• 文献检索
  • 文档翻译
  • 深度研究
  • 学术资讯
  • Suppr Zotero 插件Zotero 插件
  • 邀请有礼
  • 套餐&价格
  • 历史记录
应用&插件
Suppr Zotero 插件Zotero 插件浏览器插件Mac 客户端Windows 客户端微信小程序
定价
高级版会员购买积分包购买API积分包
服务
文献检索文档翻译深度研究API 文档MCP 服务
关于我们
关于 Suppr公司介绍联系我们用户协议隐私条款
关注我们

Suppr 超能文献

核心技术专利:CN118964589B侵权必究
粤ICP备2023148730 号-1Suppr @ 2026

文献检索

告别复杂PubMed语法,用中文像聊天一样搜索,搜遍4000万医学文献。AI智能推荐,让科研检索更轻松。

立即免费搜索

文件翻译

保留排版,准确专业,支持PDF/Word/PPT等文件格式,支持 12+语言互译。

免费翻译文档

深度研究

AI帮你快速写综述,25分钟生成高质量综述,智能提取关键信息,辅助科研写作。

立即免费体验

基于中性粒细胞与淋巴细胞比值(NPR)和校正淋巴细胞比值(CLR)的列线图模型在老年鲍曼不动杆菌血流感染患者中的预后价值

Prognostic value of NPR and CLR-based nomogram modeling in elderly patients with Acinetobacter baumannii bloodstream infection.

作者信息

Lai Shaoqin, Li Xiaojun, Cai Donghao, Mei Chuangchuang, Liang Zhihui

机构信息

Clinical Laboratory, Guangzhou Twelfth People's Hospital, Guangzhou, China.

Administration Department of Nosocomial Infection, Guangdong Provincial Second Hospital of Traditional Chinese Medicine (Guangdong Provincial Engineering Technology Research Institute of Traditional Chinese Medicine), Guangzhou, China.

出版信息

BMC Geriatr. 2025 Apr 9;25(1):234. doi: 10.1186/s12877-025-05884-y.

DOI:10.1186/s12877-025-05884-y
PMID:40205541
原文链接:https://pmc.ncbi.nlm.nih.gov/articles/PMC11984014/
Abstract

BACKGROUND

Acinetobacter baumannii (A. baumannii) is one of the main pathogens that causesbloodstream infection (BSI) in elderly patients, with high morbidity and mortality rates once infected; new inflammatory indicators, such as the neutrophil-lymphocyte ratio (NLR) and platelet-lymphocyte ratio(PLR), have been proposed in recent years, and the prognostic effects of these new inflammatory indicators have not yet been adequately investigated in A.baumannii BSI in elderly patients. Therefore, we verified the effects of these inflammatory indicators on A.baumannii BSIprognosis in elderly patients by constructing a nomogram model.

METHODS

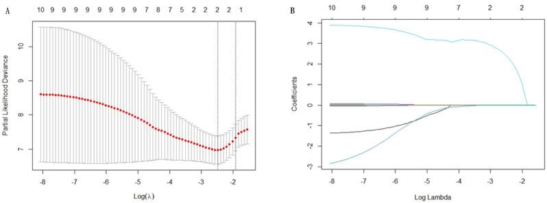
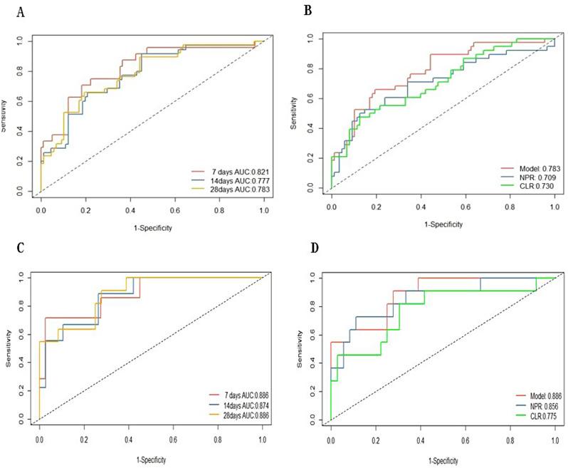
The clinical data of 126 elderly patients with A. baumannii BSIwere retrospectively analyzed, and they were divided into a survival group (87 patients) and a death group (39 patients) according to survival status 28 days after infection. Variables were screened by univariate Cox regression analysis and LASSO regression, respectively, and different prognostic models were constructed, and the final models were screened by cross-validation and other means, and the performance of the final models, such as differentiation, was evaluated. Finally, 47 exceptions of data were used to validate the prognostic model of A.baumanniiBSI in elderly patients.

RESULTS

Out of 126 patients, 39 died, for a mortality rate of 31.0%. A high neutrophil-plateletratio(NPR)(hazard ratio [HR] of 35.948,95% confidence interval [CI], 6.890-187.548) and a high C-reactive protein (CRP)-to-lymphocyte ratio (CLR) (HR,1.004;95% CI, 1.002-1.006) are independent risk factors for death in elderly patients with A. baumannii BSI. The model constructed by LASSO regression screening variables avoided the overfitting situation of the model and performed better overall and was considered as the final model.In the final model, the nomogram model predicted the highest discriminatory 7-day prognosis of A. baumanniiBSI in elderly patients, with an area under the working curve (AUC) of 0.821 for subjects, 0.777 and 0.783 for 14 and 28 days, respectively, and a standardized model with good agreement; The clinical decision curve revealed that the model provided good net benefit, ranging from 20 to 100%.

CONCLUSION

The NPR and CLR are closely associated with the prognosis of A. baumanniiBSI in elderly patients, and in clinical practice, a focus should be placed on these new indicators of inflammation, especially the NPR and CLR, to help physicians better assess the prognosis of A. baumanniiBSI in elderly patients and to develop a more effective therapeutic regimen to improve the survival rate of patients.

摘要

背景

鲍曼不动杆菌是老年患者血流感染(BSI)的主要病原体之一,一旦感染,发病率和死亡率都很高;近年来提出了新的炎症指标,如中性粒细胞与淋巴细胞比值(NLR)和血小板与淋巴细胞比值(PLR),而这些新炎症指标对老年患者鲍曼不动杆菌BSI的预后影响尚未得到充分研究。因此,我们通过构建列线图模型验证了这些炎症指标对老年患者鲍曼不动杆菌BSI预后的影响。

方法

回顾性分析126例老年鲍曼不动杆菌BSI患者的临床资料,根据感染后28天的生存状态将其分为生存组(87例)和死亡组(39例)。分别通过单因素Cox回归分析和LASSO回归筛选变量,构建不同的预后模型,并通过交叉验证等方法筛选最终模型,评估最终模型的区分度等性能。最后,用47例数据验证老年患者鲍曼不动杆菌BSI的预后模型。

结果

126例患者中,39例死亡,死亡率为31.0%。高中性粒细胞与血小板比值(NPR)(风险比[HR]为35.948,95%置信区间[CI]为6.890 - 187.548)和高C反应蛋白(CRP)与淋巴细胞比值(CLR)(HR为1.004;95%CI为1.002 - 1.006)是老年鲍曼不动杆菌BSI患者死亡的独立危险因素。通过LASSO回归筛选变量构建的模型避免了模型过拟合情况,整体表现更好,被视为最终模型。在最终模型中,列线图模型预测老年患者鲍曼不动杆菌BSI 7天预后的区分度最高,受试者工作曲线下面积(AUC)为0.821,14天和28天分别为0.777和0.783,且标准化模型一致性良好;临床决策曲线显示该模型在20%至100%的范围内提供了良好的净效益。

结论

NPR和CLR与老年患者鲍曼不动杆菌BSI的预后密切相关,在临床实践中,应关注这些新的炎症指标,尤其是NPR和CLR,以帮助医生更好地评估老年患者鲍曼不动杆菌BSI的预后,并制定更有效的治疗方案,提高患者生存率。

https://cdn.ncbi.nlm.nih.gov/pmc/blobs/580f/11984014/4d15c24182f5/12877_2025_5884_Fig7_HTML.jpg
https://cdn.ncbi.nlm.nih.gov/pmc/blobs/580f/11984014/f763b93cc7f6/12877_2025_5884_Fig1_HTML.jpg
https://cdn.ncbi.nlm.nih.gov/pmc/blobs/580f/11984014/960e23953984/12877_2025_5884_Fig2_HTML.jpg
https://cdn.ncbi.nlm.nih.gov/pmc/blobs/580f/11984014/5fabbe8e50b9/12877_2025_5884_Fig3_HTML.jpg
https://cdn.ncbi.nlm.nih.gov/pmc/blobs/580f/11984014/70915d344051/12877_2025_5884_Fig4_HTML.jpg
https://cdn.ncbi.nlm.nih.gov/pmc/blobs/580f/11984014/ea48984d0911/12877_2025_5884_Fig5_HTML.jpg
https://cdn.ncbi.nlm.nih.gov/pmc/blobs/580f/11984014/5d2ee308aa8d/12877_2025_5884_Fig6_HTML.jpg
https://cdn.ncbi.nlm.nih.gov/pmc/blobs/580f/11984014/4d15c24182f5/12877_2025_5884_Fig7_HTML.jpg
https://cdn.ncbi.nlm.nih.gov/pmc/blobs/580f/11984014/f763b93cc7f6/12877_2025_5884_Fig1_HTML.jpg
https://cdn.ncbi.nlm.nih.gov/pmc/blobs/580f/11984014/960e23953984/12877_2025_5884_Fig2_HTML.jpg
https://cdn.ncbi.nlm.nih.gov/pmc/blobs/580f/11984014/5fabbe8e50b9/12877_2025_5884_Fig3_HTML.jpg
https://cdn.ncbi.nlm.nih.gov/pmc/blobs/580f/11984014/70915d344051/12877_2025_5884_Fig4_HTML.jpg
https://cdn.ncbi.nlm.nih.gov/pmc/blobs/580f/11984014/ea48984d0911/12877_2025_5884_Fig5_HTML.jpg
https://cdn.ncbi.nlm.nih.gov/pmc/blobs/580f/11984014/5d2ee308aa8d/12877_2025_5884_Fig6_HTML.jpg
https://cdn.ncbi.nlm.nih.gov/pmc/blobs/580f/11984014/4d15c24182f5/12877_2025_5884_Fig7_HTML.jpg

相似文献

1
Prognostic value of NPR and CLR-based nomogram modeling in elderly patients with Acinetobacter baumannii bloodstream infection.基于中性粒细胞与淋巴细胞比值(NPR)和校正淋巴细胞比值(CLR)的列线图模型在老年鲍曼不动杆菌血流感染患者中的预后价值
BMC Geriatr. 2025 Apr 9;25(1):234. doi: 10.1186/s12877-025-05884-y.
2
Construction and Validation of a Predictive Model for Mortality Risk in Patients with Bloodstream Infection.血流感染患者死亡风险预测模型的构建与验证
Infect Drug Resist. 2024 Nov 26;17:5247-5260. doi: 10.2147/IDR.S491537. eCollection 2024.
3
[Analysis of risk factors on prognosis of Acinetobacter baumannii bloodstream infection].[鲍曼不动杆菌血流感染预后的危险因素分析]
Zhonghua Wei Zhong Bing Ji Jiu Yi Xue. 2013 Aug;25(8):471-4. doi: 10.3760/cma.j.issn.2095-4352.2013.08.006.
4
Risk factors for mortality in patients with Acinetobacter baumannii bloodstream infection with genotypic species identification.经基因分型鉴定的鲍曼不动杆菌血流感染患者的死亡危险因素
J Microbiol Immunol Infect. 2008 Oct;41(5):397-402.
5
[Relationship between preoperative inflammatory indexes and prognosis of patients with rectal cancer and establishment of prognostic nomogram prediction model].[直肠癌患者术前炎症指标与预后的关系及预后列线图预测模型的建立]
Zhonghua Zhong Liu Za Zhi. 2022 May 23;44(5):402-409. doi: 10.3760/cma.j.cn112152-20200630-00612.
6
[Analysis of clinical manifestations and risk factors of mortality in Acinetobacter baumannii bloodstream infection].鲍曼不动杆菌血流感染的临床表现及死亡危险因素分析
Zhonghua Nei Ke Za Zhi. 2016 Feb;55(2):121-6. doi: 10.3760/cma.j.issn.0578-1426.2016.02.011.
7
Nomogram for prognosis prediction in metastatic pancreatic cancer patients undergoing intra-arterial infusion chemotherapy: incorporating immune-inflammation scores and coagulation indicators.接受动脉内灌注化疗的转移性胰腺癌患者预后预测列线图:纳入免疫炎症评分和凝血指标
BMC Cancer. 2025 Jan 21;25(1):107. doi: 10.1186/s12885-025-13523-3.
8
[Development and validation of a prognostic model for patients with sepsis in intensive care unit].[重症监护病房脓毒症患者预后模型的开发与验证]
Zhonghua Wei Zhong Bing Ji Jiu Yi Xue. 2023 Aug;35(8):800-806. doi: 10.3760/cma.j.cn121430-20230103-00003.
9
Multidrug resistant and extensively drug resistant Acinetobacter baumannii hospital infection associated with high mortality: a retrospective study in the pediatric intensive care unit.多重耐药和广泛耐药鲍曼不动杆菌医院感染与高死亡率相关:儿科重症监护病房的回顾性研究。
BMC Infect Dis. 2020 Aug 12;20(1):597. doi: 10.1186/s12879-020-05321-y.
10
Risk factors for bacteremic pneumonia and mortality (28-day mortality) in patients with Acinetobacter baumannii bacteremia.鲍曼不动杆菌菌血症患者发生菌血症性肺炎及死亡(28天死亡率)的危险因素。
BMC Infect Dis. 2024 Apr 26;24(1):448. doi: 10.1186/s12879-024-09335-8.

本文引用的文献

1
The prognostic value of the combined neutrophil-to-lymphocyte ratio (NLR) and neutrophil-to-platelet ratio (NPR) in sepsis.中性粒细胞与淋巴细胞比值(NLR)和中性粒细胞与血小板比值(NPR)联合在脓毒症中的预后价值。
Sci Rep. 2024 Jul 2;14(1):15075. doi: 10.1038/s41598-024-64469-8.
2
Clinical predictive value of the CRP-albumin-lymphocyte index for prognosis of critically ill patients with sepsis in intensive care unit: a retrospective single-center observational study.基于 CRP-白蛋白-淋巴细胞指数对 ICU 脓毒症危重症患者预后的临床预测价值:一项回顾性单中心观察性研究。
Front Public Health. 2024 May 22;12:1395134. doi: 10.3389/fpubh.2024.1395134. eCollection 2024.
3
Predictive value of the neutrophil-to-lymphocyte ratio in the prognosis and risk of death for adult sepsis patients: a meta-analysis.
中性粒细胞与淋巴细胞比值对成人脓毒症患者预后和死亡风险的预测价值:一项荟萃分析。
Front Immunol. 2024 Mar 18;15:1336456. doi: 10.3389/fimmu.2024.1336456. eCollection 2024.
4
[Construction and verification of a nomogram of factors influencing the risk of death in patient with sepsis-associated thrombocytopenia].[脓毒症相关性血小板减少症患者死亡风险影响因素列线图的构建与验证]
Zhonghua Wei Zhong Bing Ji Jiu Yi Xue. 2024 Feb;36(2):131-136. doi: 10.3760/cma.j.cn121430-20230421-00307.
5
Systemic immune-inflammation index combined with quick sequential organ failure assessment score for predicting mortality in sepsis patients.全身免疫炎症指数联合快速序贯器官衰竭评估评分对脓毒症患者死亡率的预测价值
Heliyon. 2023 Aug 30;9(9):e19526. doi: 10.1016/j.heliyon.2023.e19526. eCollection 2023 Sep.
6
C-reactive protein-to-albumin ratio as a biomarker in patients with sepsis: a novel LASSO-COX based prognostic nomogram.C 反应蛋白与白蛋白比值作为脓毒症患者的生物标志物:一种新的基于 LASSO-COX 的预后列线图。
Sci Rep. 2023 Sep 15;13(1):15309. doi: 10.1038/s41598-023-42601-4.
7
Platelets and neutrophils cooperate to induce increased neutrophil extracellular trap formation in JAK2V617F myeloproliferative neoplasms.血小板和中性粒细胞协同作用诱导 JAK2V617F 骨髓增殖性肿瘤中中性粒细胞胞外诱捕网的形成增加。
J Thromb Haemost. 2024 Jan;22(1):172-187. doi: 10.1016/j.jtha.2023.08.028. Epub 2023 Sep 9.
8
Comparison of Lymphocyte-CRP Ratio to Conventional Inflammatory Markers for Predicting Clinical Outcomes in COVID-19.淋巴细胞与C反应蛋白比值与传统炎症标志物在预测COVID-19临床结局中的比较
J Pers Med. 2023 May 29;13(6):909. doi: 10.3390/jpm13060909.
9
Blood Platelets in Infection: The Multiple Roles of the Platelet Signalling Machinery.血液中的血小板与感染:血小板信号机制的多重作用。
Int J Mol Sci. 2023 Apr 18;24(8):7462. doi: 10.3390/ijms24087462.
10
A multicenter investigation of 2,773 cases of bloodstream infections based on China antimicrobial surveillance network (CHINET).基于中国抗菌药物监测网的 2773 例血流感染多中心调查。
Front Cell Infect Microbiol. 2022 Dec 15;12:1075185. doi: 10.3389/fcimb.2022.1075185. eCollection 2022.