• 文献检索
  • 文档翻译
  • 深度研究
  • 学术资讯
  • Suppr Zotero 插件Zotero 插件
  • 邀请有礼
  • 套餐&价格
  • 历史记录
应用&插件
Suppr Zotero 插件Zotero 插件浏览器插件Mac 客户端Windows 客户端微信小程序
定价
高级版会员购买积分包购买API积分包
服务
文献检索文档翻译深度研究API 文档MCP 服务
关于我们
关于 Suppr公司介绍联系我们用户协议隐私条款
关注我们

Suppr 超能文献

核心技术专利:CN118964589B侵权必究
粤ICP备2023148730 号-1Suppr @ 2026

文献检索

告别复杂PubMed语法,用中文像聊天一样搜索,搜遍4000万医学文献。AI智能推荐,让科研检索更轻松。

立即免费搜索

文件翻译

保留排版,准确专业,支持PDF/Word/PPT等文件格式,支持 12+语言互译。

免费翻译文档

深度研究

AI帮你快速写综述,25分钟生成高质量综述,智能提取关键信息,辅助科研写作。

立即免费体验

早期帕金森病伴睡眠障碍患者的临床特征、血浆神经递质水平及血浆神经激素水平

Clinical features, plasma neurotransmitter levels and plasma neurohormone levels among patients with early-stage Parkinson's disease with sleep disorders.

作者信息

Ma Cui-Hong, Ren Ning, Xu Jing, Chen Lei

机构信息

Department of Neurology, Huanhu Hospital Affiliated to Tianjin Medical University, 6 Jizhao Road, Jinnan District, Tianjin, 300350, China.

Department of Neurology, Chengde Central Hospital, Chengde, 067000, China.

出版信息

Cell Commun Signal. 2025 Mar 18;23(1):144. doi: 10.1186/s12964-025-02153-8.

DOI:10.1186/s12964-025-02153-8
PMID:40102888
原文链接:https://pmc.ncbi.nlm.nih.gov/articles/PMC11921563/
Abstract

BACKGROUND

Sleep disorders occur frequently among patients with Parkinson's disease (PD). Neurotransmitters and neurosteroids are known to be involved in various neurophysiological processes, including sleep development. We aimed to assess the associations of peripheral neurotransmitter and neurosteroid levels with various sleep disorders in early-stage PD.

METHODS

Fifty-nine patients with early-stage PD and 30 healthy controls were enrolled. Demographic and clinical data were collected, and sleep conditions were comprehensively assessed with clinical questionnaires and polysomnography. Blood samples were obtained from all participants at 1:00 AM and 9:00 AM. The concentrations of plasma neurotransmitters and neurohormones were detected via high-performance liquid chromatography tandem mass spectrometry.

RESULTS

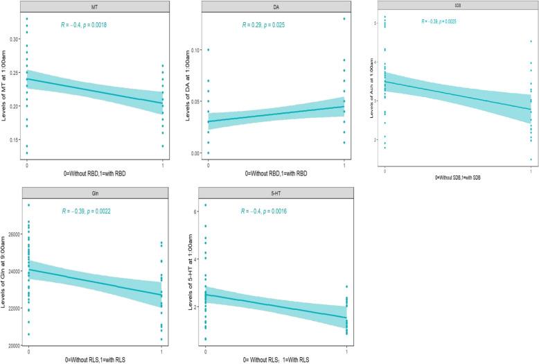
Sleep disorders were common nonmotor symptoms (81.4%) and coexisted in approximately half of the patients. Dysautonomia was significantly associated with the presence of multiple sleep disorders. RBD was associated with dysautonomia and was negatively correlated with the plasma melatonin concentration at 1:00 AM (r = - 0.40, p = 0.002) in early-stage PD patients. The RLS group had higher PSQI scores, and RLS was negatively associated with the 5-hydroxytryptamine levels (r = - 0.40, p = 0.002) at 1:00 AM and glutamine levels (r = - 0.39, p = 0.002) at 9:00 AM. SDB was associated with cognitive impairment, a greater body mass index, and lower plasma acetylcholine concentrations at 1:00 AM.

CONCLUSION

Combined sleep disturbances are common in early-stage PD. Dysautonomia is closely related to various sleep disorders, including RBD, EDS, and insomnia. Changes in peripheral neurotransmitter and neurohormone levels may be involved in the development of sleep disorders.

摘要

背景

睡眠障碍在帕金森病(PD)患者中频繁出现。已知神经递质和神经甾体参与包括睡眠发育在内的各种神经生理过程。我们旨在评估外周神经递质和神经甾体水平与早期PD各种睡眠障碍之间的关联。

方法

纳入59例早期PD患者和30名健康对照者。收集人口统计学和临床数据,并通过临床问卷和多导睡眠图对睡眠状况进行全面评估。于凌晨1点和上午9点采集所有参与者的血样。通过高效液相色谱串联质谱法检测血浆神经递质和神经激素的浓度。

结果

睡眠障碍是常见的非运动症状(81.4%),约半数患者并存。自主神经功能障碍与多种睡眠障碍的存在显著相关。快速眼动睡眠行为障碍(RBD)与自主神经功能障碍相关,且与早期PD患者凌晨1点时的血浆褪黑素浓度呈负相关(r = -0.40,p = 0.002)。不安腿综合征(RLS)组的匹兹堡睡眠质量指数(PSQI)得分更高,且RLS与凌晨1点时的5-羟色胺水平(r = -0.40,p = 0.002)和上午9点时的谷氨酰胺水平(r = -0.39,p = 0.002)呈负相关。睡眠呼吸障碍(SDB)与认知障碍、更高的体重指数以及凌晨1点时更低的血浆乙酰胆碱浓度相关。

结论

合并性睡眠障碍在早期PD中很常见。自主神经功能障碍与包括RBD、日间过度嗜睡(EDS)和失眠在内的各种睡眠障碍密切相关。外周神经递质和神经激素水平的变化可能参与了睡眠障碍的发生发展。

https://cdn.ncbi.nlm.nih.gov/pmc/blobs/4483/11921563/85e972a8457b/12964_2025_2153_Fig3_HTML.jpg
https://cdn.ncbi.nlm.nih.gov/pmc/blobs/4483/11921563/cf5371adf6cb/12964_2025_2153_Fig1_HTML.jpg
https://cdn.ncbi.nlm.nih.gov/pmc/blobs/4483/11921563/b790f2e6e99b/12964_2025_2153_Fig2_HTML.jpg
https://cdn.ncbi.nlm.nih.gov/pmc/blobs/4483/11921563/85e972a8457b/12964_2025_2153_Fig3_HTML.jpg
https://cdn.ncbi.nlm.nih.gov/pmc/blobs/4483/11921563/cf5371adf6cb/12964_2025_2153_Fig1_HTML.jpg
https://cdn.ncbi.nlm.nih.gov/pmc/blobs/4483/11921563/b790f2e6e99b/12964_2025_2153_Fig2_HTML.jpg
https://cdn.ncbi.nlm.nih.gov/pmc/blobs/4483/11921563/85e972a8457b/12964_2025_2153_Fig3_HTML.jpg

相似文献

1
Clinical features, plasma neurotransmitter levels and plasma neurohormone levels among patients with early-stage Parkinson's disease with sleep disorders.早期帕金森病伴睡眠障碍患者的临床特征、血浆神经递质水平及血浆神经激素水平
Cell Commun Signal. 2025 Mar 18;23(1):144. doi: 10.1186/s12964-025-02153-8.
2
Sleep disorders in Parkinson's disease, an early and multiple problem.帕金森病中的睡眠障碍,是一个早期且复杂的问题。
NPJ Parkinsons Dis. 2024 Feb 29;10(1):46. doi: 10.1038/s41531-024-00642-0.
3
Increased plasma orexin-A concentrations are associated with the non-motor symptoms in Parkinson's disease patients.血浆食欲素-A 浓度升高与帕金森病患者的非运动症状有关。
Neurosci Lett. 2021 Jan 10;741:135480. doi: 10.1016/j.neulet.2020.135480. Epub 2020 Nov 5.
4
Association of rapid eye movement sleep behavior disorder with sleep-disordered breathing in Parkinson's disease.帕金森病中快速眼动睡眠行为障碍与睡眠呼吸障碍的关联
Sleep Med. 2016 Apr;20:110-5. doi: 10.1016/j.sleep.2015.12.018. Epub 2016 Jan 27.
5
Sleep disturbances in Parkinson's disease with emphasis on rapid eye movement sleep behavior disorder.帕金森病中的睡眠障碍,重点是快速眼动睡眠行为障碍。
Int J Neurosci. 2012 Aug;122(8):407-12. doi: 10.3109/00207454.2012.677882. Epub 2012 May 11.
6
Pharmacological and Non-pharmacological Treatments of Sleep Disorders in Parkinson's Disease.帕金森病睡眠障碍的药物和非药物治疗。
Curr Neuropharmacol. 2021;19(12):2233-2249. doi: 10.2174/1570159X19666210517115706.
7
Sleep Disorders in Patients with Parkinson's Disease during COVID-19 Pandemic: A Case-Control Study.新冠疫情期间帕金森病患者的睡眠障碍:一项病例对照研究
Ann Indian Acad Neurol. 2022 May-Jun;25(3):394-400. doi: 10.4103/aian.aian_255_22. Epub 2022 Jun 24.
8
Asymmetry of Periodic Leg Movements in Sleep (PLMS) in Parkinson's Disease.帕金森病患者睡眠期周期性腿部运动(PLMS)的不对称性。
J Parkinsons Dis. 2020;10(1):255-266. doi: 10.3233/JPD-191667.
9
Probable rapid eye movement sleep behavior disorder, nocturnal disturbances and quality of life in patients with Parkinson's disease: a case-controlled study using the rapid eye movement sleep behavior disorder screening questionnaire.可能的快速眼动睡眠行为障碍、帕金森病患者的夜间障碍和生活质量:使用快速眼动睡眠行为障碍筛查问卷的病例对照研究。
BMC Neurol. 2013 Feb 9;13:18. doi: 10.1186/1471-2377-13-18.
10
Associations of sleep disorders with serum neurofilament light chain levels in Parkinson's disease.帕金森病患者睡眠障碍与血清神经丝轻链水平的相关性。
BMC Neurol. 2024 May 1;24(1):147. doi: 10.1186/s12883-024-03642-y.

引用本文的文献

1
Multi-cohort machine learning identifies predictors of cognitive impairment in Parkinson's disease.多队列机器学习识别帕金森病认知障碍的预测因素。
NPJ Digit Med. 2025 Jul 26;8(1):482. doi: 10.1038/s41746-025-01862-1.

本文引用的文献

1
Sleep disorders in Parkinson's disease, an early and multiple problem.帕金森病中的睡眠障碍,是一个早期且复杂的问题。
NPJ Parkinsons Dis. 2024 Feb 29;10(1):46. doi: 10.1038/s41531-024-00642-0.
2
α-Synuclein reduces acetylserotonin O-methyltransferase mediated melatonin biosynthesis by microtubule-associated protein 1 light chain 3 beta-related degradation pathway.α-突触核蛋白通过微管相关蛋白1轻链3β相关降解途径降低乙酰血清素O-甲基转移酶介导的褪黑素生物合成。
Cell Mol Life Sci. 2024 Jan 27;81(1):61. doi: 10.1007/s00018-023-05053-7.
3
Levodopa Dose Equivalency in Parkinson's Disease: Updated Systematic Review and Proposals.
帕金森病中的左旋多巴剂量等效:更新的系统评价和建议。
Mov Disord. 2023 Jul;38(7):1236-1252. doi: 10.1002/mds.29410. Epub 2023 May 5.
4
Melatonin and Health: Insights of Melatonin Action, Biological Functions, and Associated Disorders.褪黑素与健康:褪黑素作用、生物学功能及相关疾病的洞察。
Cell Mol Neurobiol. 2023 Aug;43(6):2437-2458. doi: 10.1007/s10571-023-01324-w. Epub 2023 Feb 8.
5
Dysautonomia and REM sleep behavior disorder contributions to progression of Parkinson's disease phenotypes.自主神经功能障碍和快速眼动睡眠行为障碍对帕金森病表型进展的影响。
NPJ Parkinsons Dis. 2022 Aug 30;8(1):110. doi: 10.1038/s41531-022-00373-0.
6
Polysomnographic features of idiopathic restless legs syndrome: a systematic review and meta-analysis of 13 sleep parameters and 23 leg movement parameters.特发性不安腿综合征的多导睡眠图特征:13 项睡眠参数和 23 项腿部运动参数的系统评价和荟萃分析。
J Clin Sleep Med. 2022 Nov 1;18(11):2561-2575. doi: 10.5664/jcsm.10160.
7
Low plasma serotonin linked to higher nigral iron in Parkinson's disease.帕金森病患者血浆中低血清素与黑质铁含量升高有关。
Sci Rep. 2021 Dec 21;11(1):24384. doi: 10.1038/s41598-021-03700-2.
8
Neurogenic orthostatic hypotension in early stage Parkinson's disease: New insights from the first 105 patients of the BoProPark study.早期帕金森病的神经原性直立性低血压:BoProPark 研究前 105 例患者的新见解。
Parkinsonism Relat Disord. 2021 Dec;93:12-18. doi: 10.1016/j.parkreldis.2021.11.002. Epub 2021 Nov 4.
9
Prodromal Parkinson disease subtypes - key to understanding heterogeneity.前驱期帕金森病亚型——理解异质性的关键。
Nat Rev Neurol. 2021 Jun;17(6):349-361. doi: 10.1038/s41582-021-00486-9. Epub 2021 Apr 20.
10
A critical review of the pharmacological treatment of REM sleep behavior disorder in adults: time for more and larger randomized placebo-controlled trials.成人快速眼动睡眠行为障碍的药理学治疗的批判性评价:是时候进行更多和更大的随机安慰剂对照试验了。
J Neurol. 2022 Jan;269(1):125-148. doi: 10.1007/s00415-020-10353-0. Epub 2021 Jan 7.