Suppr超能文献

对糖尿病和心力衰竭患者进行无症状性心房颤动筛查。

Screening of Diabetic and Heart Failure Patients for Silent Atrial Fibrillation.

作者信息

Silajdzija Elvira, Lund Ida Marie, Jensen Julie Bech, Sheikh Annam Pervez, Hansen Johanne Lynge, Tourkaman Maya, Heinesen Valborg, Kallemose Thomas, Lillqvist Jenny, Steinwender Clemens, Clodi Martin, Hendrikx Tijn, Engdahl Johan, Pürerfellner Helmut, Dixen Ulrik

机构信息

Department of Cardiology, Copenhagen University Hospital, Hvidovre, Denmark.

Karolinska Institutet, Department of Clinical Sciences, Danderyd Hospital, Stockholm, Sweden.

出版信息

CJC Open. 2024 Dec 4;7(3):262-269. doi: 10.1016/j.cjco.2024.11.023. eCollection 2025 Mar.

Abstract

BACKGROUND

Atrial fibrillation (AF) is a common heart rhythm disorder with various clinical presentations, including asymptomatic AF, known as silent AF. High-risk patients not treated with anticoagulants are at increased risk of stroke. Therefore, systematic screening has been evaluated to reduce death and cardiovascular complications. Concentrating screening efforts on high-risk populations may optimize the effectiveness of future screening strategies. The aim of our study was to determine the prevalence of silent AF in a high-risk population 65 years or older with diabetes mellitus type 2 (DM2) or congestive heart failure (CHF).

METHODS

A multicentre, observational, prospective cohort study of 645 patients with DM2 or CHF screened for AF in primary care and outpatient clinics in Denmark, Sweden, and Austria from 2016 to 2020. Patients were examined by intermittent electrocardiogram (ECG) recordings using a handheld ECG device 4 times daily for 2 weeks. AF was diagnosed with at least 1 recording (30 seconds) of AF. Patients with fewer than 40 recordings were excluded from the analyses.

RESULTS

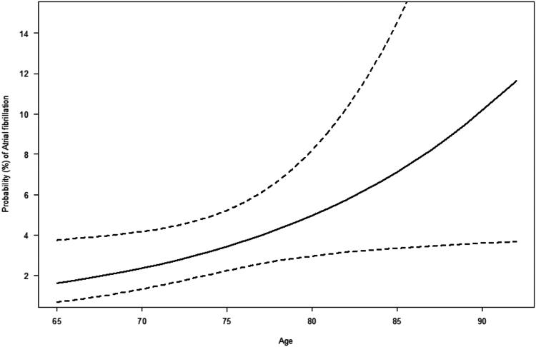
Overall 3.3 %, 3.0%, and 3.9%, respectively, of the patients with DM2 and CHF, and 5.5% of patients older than 74 years were diagnosed with previously undetected AF.

CONCLUSIONS

Intermittent handheld ECG screening revealed AF in 1 in every 30 patients in a high-risk population, with an increased observed risk in elderly patients.

CLINICAL REGISTRATION NUMBER

H-16015331.

摘要

背景

心房颤动(AF)是一种常见的心律失常,有多种临床表现,包括无症状性房颤,即隐匿性房颤。未接受抗凝治疗的高危患者中风风险增加。因此,已对系统筛查进行评估,以减少死亡和心血管并发症。将筛查工作集中于高危人群可能会优化未来筛查策略的有效性。我们研究的目的是确定65岁及以上患有2型糖尿病(DM2)或充血性心力衰竭(CHF)的高危人群中隐匿性房颤的患病率。

方法

一项多中心、观察性、前瞻性队列研究,对2016年至2020年在丹麦、瑞典和奥地利的初级保健机构和门诊诊所接受房颤筛查的645例DM2或CHF患者进行研究。使用手持式心电图设备,每天对患者进行4次间歇性心电图(ECG)记录,持续2周。房颤诊断标准为至少有1次记录(30秒)为房颤。记录次数少于40次的患者被排除在分析之外。

结果

DM2和CHF患者中分别有3.3%、3.0%和3.9%,以及74岁以上患者中有5.5%被诊断为先前未被发现的房颤。

结论

间歇性手持式心电图筛查发现,高危人群中每30名患者中就有1人患有房颤,老年患者的观察风险增加。

临床注册号

H-16015331。

https://cdn.ncbi.nlm.nih.gov/pmc/blobs/ba58/11963170/03295408e7ff/gr1.jpg

相似文献

1
Screening of Diabetic and Heart Failure Patients for Silent Atrial Fibrillation.
CJC Open. 2024 Dec 4;7(3):262-269. doi: 10.1016/j.cjco.2024.11.023. eCollection 2025 Mar.
4
Validity of daily self-pulse palpation for atrial fibrillation screening in patients 65 years and older: A cross-sectional study.
PLoS Med. 2020 Mar 31;17(3):e1003063. doi: 10.1371/journal.pmed.1003063. eCollection 2020 Mar.
6
A population screening programme for atrial fibrillation: a report from the Belgian Heart Rhythm Week screening programme.
Europace. 2016 Dec;18(12):1779-1786. doi: 10.1093/europace/euw069. Epub 2016 May 11.
7
Silent atrial fibrillation detected by home-monitoring: Cardiovascular disease and stroke prevention in patients with diabetes.
J Diabetes Complications. 2020 Dec;34(12):107711. doi: 10.1016/j.jdiacomp.2020.107711. Epub 2020 Aug 24.

本文引用的文献

1
Apixaban vs Aspirin According to CHADS-VASc Score in Subclinical Atrial Fibrillation: Insights From ARTESiA.
J Am Coll Cardiol. 2024 Jul 23;84(4):354-364. doi: 10.1016/j.jacc.2024.05.002. Epub 2024 May 19.
2
Sensitivity and specificity of handheld one lead ECG detecting atrial fibrillation in an outpatient clinic setting.
J Electrocardiol. 2024 Mar-Apr;83:106-110. doi: 10.1016/j.jelectrocard.2024.02.001. Epub 2024 Feb 22.
3
Apixaban for Stroke Prevention in Subclinical Atrial Fibrillation.
N Engl J Med. 2024 Jan 11;390(2):107-117. doi: 10.1056/NEJMoa2310234. Epub 2023 Nov 12.
4
What Lies beneath the Surface - Treatment of Subclinical Atrial Fibrillation.
N Engl J Med. 2024 Jan 11;390(2):175-177. doi: 10.1056/NEJMe2311558. Epub 2023 Nov 12.
6
Cost-effectiveness of population screening for atrial fibrillation: the STROKESTOP study.
Eur Heart J. 2023 Jan 14;44(3):196-204. doi: 10.1093/eurheartj/ehac547.
7
Implantable loop recorder detection of atrial fibrillation to prevent stroke (The LOOP Study): a randomised controlled trial.
Lancet. 2021 Oct 23;398(10310):1507-1516. doi: 10.1016/S0140-6736(21)01698-6. Epub 2021 Aug 29.
9
Healthcare Resource Allocation and Priority-setting. A European Challenge.
Eur J Health Law. 2020 Mar 2;27(2):93-114. doi: 10.1163/15718093-12271448.
10
Associations between post-stroke motor and cognitive function: a cross-sectional study.
BMC Geriatr. 2021 Feb 5;21(1):103. doi: 10.1186/s12877-021-02055-7.

文献AI研究员

20分钟写一篇综述,助力文献阅读效率提升50倍。

立即体验

用中文搜PubMed

大模型驱动的PubMed中文搜索引擎

马上搜索

文档翻译

学术文献翻译模型,支持多种主流文档格式。

立即体验