Suppr超能文献

生活方式习惯、环境因素与呼吸道疾病之间的关联:一项来自中国西南部的横断面研究。

Associations between lifestyle habits, environmental factors and respiratory diseases: a cross-sectional study from southwest China.

作者信息

Su Hengyu, Xie Huifang

机构信息

School of Public Health, Xinjiang Medical University, Ürümqi, China.

出版信息

Front Public Health. 2025 Mar 5;13:1513926. doi: 10.3389/fpubh.2025.1513926. eCollection 2025.

Abstract

BACKGROUND

Numerous studies have demonstrated that lifestyle habits and environmental factors influence the incidence and progression of respiratory diseases. However, there is a paucity of similar research conducted in southwest China.

OBJECTIVE

This study aims to investigate the prevalence and primary influencing factors of respiratory diseases among residents in a specific region of southwest China, and to identify vulnerable populations.

METHOD

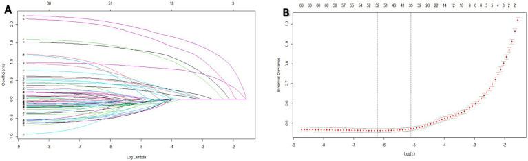
From February 2024 to May 2024, a multi-stage stratified random sampling method was employed in a specific region of southwest China. Three monitoring points were randomly selected from six jurisdictions within this region, resulting in the collection of relevant information from a total of 4,507 residents through offline interviews. Lasso-logistic regression was conducted using R version 4.3.0 to develop a nomogram for estimating disease probabilities. Interaction analysis was performed with gender and age group serving as grouping variables, while other dimensional factors were utilized as analysis variables.

RESULT

A total of 4,507 respondents participated in this study, of whom 956 (21.21%) were identified as sick. The older adult group (>65 years) exhibited the highest prevalence (30.3%). Results from the Lasso-logistic model indicated that current smoking, alcohol abuse, passive smoking, coupled with poor indoor and outdoor environments were significant risk factors. Additionally, a history of respiratory disease, a family history of respiratory issues, negative emotions, and high stress levels may also contribute to the risk of the disease. Protective factors identified include regular exercise, adequate indoor lighting, frequent ventilation, and regular disinfection practices. The nomogram developed in this study demonstrated good discrimination, calibration, and clinical efficacy. Multiplicative interaction analysis indicated that gender and age group exhibited varying degrees of interaction with factors such as smoking, passive smoking, alcohol abuse, regular exercise, household smoke, house disinfection, dust mites, history of respiratory allergies, use of velvet products, and family history of respiratory conditions. Notably, females, adolescents, and the older adult were identified as particularly susceptible and at-risk groups for these interactions.

CONCLUSION

The prevalence of respiratory diseases is notably higher among the permanent population in southwest China. High-risk lifestyles, coupled with poor indoor and outdoor environments, pose particularly significant threats to women, adolescents, and the older adult. Consequently, improving living habits, renovating aging communities, enhancing the quality of the living environment, and prioritizing vulnerable populations remain central to the objectives of primary health services.

摘要

背景

众多研究表明,生活方式习惯和环境因素会影响呼吸系统疾病的发病率和进展。然而,中国西南部地区开展的类似研究较少。

目的

本研究旨在调查中国西南部某特定地区居民呼吸系统疾病的患病率及其主要影响因素,并确定易感人群。

方法

2024年2月至2024年5月,在中国西南部某特定地区采用多阶段分层随机抽样方法。从该地区六个辖区中随机选取三个监测点,通过线下访谈收集了共计4507名居民的相关信息。使用R 4.3.0版本进行Lasso逻辑回归,以制定用于估计疾病概率的列线图。以性别和年龄组作为分组变量进行交互分析,其他维度因素作为分析变量。

结果

共有4507名受访者参与本研究,其中956人(21.21%)被确诊患病。老年组(>65岁)患病率最高(30.3%)。Lasso逻辑模型结果表明,当前吸烟、酗酒、被动吸烟以及室内外环境差是显著的危险因素。此外,呼吸系统疾病史、呼吸系统疾病家族史、负面情绪和高压力水平也可能增加患病风险。确定的保护因素包括定期锻炼、充足的室内照明、频繁通风和定期消毒措施。本研究制定的列线图显示出良好的区分度、校准度和临床疗效。乘法交互分析表明,性别和年龄组与吸烟、被动吸烟、酗酒、定期锻炼、家庭烟雾、房屋消毒、尘螨、呼吸道过敏史、使用天鹅绒制品以及呼吸系统疾病家族史等因素存在不同程度交互作用。值得注意的是,女性、青少年和老年人被确定为这些交互作用中特别易感和高危群体。

结论

中国西南部常住人口中呼吸系统疾病患病率显著较高。高危生活方式以及室内外环境差对女性、青少年和老年人构成尤为重大的威胁。因此,改善生活习惯、改造老旧社区、提高生活环境质量以及关注易感人群仍是初级卫生服务目标的核心。

https://cdn.ncbi.nlm.nih.gov/pmc/blobs/4f73/11919831/e56dc1d7f55c/fpubh-13-1513926-g001.jpg

文献检索

告别复杂PubMed语法,用中文像聊天一样搜索,搜遍4000万医学文献。AI智能推荐,让科研检索更轻松。

立即免费搜索

文件翻译

保留排版,准确专业,支持PDF/Word/PPT等文件格式,支持 12+语言互译。

免费翻译文档

深度研究

AI帮你快速写综述,25分钟生成高质量综述,智能提取关键信息,辅助科研写作。

立即免费体验