Suppr超能文献

气孔作为大气颗粒物铅进入小麦叶片的主要途径。

Stomata as the Main Pathway for the Penetration of Atmospheric Particulate Matter Pb into Wheat Leaves.

作者信息

Zhang Ke, Liang Yujing, Ma Chuang, Guo Haopeng, Liu Fuyong, Gao Aihua, Liu Nan, Zhang Hongzhong

机构信息

School of Material and Chemical Engineering, Zhengzhou University of Light Industry, Zhengzhou 450000, China.

Collaborative Innovation Center of Environmental Pollution Control and Ecological Restoration, Zhengzhou 450000, China.

出版信息

Toxics. 2025 Mar 1;13(3):185. doi: 10.3390/toxics13030185.

Abstract

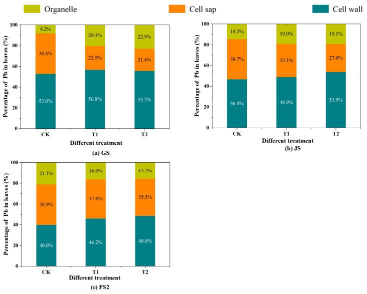
The absorption of atmospheric particulate matter lead (APM-Pb) by wheat leaves is the primary source of Pb in wheat grains, yet the mechanisms of how wheat leaves absorb Pb remain unclear. In this study, spraying Pb(NO) (Treatment T1) and spraying PbS (Treatment T2) were used as soluble and insoluble Pb, respectively, to evaluate the primary pathways of APM-Pb absorption by wheat leaves, as well as the translocation and accumulation patterns of Pb within the wheat plant. The results showed that both soluble and insoluble Pb can be absorbed by wheat leaves. Compared to the control group (CK), the treatment of T1 and T2 significantly increased Pb concentration in both leaves and grains, as well as the Pb accumulation rate in grains ( < 0.05). Scanning electron microscopy-energy dispersive spectrometry (SEM-EDS) technology visually confirmed the distribution of particulate Pb in the stomatal region, demonstrating that solid-state Pb can penetrate the leaves through stomata. From the greening stage (GS) to the late filling stage (FS2), the leaves' cell sap contained the highest proportion of Pb, indicating that Pb within the cell sap possesses the greatest capacity for translocation. Concurrently, a significant increase in grain Pb concentration during this period indicated that the migration of Pb to cell sap after penetrating the leaves is subsequently translocated to the grains ( < 0.05). Compared to the jointing stage (JS), the proportion of the ethanol and water extraction states of Pb significantly decreased in FS2 ( < 0.05), indicating that Pb is more readily translocated to the grains during this period. Moreover, in FS2, Pb concentration in leaves and grains in the T2 treatment reached 76.5% and 63.9% that of T1, respectively. Since PbS can only be absorbed through stomata, it can be inferred that stomata are the primary pathway for wheat leaves to absorb APM-Pb. Therefore, Pb absorbed through the stomatal pathway and accumulated in the cell sap fraction is most likely to be translocated to the grains during the filling stage. This study provides new insights into the mechanisms of Pb absorption and translocation in wheat, emphasizing the critical role of stomata in the uptake of APM-Pb. It offers a new direction for breeding wheat varieties resistant to APM-Pb pollution, which is of significant importance in agricultural practices aimed at reducing heavy metal contamination in crops.

摘要

小麦叶片对大气颗粒物铅(APM-Pb)的吸收是小麦籽粒中铅的主要来源,然而小麦叶片吸收铅的机制仍不清楚。在本研究中,分别采用喷施硝酸铅(处理T1)和喷施硫化铅(处理T2)作为可溶性铅和不可溶性铅,以评估小麦叶片吸收APM-Pb的主要途径,以及铅在小麦植株内的转运和积累模式。结果表明,可溶性铅和不可溶性铅均可被小麦叶片吸收。与对照组(CK)相比,T1和T2处理均显著提高了叶片和籽粒中的铅浓度以及籽粒中的铅积累率(P<0.05)。扫描电子显微镜-能谱仪(SEM-EDS)技术直观地证实了颗粒态铅在气孔区域的分布,表明固态铅可通过气孔穿透叶片。从返青期(GS)到灌浆后期(FS2),叶片细胞液中铅的比例最高,这表明细胞液中的铅具有最大的转运能力。同时,在此期间籽粒铅浓度显著增加,表明铅穿透叶片后迁移到细胞液中,随后转运到籽粒中(P<0.05)。与拔节期(JS)相比,FS2中铅的乙醇和水提取态比例显著降低(P<0.05),表明在此期间铅更容易转运到籽粒中。此外,在FS2中,T2处理的叶片和籽粒中的铅浓度分别达到T1的76.5%和63.9%。由于硫化铅只能通过气孔吸收,因此可以推断气孔是小麦叶片吸收APM-Pb的主要途径。因此,通过气孔途径吸收并积累在细胞液部分的铅最有可能在灌浆期转运到籽粒中。本研究为小麦吸收和转运铅的机制提供了新的见解,强调了气孔在APM-Pb吸收中的关键作用。它为培育抗APM-Pb污染的小麦品种提供了新方向,这在旨在减少作物重金属污染的农业实践中具有重要意义。

https://cdn.ncbi.nlm.nih.gov/pmc/blobs/3912/11945984/cfc5a64f522c/toxics-13-00185-g001.jpg

文献检索

告别复杂PubMed语法,用中文像聊天一样搜索,搜遍4000万医学文献。AI智能推荐,让科研检索更轻松。

立即免费搜索

文件翻译

保留排版,准确专业,支持PDF/Word/PPT等文件格式,支持 12+语言互译。

免费翻译文档

深度研究

AI帮你快速写综述,25分钟生成高质量综述,智能提取关键信息,辅助科研写作。

立即免费体验