Department of Agronomy, Agriculture College, Vali-e-Asr University of Rafsanjan, Rafsanjan, Iran.
Department of Seed and Plant Improvement Research, Hamadan Agriculture and Natural Resources, Research and Education Center, Agriculture Research, Education and Extension Organization, Hamadan, Iran.
PLoS One. 2023 Dec 13;18(12):e0290684. doi: 10.1371/journal.pone.0290684. eCollection 2023.
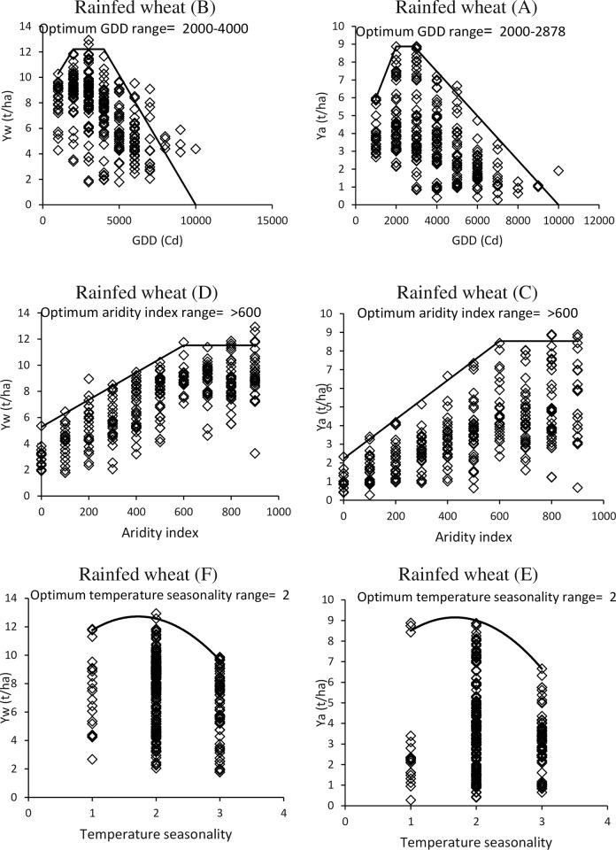
Wheat plays a crucial role in global food security, serving as a vital food crop that feeds billions of people worldwide. Currently, Russia and Ukraine are responsible for exporting approximately 25% of the world's wheat, making any issues in these regions a cause for concern regarding global wheat supply. The problems faced in these areas have led to a surge in wheat prices worldwide. Consequently, it becomes necessary to explore alternative regions that can compensate for the decline in wheat production and supply. This study focuses on wheat production and yield in major producing countries, utilizing the GYGA (Global Yield Gap Atlas) protocol for predictions. The findings reveal a global wheat production gap of 270,378,793 tons. Notably, the largest gap in irrigated wheat production exists in countries like China, India, Pakistan, Turkey, Iran, Afghanistan, Uzbekistan, Egypt, and Azerbaijan. Additionally, the rainfed wheat production gap on a global scale amounts to 545,215,692 tons, with Russia, the USA, Kazakhstan, Australia, Ukraine, China, Turkey, Canada, India, and France having the most significant production gaps. Through boundary line analysis, specific criteria were identified for suitable areas of irrigated and rainfed wheat cultivation. For irrigated conditions, the temperature range of 3000 to 7000 GDD (Growing Degree Days) and a temperature seasonality of 3 were determined as favorable. Under rainfed conditions, the suitable areas encompass a temperature range of 2000 to 4000 GDD, an aridity index exceeding 600, and a temperature seasonality of 2. Thirteen countries possess extensive agricultural land within the climatic codes favorable for irrigated wheat cultivation. Approximately 50% of the agricultural lands within these countries, corresponding to the total arable area for irrigated wheat, fall within the climatic codes 3403, 5403, 5303, 4303, 5503, 5203, 3503, 3303, and 4103. China, the United States, Ukraine, Russia, and Iran are the top five countries with favorable lands for irrigated wheat cultivation. Similarly, fourteen countries have significant agricultural lands within the favorable climatic codes for rainfed wheat cultivation. Around 52% of the agricultural lands within these countries are within the climatic codes 3702, 2702, 2802, and 4602. France, Germany, Britain, Poland, and Denmark possess the highest potential to expand rainfed wheat cultivation areas within these favorable climate codes, with respective areas of 2.7, 2.6, 1.6, and 0.9 million hectares. According to the study, the North China Plain emerges as a primary region for increasing irrigated wheat production, both in terms of cultivated area and yield potential. For rainfed conditions, the European continent stands out as a significant region to enhance wheat production.
小麦在全球粮食安全中起着至关重要的作用,是一种重要的粮食作物,为全球数十亿人提供食物。目前,俄罗斯和乌克兰负责出口全球约 25%的小麦,因此这两个地区出现的任何问题都将引起人们对全球小麦供应的关注。这些地区面临的问题导致全球小麦价格飙升。因此,有必要寻找可以弥补小麦减产和供应减少的替代地区。本研究重点关注主要生产国的小麦生产和产量,利用 GYGA(全球产量差距图谱)协议进行预测。研究结果显示,全球小麦产量存在 27037.8793 万吨的缺口。值得注意的是,中国、印度、巴基斯坦、土耳其、伊朗、阿富汗、乌兹别克斯坦、埃及和阿塞拜疆等国的灌溉小麦产量缺口最大。此外,全球范围内雨养小麦的产量缺口达到 545215.692 万吨,俄罗斯、美国、哈萨克斯坦、澳大利亚、乌克兰、中国、土耳其、加拿大、印度和法国的产量缺口最大。通过边界线分析,确定了适合灌溉和雨养小麦种植的具体标准。对于灌溉条件,3000 至 7000 GDD(生长度日)的温度范围和 3 的温度季节性被确定为有利条件。在雨养条件下,适宜的地区包括 2000 至 4000 GDD 的温度范围、超过 600 的干旱指数和 2 的温度季节性。有 13 个国家拥有适合灌溉小麦种植的广阔农业用地,这些国家的气候代码有利于灌溉小麦种植。这些国家约 50%的农业用地,相当于灌溉小麦的总耕地面积,都在气候代码 3403、5403、5303、4303、5503、5203、3503、3303 和 4103 内。中国、美国、乌克兰、俄罗斯和伊朗是灌溉小麦种植最适宜土地的前五名国家。同样,有 14 个国家拥有适合雨养小麦种植的广阔农业用地,这些国家约 52%的农业用地在气候代码 3702、2702、2802 和 4602 内。法国、德国、英国、波兰和丹麦在这些有利气候代码内拥有扩大雨养小麦种植面积的最大潜力,分别为 270 万公顷、260 万公顷、160 万公顷和 90 万公顷。研究表明,华北平原是增加灌溉小麦产量的主要地区,无论是从耕地面积还是从产量潜力来看。对于雨养条件,欧洲大陆是提高小麦产量的重要地区。