Uchida Yuto, Hou Zhipeng, Gomez-Isaza Laura, Luongo Maria, Troncoso Juan C, Miller Michael I, Mori Susumu, Oishi Kenichi
Department of Radiology and Radiological Science, Johns Hopkins University School of Medicine, Baltimore, Maryland, USA.
Department of Pathology, Division of Neuropathology, Johns Hopkins University School of Medicine, Baltimore, Maryland, USA.
Alzheimers Dement. 2025 Apr;21(4):e70142. doi: 10.1002/alz.70142.
The entorhinal cortex (ERC) and perforant path (PP) fibers are critical structures in the pathology of Alzheimer's disease (AD). This study aims to explore these regions using high-field magnetic resonance imaging (MRI), with the goal of identifying reliable biomarkers based on histopathological observations.
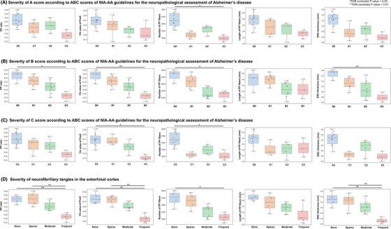
Twenty post mortem brain specimens were scanned with 11.7T MRI, including diffusion tensor imaging and tractography, and were cut for subsequent histological examinations. The entorhinal cortical thickness and number of PP fibers derived from MRI were compared across neuropathological and premortem clinical diagnoses of AD.
The entorhinal cortical thickness and number of PP fibers decreased along with severities of neurofibrillary tangles in the ERC. Meanwhile, a reduction in the number of PP fibers, but not the entorhinal cortical thickness, was observed during the preclinical stage of AD.
Degeneration of PP fibers was observed in early AD and progressed along with neuropathological changes.
Twenty post mortem brain tissues were scanned with 11.7T MRI. Degeneration of PP fibers was observed at 250 µm isotropic resolution. PP fiber indices were linked with severities of NFTs. The number of PP fibers was decreased in preclinical AD.
内嗅皮质(ERC)和穿通通路(PP)纤维是阿尔茨海默病(AD)病理学中的关键结构。本研究旨在使用高场磁共振成像(MRI)探索这些区域,目标是基于组织病理学观察确定可靠的生物标志物。
对20个尸检脑标本进行11.7T MRI扫描,包括扩散张量成像和纤维束成像,并切片进行后续组织学检查。比较了AD的神经病理学和生前临床诊断中源自MRI的内嗅皮质厚度和PP纤维数量。
内嗅皮质厚度和PP纤维数量随ERC中神经原纤维缠结的严重程度而降低。同时,在AD临床前期观察到PP纤维数量减少,但内嗅皮质厚度未减少。
在AD早期观察到PP纤维变性,并随神经病理学变化而进展。
对20个尸检脑组织进行了11.7T MRI扫描。在各向同性分辨率为250 µm时观察到PP纤维变性。PP纤维指标与NFTs的严重程度相关。临床前期AD中PP纤维数量减少。