Suppr超能文献

探索雌激素与冠状动脉疾病全基因组关联研究确定的候选基因之间的关联。

Exploring associations between estrogen and gene candidates identified by coronary artery disease genome-wide association studies.

作者信息

Aminbakhsh Ava P, Théberge Emilie T, Burden Elizabeth, Adejumo Cindy Kalenga, Gravely Annabel K, Lehman Anna, Sedlak Tara L

机构信息

Department of Medicine, Faculty of Medicine, University of British Columbia, Vancouver, BC, Canada.

Department of Medical Genetics, Faculty of Medicine, University of British Columbia, Vancouver, BC, Canada.

出版信息

Front Cardiovasc Med. 2025 Mar 20;12:1502985. doi: 10.3389/fcvm.2025.1502985. eCollection 2025.

Abstract

INTRODUCTION

Coronary artery disease (CAD) is the leading cause of death around the world, with epidemiological sex and gender differences in prevalence, pathophysiology and outcomes. It has been hypothesized that sex steroids, like estrogen, may contribute to these sex differences. There is a relatively large genetic component to developing CAD, with heritability estimates ranging between 40%-60%. In the last two decades, genome-wide association studies (GWAS) have contributed substantially to advancing the understanding of genetic candidates contributing to CAD. The aim of this study was to determine if genes discovered in CAD GWASs are affected by estrogen via direct modulation or indirect down-stream targets.

METHODS

A scoping review was conducted using MEDLINE and EMBASE for studies of atherosclerotic coronary artery disease and a genome-wide association study (GWAS) design. Analysis was limited to candidate genes with corresponding single nucleotide polymorphisms (SNPs) surpassing genome-wide significance and had been mapped to genes by study authors. The number of studies that conducted sex-stratified analyses with significant genes were quantified. A literature search of the final gene lists was done to examine any evidence suggesting estrogen may modulate the genes and/or gene products.

RESULTS

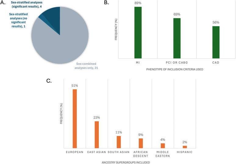
There were 60 eligible CAD GWASs meeting inclusion criteria for data extraction. Of these 60, only 36 had genome-wide significant SNPs reported, and only 3 of these had significant SNPs from sex-stratified analyses mapped to genes. From these 36 studies, a total of 61 genes were curated, of which 26 genes (43%) were found to have modulation by estrogen. All 26 were discovered in studies that adjusted for sex. 12/26 genes were also discovered in studies that conducted sex-stratified analyses. 12/26 genes were classified as having a role in lipid synthesis, metabolism and/or lipoprotein mechanisms, while 11/26 were classified as having a role in vascular integrity, and 3/26 were classified as having a role in thrombosis.

DISCUSSION

This study provides further evidence of the relationship between estrogen, genetic risk and the development of CAD. More sex-stratified research will need to be conducted to further characterize estrogen's relation to sex differences in the pathology and progression of CAD.

摘要

引言

冠状动脉疾病(CAD)是全球主要的死亡原因,在患病率、病理生理学和预后方面存在流行病学上的性别差异。据推测,雌激素等性类固醇可能导致了这些性别差异。CAD的发生有相对较大的遗传因素,遗传度估计在40%-60%之间。在过去二十年中,全基因组关联研究(GWAS)为推进对CAD相关遗传候选因素的理解做出了重大贡献。本研究的目的是确定在CAD的GWAS中发现的基因是否受到雌激素的直接调节或间接下游靶点的影响。

方法

使用MEDLINE和EMBASE对动脉粥样硬化性冠状动脉疾病和全基因组关联研究(GWAS)设计的研究进行范围综述。分析仅限于具有相应单核苷酸多态性(SNP)且超过全基因组显著性的候选基因,并且这些基因已由研究作者定位到基因上。对使用显著基因进行性别分层分析的研究数量进行量化。对最终基因列表进行文献检索,以检查是否有任何证据表明雌激素可能调节这些基因和/或基因产物。

结果

有60项符合纳入标准的CAD GWAS可用于数据提取。在这60项研究中,只有36项报告了全基因组显著的SNP,其中只有3项在性别分层分析中有显著的SNP被定位到基因上。从这36项研究中,总共筛选出61个基因,其中26个基因(43%)被发现受到雌激素的调节。所有26个基因都是在对性别进行调整的研究中发现的。12/26个基因也是在进行性别分层分析的研究中发现的。12/26个基因被归类为在脂质合成、代谢和/或脂蛋白机制中起作用,而11/26个基因被归类为在血管完整性中起作用,3/26个基因被归类为在血栓形成中起作用。

讨论

本研究为雌激素、遗传风险与CAD发生之间的关系提供了进一步的证据。需要进行更多的性别分层研究,以进一步阐明雌激素与CAD病理和进展中性别差异的关系。

https://cdn.ncbi.nlm.nih.gov/pmc/blobs/d140/11965610/15013806cb69/fcvm-12-1502985-g001.jpg

文献AI研究员

20分钟写一篇综述,助力文献阅读效率提升50倍。

立即体验

用中文搜PubMed

大模型驱动的PubMed中文搜索引擎

马上搜索

文档翻译

学术文献翻译模型,支持多种主流文档格式。

立即体验