Wang Yucheng, Sun Yang, Ding Zejun
Department of Physics, University of Science and Technology of China, Hefei, Anhui 230026, P.R. China.
Department of Physics, Xiamen University, Xiamen, Fujian 361005, P.R. China.
iScience. 2025 Mar 4;28(4):112165. doi: 10.1016/j.isci.2025.112165. eCollection 2025 Apr 18.
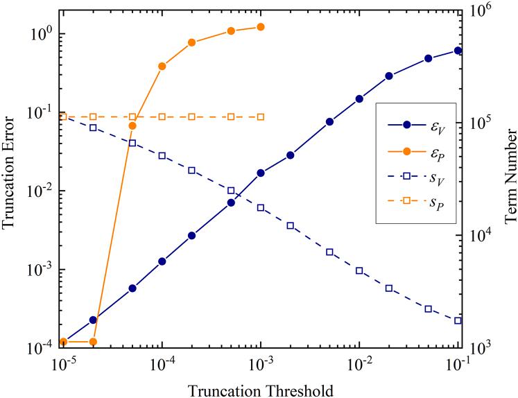
The multislice method is an important algorithm for electron diffraction and image simulations in transmission electron microscopy (TEM). We have proposed a quantum algorithm of the multislice method based on quantum circuit model previously. In this work, we have developed an improved quantum algorithm. We reconstruct the phase-shifting quantum circuit without using the multi-controlled quantum gates, thereby significantly improve the computation efficiency. The improved quantum circuit also allows further gate count reduction at the cost of a controllable error. We have simulated the quantum circuit on a classical supercomputer and analyzed the result to prove the feasibility and correctness of the improved quantum algorithm. We also provide proper parameter settings through testing, allowing the minimization of the necessary number of quantum gates while limiting the relative error within 1%. This work demonstrates the potential of applying quantum computing to electron diffraction simulations and achieving quantum advantages.
多层方法是透射电子显微镜(TEM)中电子衍射和图像模拟的一种重要算法。我们之前基于量子电路模型提出了多层方法的量子算法。在这项工作中,我们开发了一种改进的量子算法。我们在不使用多控制量子门的情况下重构了相移量子电路,从而显著提高了计算效率。改进后的量子电路还允许以可控误差为代价进一步减少门的数量。我们在经典超级计算机上对量子电路进行了模拟,并分析了结果以证明改进后的量子算法的可行性和正确性。我们还通过测试提供了适当的参数设置,在将相对误差限制在1%以内的同时,使所需量子门的数量最小化。这项工作展示了将量子计算应用于电子衍射模拟并实现量子优势的潜力。