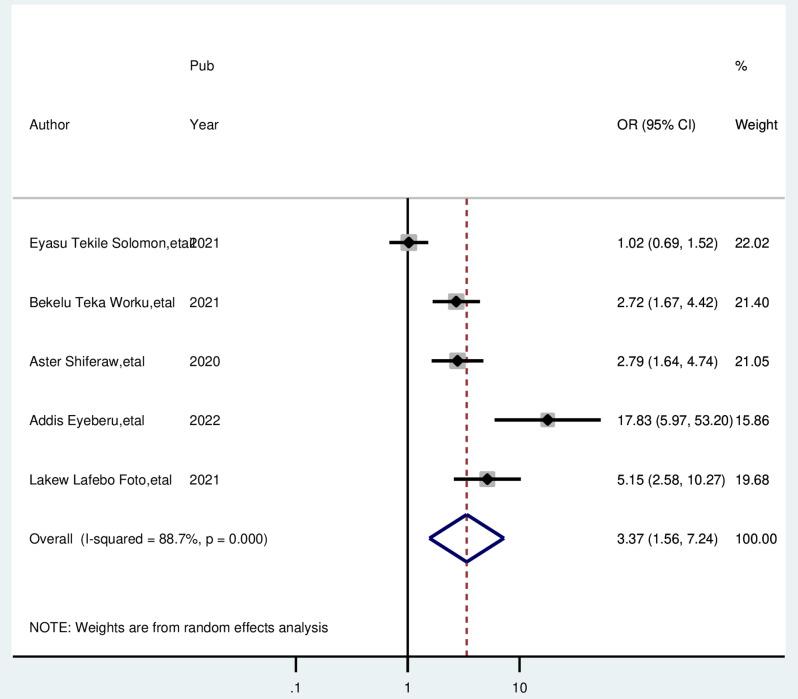
Fourteen studies met the eligibility criteria with a total sample size of 4,821. The overall pooled utilization of nonpharmacological labor pain management among healthcare provider was 45.48% (95% CI: 35.74-55.22). Healthcare providers aged 20-29 years (AOR: 4.10; 95% CI: 1.79-9.39), those having with knowledge about nonpharmacological pain management (AOR: 3.11; 95% CI: 1.88-5.16), and those who allowed companions to support laboring mothers (AOR: 3.37; 95% CI: 1.56-7.24) were determinants of outcome variables.

CONCLUSION

Over half of Ethiopian healthcare providers did not use nonpharmacological pain management during childbirth. Key factors healthcare providers aged 20-29, those with adequate knowledge, and healthcare providers' ability who allowed companions to enter labor ward to support laboring mothers. Providing updated in-service training programs for older healthcare providers are recommended to utilize nonpharmacological pain management techniques. Policymakers should also create clear understand about obstetric guidelines to promote pain management during childbirth.

摘要

背景

健康结果是全球关注的重点,建议使用非药物方法缓解分娩疼痛以改善这些结果。然而,目前缺乏关于非药物分娩疼痛管理利用情况的综述。

目的

本研究旨在评估埃塞俄比亚医疗服务提供者中非药物分娩疼痛管理的综合利用情况及相关因素。

方法

本综述遵循系统评价和Meta分析的首选报告项目(PRISMA)指南。从国际数据库中检索到2837篇文章,包括Scopus、PubMed、科学网、科学Direct和国家数字图书馆存储库。文章检索时间为2024年2月1日至2024年2月30日。使用纽卡斯尔渥太华量表评估方法学质量。使用Excel进行数据提取,并使用Stata 11软件进行分析。使用随机效应模型估计非药物分娩疼痛管理的效应量利用率。使用Cochran's Q检验和I统计量评估研究的异质性。使用漏斗图的对称性和Egger检验检查发表偏倚。

结果

14项研究符合纳入标准,总样本量为4821。医疗服务提供者中非药物分娩疼痛管理的总体综合利用率为45.48%(95%置信区间: 35.74 - 55.22)。年龄在20 - 29岁的医疗服务提供者(比值比:4.10;95%置信区间:1.79 - 9.39)、了解非药物疼痛管理的人(比值比:3.11;95%置信区间:1.88 - 5.16)以及允许陪伴人员支持分娩母亲的人(比值比:3.37;95%置信区间:1.56 - 7.24)是结果变量的决定因素。

结论

超过一半的埃塞俄比亚医疗服务提供者在分娩期间未使用非药物疼痛管理。关键因素包括年龄在20 - 29岁的医疗服务提供者、知识充足的人以及允许陪伴人员进入产房支持分娩母亲的医疗服务提供者的能力。建议为年长的医疗服务提供者提供更新的在职培训项目,以利用非药物疼痛管理技术。政策制定者还应明确产科指南,以促进分娩期间的疼痛管理。

https://cdn.ncbi.nlm.nih.gov/pmc/blobs/0280/11917107/713a05df5107/12884_2025_7417_Fig9_HTML.jpg
https://cdn.ncbi.nlm.nih.gov/pmc/blobs/0280/11917107/62da4a2381a1/12884_2025_7417_Fig1_HTML.jpg
https://cdn.ncbi.nlm.nih.gov/pmc/blobs/0280/11917107/e96f410416f9/12884_2025_7417_Fig2_HTML.jpg
https://cdn.ncbi.nlm.nih.gov/pmc/blobs/0280/11917107/2a18e704c9f7/12884_2025_7417_Fig3_HTML.jpg
https://cdn.ncbi.nlm.nih.gov/pmc/blobs/0280/11917107/5f8b0dae508a/12884_2025_7417_Fig4_HTML.jpg
https://cdn.ncbi.nlm.nih.gov/pmc/blobs/0280/11917107/e1003f6cc4a9/12884_2025_7417_Fig5_HTML.jpg
https://cdn.ncbi.nlm.nih.gov/pmc/blobs/0280/11917107/1b9478882beb/12884_2025_7417_Fig6_HTML.jpg
https://cdn.ncbi.nlm.nih.gov/pmc/blobs/0280/11917107/393c617abbaa/12884_2025_7417_Fig7_HTML.jpg
https://cdn.ncbi.nlm.nih.gov/pmc/blobs/0280/11917107/729a94cba525/12884_2025_7417_Fig8_HTML.jpg
https://cdn.ncbi.nlm.nih.gov/pmc/blobs/0280/11917107/713a05df5107/12884_2025_7417_Fig9_HTML.jpg
https://cdn.ncbi.nlm.nih.gov/pmc/blobs/0280/11917107/62da4a2381a1/12884_2025_7417_Fig1_HTML.jpg
https://cdn.ncbi.nlm.nih.gov/pmc/blobs/0280/11917107/e96f410416f9/12884_2025_7417_Fig2_HTML.jpg
https://cdn.ncbi.nlm.nih.gov/pmc/blobs/0280/11917107/2a18e704c9f7/12884_2025_7417_Fig3_HTML.jpg
https://cdn.ncbi.nlm.nih.gov/pmc/blobs/0280/11917107/5f8b0dae508a/12884_2025_7417_Fig4_HTML.jpg
https://cdn.ncbi.nlm.nih.gov/pmc/blobs/0280/11917107/e1003f6cc4a9/12884_2025_7417_Fig5_HTML.jpg
https://cdn.ncbi.nlm.nih.gov/pmc/blobs/0280/11917107/1b9478882beb/12884_2025_7417_Fig6_HTML.jpg
https://cdn.ncbi.nlm.nih.gov/pmc/blobs/0280/11917107/393c617abbaa/12884_2025_7417_Fig7_HTML.jpg
https://cdn.ncbi.nlm.nih.gov/pmc/blobs/0280/11917107/729a94cba525/12884_2025_7417_Fig8_HTML.jpg
https://cdn.ncbi.nlm.nih.gov/pmc/blobs/0280/11917107/713a05df5107/12884_2025_7417_Fig9_HTML.jpg

相似文献

1
Utilization of nonpharmacological labor pain management and associated factors among healthcare providers in Ethiopia: a systematic review and meta-analysis.埃塞俄比亚医疗服务提供者中非药物性分娩疼痛管理的应用及相关因素:一项系统评价和荟萃分析
BMC Pregnancy Childbirth. 2025 Mar 18;25(1):309. doi: 10.1186/s12884-025-07417-2.
2
Practice of pharmacological labor pain management and associated factors among healthcare providers in Ethiopia: a systematic review and meta-analysis.埃塞俄比亚医疗服务提供者的药物性分娩疼痛管理实践及相关因素:一项系统评价与荟萃分析
AJOG Glob Rep. 2025 Feb 18;5(2):100456. doi: 10.1016/j.xagr.2025.100456. eCollection 2025 May.
3
Labor Pain Management in Ethiopia: A Systematic Review and Meta-Analysis.埃塞俄比亚的分娩疼痛管理:一项系统评价与荟萃分析
Pain Manag Nurs. 2025 Apr;26(2):e184-e193. doi: 10.1016/j.pmn.2024.10.008. Epub 2024 Nov 26.
4
Healthcare providers' pain management practice and its associated factors in Ethiopia: A systematic review and meta- analysis.埃塞俄比亚医疗保健提供者的疼痛管理实践及其相关因素:系统评价和荟萃分析。
PLoS One. 2024 Nov 20;19(11):e0309094. doi: 10.1371/journal.pone.0309094. eCollection 2024.
5
Labor pain management practices and associated factors in Ethiopia: A systematic review and meta-analysis.埃塞俄比亚的分娩疼痛管理实践及相关因素:系统评价和荟萃分析。
Int J Gynaecol Obstet. 2024 Jul;166(1):204-213. doi: 10.1002/ijgo.15276. Epub 2023 Nov 27.
6
Predictors of labor pain management among pregnant women in Ethiopia: A systematic review and meta-analysis.预测埃塞俄比亚孕妇分娩疼痛管理的因素:系统评价和荟萃分析。
Womens Health (Lond). 2024 Jan-Dec;20:17455057241275442. doi: 10.1177/17455057241275442.
7
Folic acid supplementation and malaria susceptibility and severity among people taking antifolate antimalarial drugs in endemic areas.在流行地区,服用抗叶酸抗疟药物的人群中,叶酸补充剂与疟疾易感性和严重程度的关系。
Cochrane Database Syst Rev. 2022 Feb 1;2(2022):CD014217. doi: 10.1002/14651858.CD014217.
8
Nonpharmacological pain relief for labour pain: knowledge, attitude, and barriers among obstetric care providers.分娩疼痛的非药物性疼痛缓解:产科护理人员的知识、态度及障碍
PeerJ. 2024 Feb 2;12:e16862. doi: 10.7717/peerj.16862. eCollection 2024.
9
Knowledge and skills of newborn resuscitation among health care professionals in East Africa. A systematic review and meta-analysis.东非医护人员对新生儿复苏的知识和技能。系统评价和荟萃分析。
PLoS One. 2024 Mar 8;19(3):e0290737. doi: 10.1371/journal.pone.0290737. eCollection 2024.
10
Knowledge and factors associated with active management of the third stage of labor in sub-Saharan Africa: A systematic review and meta-analysis.撒哈拉以南非洲第三产程积极管理的知识和相关因素:系统评价和荟萃分析。
Int J Gynaecol Obstet. 2024 Sep;166(3):943-953. doi: 10.1002/ijgo.15560. Epub 2024 May 3.

本文引用的文献

1
Labor Pain Management in Ethiopia: A Systematic Review and Meta-Analysis.埃塞俄比亚的分娩疼痛管理:一项系统评价与荟萃分析
Pain Manag Nurs. 2025 Apr;26(2):e184-e193. doi: 10.1016/j.pmn.2024.10.008. Epub 2024 Nov 26.
2
Labour pain relief practice by maternal health care providers at a tertiary facility in Kenya: An institution-based descriptive survey.肯尼亚一家三级医疗机构的产妇保健提供者实施的分娩镇痛实践:一项基于机构的描述性调查。
PLoS One. 2024 Mar 7;19(3):e0299211. doi: 10.1371/journal.pone.0299211. eCollection 2024.
3
Non-pharmacological labor pain relive methods: utilization and associated factors among midwives and maternity nurses in Najran, Saudi Arabia.
非药物性分娩镇痛方法:沙特阿拉伯纳季兰的助产士和产科护士的使用情况及相关因素。
Reprod Health. 2024 Jan 24;21(1):11. doi: 10.1186/s12978-023-01737-2.
4
Non-Pharmacological Pain Management in Labor: A Systematic Review.分娩期非药物性疼痛管理:一项系统评价
J Clin Med. 2023 Nov 21;12(23):7203. doi: 10.3390/jcm12237203.
5
Labor pain management practices and associated factors in Ethiopia: A systematic review and meta-analysis.埃塞俄比亚的分娩疼痛管理实践及相关因素:系统评价和荟萃分析。
Int J Gynaecol Obstet. 2024 Jul;166(1):204-213. doi: 10.1002/ijgo.15276. Epub 2023 Nov 27.
6
Non-Pharmacological Pain Management Practice and Associated Factors Among Nurses Working at Comprehensive Specialized Hospitals.综合专科医院护士的非药物疼痛管理实践及相关因素
SAGE Open Nurs. 2023 Feb 20;9:23779608231158979. doi: 10.1177/23779608231158979. eCollection 2023 Jan-Dec.
7
Utilization of labor pain management methods and associated factors among obstetric care givers at public health institutions of East Gojjam Zone, Amhara region, Ethiopia, 2020: a facility based cross - sectional study.利用劳动疼痛管理方法及相关因素在东戈贾姆区公共卫生机构的产科医护人员,阿姆哈拉地区,埃塞俄比亚,2020:基于设施的横断面研究。
BMC Pregnancy Childbirth. 2022 Nov 1;22(1):803. doi: 10.1186/s12884-022-05094-z.
8
The barriers to offering non-pharmacological pain management as an initial option for laboring women: A review of the literature.将非药物性疼痛管理作为分娩女性的初始选择所面临的障碍:文献综述
Eur J Midwifery. 2022 Jun 10;6:37. doi: 10.18332/ejm/149244. eCollection 2022.
9
Obstetrics care providers attitude and utilization of non-pharmacological labor pain management in Harari regional state health facilities, Ethiopia.埃塞俄比亚哈拉里州卫生机构中,产科护理提供者对非药物性分娩疼痛管理的态度和利用情况。
BMC Pregnancy Childbirth. 2022 May 4;22(1):389. doi: 10.1186/s12884-022-04717-9.
10
Non-pharmacological labor pain management practice and associated factors among skilled attendants working in public health facilities in Gamo and Gofa zone, Southern Ethiopia: A cross-sectional study.非药物性分娩疼痛管理实践及其在埃塞俄比亚南部 Gamo 和 Gofa 地区公立卫生机构工作的熟练助产士中的相关因素:一项横断面研究。
PLoS One. 2022 Apr 21;17(4):e0266322. doi: 10.1371/journal.pone.0266322. eCollection 2022.