• 文献检索
  • 文档翻译
  • 深度研究
  • 学术资讯
  • Suppr Zotero 插件Zotero 插件
  • 邀请有礼
  • 套餐&价格
  • 历史记录
应用&插件
Suppr Zotero 插件Zotero 插件浏览器插件Mac 客户端Windows 客户端微信小程序
定价
高级版会员购买积分包购买API积分包
服务
文献检索文档翻译深度研究API 文档MCP 服务
关于我们
关于 Suppr公司介绍联系我们用户协议隐私条款
关注我们

Suppr 超能文献

核心技术专利:CN118964589B侵权必究
粤ICP备2023148730 号-1Suppr @ 2026

文献检索

告别复杂PubMed语法,用中文像聊天一样搜索,搜遍4000万医学文献。AI智能推荐,让科研检索更轻松。

立即免费搜索

文件翻译

保留排版,准确专业,支持PDF/Word/PPT等文件格式,支持 12+语言互译。

免费翻译文档

深度研究

AI帮你快速写综述,25分钟生成高质量综述,智能提取关键信息,辅助科研写作。

立即免费体验

使用移动健康平台进行针对性行为改变沟通以提高坦桑尼亚孕妇对长效驱虫蚊帐的使用率:哈蒂·萨拉马“安全代金券”研究群组随机对照试验

Targeted Behavior Change Communication Using a Mobile Health Platform to Increase Uptake of Long-Lasting Insecticidal Nets Among Pregnant Women in Tanzania: Hati Salama "Secure Voucher" Study Cluster Randomized Controlled Trial.

作者信息

Vey Trinity, Kinnicutt Eleonora, Day Andrew G, West Nicola, Sleeth Jessica, Nchimbi Kenneth Bernard, Yeates Karen

机构信息

Department of Medicine, Queen's University, Kingston, ON, Canada.

Management Sciences for Health, Arlington, VA, United States.

出版信息

J Med Internet Res. 2025 Mar 19;27:e51524. doi: 10.2196/51524.

DOI:10.2196/51524
PMID:40106816
原文链接:https://pmc.ncbi.nlm.nih.gov/articles/PMC11966068/
Abstract

BACKGROUND

Malaria remains a significant cause of maternal and neonate morbidity and mortality in sub-Saharan Africa. Long-lasting insecticidal nets (LLINs) represent an important component of malaria prevention and can decrease the adverse health outcomes associated with malaria infection during pregnancy. Voucher programs have been successfully implemented for a variety of initiatives across sub-Saharan Africa, including the distribution of subsidized LLINs in Tanzania. However, mobile messaging for behavior change communication (BCC), in combination with an e-voucher program, has not been explored for malaria prevention.

OBJECTIVE

This study aimed to assess the efficacy of mobile messaging in increasing the redemption of e-vouchers for LLINs for pregnant women and adolescents in Tanzania.

METHODS

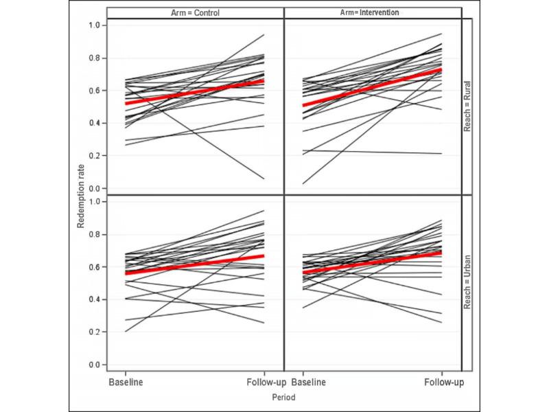
This study was a blinded, 2-arm, cluster randomized controlled trial implemented in 100 antenatal health facilities in Tanzania (both urban and rural settings), with 50 clusters in both intervention and control groups. Clusters were antenatal clinics with e-voucher capabilities, with randomization stratified such that 25 urban and 25 rural clinics were randomized to each arm. Participants were pregnant females aged 13 years or older. Participants in both intervention and control groups were issued e-vouchers on their mobile phones that could be redeemed for LLINs at registered retailers within a 14-day redemption period. Participants in the intervention group received targeted BCC messages about the importance of malaria prevention and LLIN use during pregnancy, while participants in the control group did not receive BCC messages. Analyses were by intention to treat. The primary outcome was the redemption rate of e-vouchers for LLINs from retailers. Outcome measures pertain to clinic sites and individual participant-level data.

RESULTS

The study enrolled 5449 participants; the analysis included 2708 participants in the intervention arm and 2740 participants in the control arm (49 clusters in each group analyzed). There was no significant difference in the raw redemption rate of e-vouchers between pregnant participants in the intervention group (70%) and the control group (67%). Younger participants were less likely to redeem e-vouchers.

CONCLUSIONS

The use of a BCC mobile messaging intervention did not result in a significant increase in LLIN uptake for pregnant individuals. However, the study shows that e-voucher distribution through nurses in antenatal clinics in partnership with local retailers is feasible on a large scale. Consideration of women and adolescents who are low-income and live in rural areas is needed for future interventions leveraging e-vouchers or mHealth technology in low-resource settings.

TRIAL REGISTRATION

ClinicalTrials.gov NCT02561624; https://clinicaltrials.gov/ct2/show/NCT02561624.

https://cdn.ncbi.nlm.nih.gov/pmc/blobs/4108/11966068/0f100964a47b/jmir_v27i1e51524_fig3.jpg
https://cdn.ncbi.nlm.nih.gov/pmc/blobs/4108/11966068/cd10c33364ec/jmir_v27i1e51524_fig1.jpg
https://cdn.ncbi.nlm.nih.gov/pmc/blobs/4108/11966068/f1c8ffe923d2/jmir_v27i1e51524_fig2.jpg
https://cdn.ncbi.nlm.nih.gov/pmc/blobs/4108/11966068/0f100964a47b/jmir_v27i1e51524_fig3.jpg
https://cdn.ncbi.nlm.nih.gov/pmc/blobs/4108/11966068/cd10c33364ec/jmir_v27i1e51524_fig1.jpg
https://cdn.ncbi.nlm.nih.gov/pmc/blobs/4108/11966068/f1c8ffe923d2/jmir_v27i1e51524_fig2.jpg
https://cdn.ncbi.nlm.nih.gov/pmc/blobs/4108/11966068/0f100964a47b/jmir_v27i1e51524_fig3.jpg
摘要

背景

在撒哈拉以南非洲,疟疾仍然是孕产妇和新生儿发病及死亡的重要原因。长效驱虫蚊帐(LLINs)是疟疾预防的重要组成部分,可减少孕期疟疾感染相关的不良健康后果。代金券计划已在撒哈拉以南非洲成功实施了各种举措,包括在坦桑尼亚分发补贴的长效驱虫蚊帐。然而,尚未探索将用于行为改变沟通(BCC)的移动信息与电子代金券计划相结合用于疟疾预防。

目的

本研究旨在评估移动信息在提高坦桑尼亚孕妇和青少年兑换长效驱虫蚊帐电子代金券方面的效果。

方法

本研究是一项在坦桑尼亚100个产前保健机构(包括城市和农村地区)实施的双盲、双臂、整群随机对照试验,干预组和对照组各有50个整群。整群为具备电子代金券功能的产前诊所,随机分组分层,使25个城市诊所和25个农村诊所随机分配到每组。参与者为年龄13岁及以上的怀孕女性。干预组和对照组的参与者都在其手机上收到可在14天兑换期内在注册零售商处兑换长效驱虫蚊帐的电子代金券。干预组的参与者收到关于孕期疟疾预防和使用长效驱虫蚊帐重要性的定向行为改变沟通信息,而对照组的参与者未收到行为改变沟通信息。分析采用意向性分析。主要结局是零售商处长效驱虫蚊帐电子代金券的兑换率。结局指标涉及诊所层面和个体参与者层面的数据。

结果

该研究招募了5449名参与者;分析包括干预组的2708名参与者和对照组的2740名参与者(每组分析49个整群)。干预组孕妇(70%)和对照组孕妇(67%)电子代金券的原始兑换率没有显著差异。年轻参与者兑换电子代金券的可能性较小。

结论

使用行为改变沟通移动信息干预并未使孕妇对长效驱虫蚊帐的使用显著增加。然而,该研究表明,通过产前诊所的护士与当地零售商合作分发电子代金券在大规模实施上是可行的。在未来利用电子代金券或移动健康技术在资源匮乏地区开展干预时,需要考虑低收入且生活在农村地区的妇女和青少年。

试验注册

ClinicalTrials.gov NCT02561624;https://clinicaltrials.gov/ct2/show/NCT02561624 。

相似文献

1
Targeted Behavior Change Communication Using a Mobile Health Platform to Increase Uptake of Long-Lasting Insecticidal Nets Among Pregnant Women in Tanzania: Hati Salama "Secure Voucher" Study Cluster Randomized Controlled Trial.使用移动健康平台进行针对性行为改变沟通以提高坦桑尼亚孕妇对长效驱虫蚊帐的使用率:哈蒂·萨拉马“安全代金券”研究群组随机对照试验
J Med Internet Res. 2025 Mar 19;27:e51524. doi: 10.2196/51524.
2
Implementation of a Mobile Health Approach to a Long-Lasting Insecticidal Net Uptake Intervention for Malaria Prevention Among Pregnant Women in Tanzania: Process Evaluation of the Hati Salama (HASA) Randomized Controlled Trial Study.坦桑尼亚孕妇长效驱虫蚊帐预防疟疾的移动健康干预措施的实施:Hati Salama(HASA)随机对照试验研究的过程评估。
J Med Internet Res. 2024 Nov 5;26:e51527. doi: 10.2196/51527.
3
Folic acid supplementation and malaria susceptibility and severity among people taking antifolate antimalarial drugs in endemic areas.在流行地区,服用抗叶酸抗疟药物的人群中,叶酸补充剂与疟疾易感性和严重程度的关系。
Cochrane Database Syst Rev. 2022 Feb 1;2(2022):CD014217. doi: 10.1002/14651858.CD014217.
4
Mass distribution of free insecticide-treated nets do not interfere with continuous net distribution in Tanzania.免费分发经杀虫剂处理的蚊帐不会干扰坦桑尼亚持续进行的蚊帐分发工作。
Malar J. 2014 May 27;13:196. doi: 10.1186/1475-2875-13-196.
5
Differential impact of dual-active ingredient long-lasting insecticidal nets on primary malaria vectors: a secondary analysis of a 3-year, single-blind, cluster-randomised controlled trial in rural Tanzania.双效长效杀虫蚊帐对主要疟疾病媒的差异化影响:坦桑尼亚农村地区一项为期 3 年、单盲、群组随机对照试验的二次分析。
Lancet Planet Health. 2023 May;7(5):e370-e380. doi: 10.1016/S2542-5196(23)00048-7.
6
Effectiveness of piperonyl butoxide and pyrethroid-treated long-lasting insecticidal nets (LLINs) versus pyrethroid-only LLINs with and without indoor residual spray against malaria infection: third year results of a cluster, randomised controlled, two-by-two factorial design trial in Tanzania.增效醚和拟除虫菊酯处理的长效驱虫蚊帐(LLINs)与仅含拟除虫菊酯的 LLINs 联合和不联合室内残留喷雾预防疟疾感染的效果:坦桑尼亚一项两因素、随机对照、集群设计试验的第三年结果。
Malar J. 2023 Oct 3;22(1):294. doi: 10.1186/s12936-023-04727-8.
7
Effectiveness of long-lasting insecticidal nets with pyriproxyfen-pyrethroid, chlorfenapyr-pyrethroid, or piperonyl butoxide-pyrethroid versus pyrethroid only against malaria in Tanzania: final-year results of a four-arm, single-blind, cluster-randomised trial.四臂、单盲、整群随机对照试验的终期结果:含吡丙醚-拟除虫菊酯、氯氟氰菊酯-拟除虫菊酯或增效醚-拟除虫菊酯的长效杀虫蚊帐与仅含拟除虫菊酯的蚊帐相比对坦桑尼亚疟疾的效果。
Lancet Infect Dis. 2024 Jan;24(1):87-97. doi: 10.1016/S1473-3099(23)00420-6. Epub 2023 Sep 27.
8
Effectiveness and cost-effectiveness against malaria of three types of dual-active-ingredient long-lasting insecticidal nets (LLINs) compared with pyrethroid-only LLINs in Tanzania: a four-arm, cluster-randomised trial.在坦桑尼亚,与仅含拟除虫菊酯的长效驱虫蚊帐(LLINs)相比,三种双活性成分长效驱虫蚊帐(LLINs)在防治疟疾方面的有效性和成本效益:一项四臂、整群随机试验。
Lancet. 2022 Mar 26;399(10331):1227-1241. doi: 10.1016/S0140-6736(21)02499-5.
9
Community benefits of mass distribution of three types of dual-active-ingredient long-lasting insecticidal nets against malaria prevalence in Tanzania: evidence from a 3-year cluster-randomized controlled trial.在坦桑尼亚大规模分发三种双活性成分长效驱虫蚊帐对疟疾流行率的社区效益:一项为期3年的整群随机对照试验的证据
BMC Public Health. 2025 Jan 28;25(1):346. doi: 10.1186/s12889-025-21586-x.
10
Long-lasting insecticidal nets use and the prevalence of Plasmodium falciparum infection among pregnant women attending antenatal care at the Bonassama District Hospital, Littoral Region of Cameroon: a cross-sectional study.长效杀虫蚊帐的使用与孕妇中恶性疟原虫感染率的关系:在喀麦隆滨海大区邦萨马区医院进行的横断面研究。
BMC Pregnancy Childbirth. 2024 Aug 28;24(1):560. doi: 10.1186/s12884-024-06769-5.

本文引用的文献

1
Implementation of a Mobile Health Approach to a Long-Lasting Insecticidal Net Uptake Intervention for Malaria Prevention Among Pregnant Women in Tanzania: Process Evaluation of the Hati Salama (HASA) Randomized Controlled Trial Study.坦桑尼亚孕妇长效驱虫蚊帐预防疟疾的移动健康干预措施的实施:Hati Salama(HASA)随机对照试验研究的过程评估。
J Med Internet Res. 2024 Nov 5;26:e51527. doi: 10.2196/51527.
2
Making the most of malaria chemoprevention.充分利用疟疾化学预防。
Malar J. 2024 Feb 19;23(1):51. doi: 10.1186/s12936-024-04867-5.
3
Determinants of uptake of malaria preventive interventions among pregnant women in eastern Uganda.
乌干达东部孕妇对疟疾预防干预措施的接受度的决定因素。
Malar J. 2021 Jan 3;20(1):5. doi: 10.1186/s12936-020-03558-1.
4
Productivity and Welfare Effects of Nigeria's e-Voucher-Based Input Subsidy Program.尼日利亚基于电子代金券的投入补贴计划的生产率与福利效应
World Dev. 2017 Sep;97:251-265. doi: 10.1016/j.worlddev.2017.04.021.
5
Effectiveness and equity of the Tanzania National Voucher Scheme for mosquito nets over 10 years of implementation.坦桑尼亚国家蚊帐代金券计划实施10年的成效与公平性。
Malar J. 2017 Jun 15;16(1):255. doi: 10.1186/s12936-017-1902-0.
6
Efficacy of text-message reminders on paediatric malaria treatment adherence and their post-treatment return to health facilities in Kenya: a randomized controlled trial.短信提醒对肯尼亚儿童疟疾治疗依从性及其治疗后返回医疗机构情况的影响:一项随机对照试验
Malar J. 2017 Jan 25;16(1):46. doi: 10.1186/s12936-017-1702-6.
7
Vouchers for family planning and sexual and reproductive health services: a review of voucher programs involving Marie Stopes International among 11 Asian and African countries.计划生育及性与生殖健康服务代金券:对11个亚非国家中涉及玛丽斯特普国际组织的代金券项目的综述
Int J Gynaecol Obstet. 2015 Aug;130 Suppl 3:E15-20. doi: 10.1016/j.ijgo.2015.06.023. Epub 2015 Jun 23.
8
The impact of text message reminders on adherence to antimalarial treatment in northern Ghana: a randomized trial.短信提醒对加纳北部抗疟治疗依从性的影响:一项随机试验。
PLoS One. 2014 Oct 28;9(10):e109032. doi: 10.1371/journal.pone.0109032. eCollection 2014.
9
Cluster randomized trial of text message reminders to retail staff in tanzanian drug shops dispensing artemether-lumefantrine: effect on dispenser knowledge and patient adherence.坦桑尼亚药店分发青蒿琥酯-苯芴醇时,用短信提醒零售店员的整群随机对照试验:对配药者知识和患者依从性的影响。
Am J Trop Med Hyg. 2014 Oct;91(4):844-853. doi: 10.4269/ajtmh.14-0126. Epub 2014 Jul 7.
10
Education and knowledge helps combating malaria, but not degedege: a cross-sectional study in Rufiji, Tanzania.教育和知识有助于抗击疟疾,但对德格格病无效:坦桑尼亚鲁菲吉的一项横断面研究。
Malar J. 2014 May 28;13:200. doi: 10.1186/1475-2875-13-200.