Suppr超能文献

甲硝唑与万古霉素治疗住院儿童感染的疗效比较

Comparative effectiveness of metronidazole and vancomycin for treatment of infection in hospitalized children.

作者信息

Sandora Thomas J, Savage Timothy J, Ryan Morgan E, Dahlberg Suzanne E, Daugherty Kaitlyn, Kelly Ciarán P, Pollock Nira R, Kociolek Larry K

机构信息

Division of Infectious Diseases, Department of Pediatrics, Boston Children's Hospital and Harvard Medical School, Boston, MA, USA.

Division of Pharmacoepidemiology and Pharmacoeconomics, Department of Medicine, Brigham and Women's Hospital and Harvard Medical School, Boston, MA, USA.

出版信息

Antimicrob Steward Healthc Epidemiol. 2025 Mar 12;5(1):e74. doi: 10.1017/ash.2025.51. eCollection 2025.

Abstract

OBJECTIVE

To compare rates of clinical response in children with infection (CDI) treated with metronidazole vs vancomycin.

DESIGN

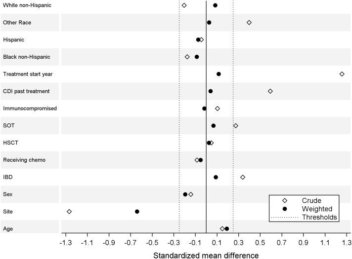
Retrospective cohort study was performed as a secondary analysis of a previously established prospective cohort of hospitalized children with CDI. For 187 participants 2-17 years of age who were treated with metronidazole and/or vancomycin, the primary outcome of clinical response (defined as resolution of diarrhea within 5 days of treatment initiation) was identified retrospectively. Baseline variables associated with the primary outcome were included in a logistic regression propensity score model estimating the likelihood of receiving metronidazole vs vancomycin. Logistic regression using inverse probability of treatment weighting (IPTW) was used to estimate the effect of treatment on clinical response.

RESULTS

One hundred seven subjects received metronidazole and 80 subjects received vancomycin as primary treatment. There was no univariable association between treatment group and clinical response; 78.30% (N = 83) of the metronidazole treatment group and 78.75% (N = 63) of the vancomycin group achieved clinical response ( = 0.941). After adjustment using propensity scores with IPTW, the odds of a clinical response for participants who received metronidazole was 0.554 (95% CI: 0.272, 1.131) times the odds of those who received vancomycin ( = 0.105).

CONCLUSIONS

In this observational cohort study of pediatric inpatients with CDI, the rate of resolution of diarrhea after 5 days of treatment did not differ among children who received metronidazole vs vancomycin.

摘要

目的

比较甲硝唑与万古霉素治疗儿童艰难梭菌感染(CDI)的临床缓解率。

设计

进行回顾性队列研究,作为对先前建立的住院CDI儿童前瞻性队列的二次分析。对于187名年龄在2至17岁之间接受甲硝唑和/或万古霉素治疗的参与者,回顾性确定临床缓解的主要结局(定义为治疗开始后5天内腹泻缓解)。与主要结局相关的基线变量纳入逻辑回归倾向评分模型,估计接受甲硝唑与万古霉素治疗的可能性。使用治疗权重逆概率(IPTW)的逻辑回归来估计治疗对临床缓解的影响。

结果

107名受试者接受甲硝唑作为主要治疗,80名受试者接受万古霉素作为主要治疗。治疗组与临床缓解之间无单变量关联;甲硝唑治疗组78.30%(N = 83)和万古霉素组78.75%(N = 63)实现临床缓解(P = 0.941)。使用IPTW倾向评分调整后,接受甲硝唑治疗的参与者临床缓解的优势比是接受万古霉素治疗者的0.554倍(95%CI:0.272,1.131)(P = 0.105)。

结论

在这项针对儿童CDI住院患者的观察性队列研究中,接受甲硝唑与万古霉素治疗的儿童在治疗5天后腹泻缓解率无差异。

https://cdn.ncbi.nlm.nih.gov/pmc/blobs/5a54/11920915/2ca94cf060b0/S2732494X25000518_fig1.jpg

文献检索

告别复杂PubMed语法,用中文像聊天一样搜索,搜遍4000万医学文献。AI智能推荐,让科研检索更轻松。

立即免费搜索

文件翻译

保留排版,准确专业,支持PDF/Word/PPT等文件格式,支持 12+语言互译。

免费翻译文档

深度研究

AI帮你快速写综述,25分钟生成高质量综述,智能提取关键信息,辅助科研写作。

立即免费体验