• 文献检索
  • 文档翻译
  • 深度研究
  • 学术资讯
  • Suppr Zotero 插件Zotero 插件
  • 邀请有礼
  • 套餐&价格
  • 历史记录
应用&插件
Suppr Zotero 插件Zotero 插件浏览器插件Mac 客户端Windows 客户端微信小程序
定价
高级版会员购买积分包购买API积分包
服务
文献检索文档翻译深度研究API 文档MCP 服务
关于我们
关于 Suppr公司介绍联系我们用户协议隐私条款
关注我们

Suppr 超能文献

核心技术专利:CN118964589B侵权必究
粤ICP备2023148730 号-1Suppr @ 2026

文献检索

告别复杂PubMed语法,用中文像聊天一样搜索,搜遍4000万医学文献。AI智能推荐,让科研检索更轻松。

立即免费搜索

文件翻译

保留排版,准确专业,支持PDF/Word/PPT等文件格式,支持 12+语言互译。

免费翻译文档

深度研究

AI帮你快速写综述,25分钟生成高质量综述,智能提取关键信息,辅助科研写作。

立即免费体验

老年人两年间压力与抑郁的纵向研究:不同社会支持措施的调节作用

Longitudinal Examination of Stress and Depression in Older Adults Over a 2-Year Period: Moderation Effect of Varied Social Support Measures.

作者信息

Lee Jin-Kyung, Lee Jinhee, Hwang Sangwon, Chung Moo-Kwon, Park Ji Young, Shin Taeksoo, Lee Kyoung-Joung, Lim Hyo-Sang, Urtnasan Erdenebayar, Kim Min-Hyuk

机构信息

Institute for Poverty Alleviation and International Development, Yonsei University, Mirae Campus, Wonju 26493, Gangwon, Republic of Korea.

Department of Psychiatry, Yonsei University Wonju College of Medicine, Wonju 26426, Gangwon, Republic of Korea.

出版信息

Depress Anxiety. 2024 Sep 24;2024:6462853. doi: 10.1155/2024/6462853. eCollection 2024.

DOI:10.1155/2024/6462853
PMID:40226743
原文链接:https://pmc.ncbi.nlm.nih.gov/articles/PMC11919130/
Abstract

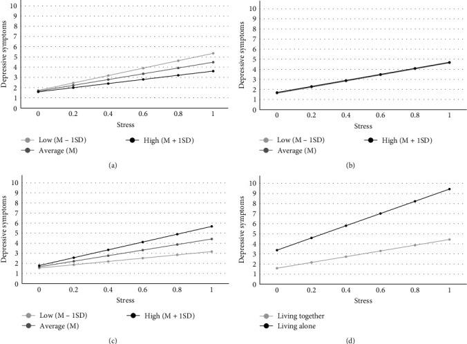
Depressive symptoms and stress exposure fluctuate over time in community-dwelling older adults, but they are frequently assessed using one-time retrospective self-report measures. Social support viewed as a multifaceted construct can play diverse moderating roles in this association although it is typically gauged through the measure of perceived social support. This study aims to explore the relationships between stress, social support, and depressive symptoms among older adults by utilizing the longitudinal data collected through a smartphone application and supplemented by annual face-to-face interviews conducted over a 2-year period. Using longitudinal multilevel analysis, we analyzed the data on PHQ-9, stress exposure, and four distinct measures of social support collected from 354 community-dwelling older adults in South Korea. The results demonstrated that 59% of the variability in depressive symptoms was attributable to differences between individuals. Stress exposure was a strong predictor ( = 3.01⁣ , 95% CI = 2.34-3.67). As expected, positive functional social support alleviated the effects of stress on depression ( = -1.12⁣ , 95% CI = -1.92 ~ -0.32) while negative functional social support ( = 2.36⁣ , 95% CI = 1.29-3.44) and negative structural social support ( = 3.22⁣ , 95% CI = 0.79-5.64) worsened the effects of stress on depression. A notable finding is that stress-amplifying effects from the negative functional and structural social support, in addition to well-known stress-buffering effects from positive functional social support, should be regarded as indispensable components in safeguarding the mental health of older adults. Considering the decline in social interactions and the lower probability of older adults establishing new social connections, it is essential to consider approaches that prevent a lack of functional and structural social support and foster a high-quality of functional and structural social support, particularly for those facing greater stressors, as a preventative method against depressive symptoms.

摘要

在社区居住的老年人中,抑郁症状和压力暴露会随时间波动,但通常使用一次性回顾性自我报告测量方法对其进行评估。社会支持被视为一个多层面的概念,尽管通常通过感知社会支持的测量来衡量,但它可以在这种关联中发挥多种调节作用。本研究旨在利用通过智能手机应用程序收集的纵向数据,并辅以在两年期间进行的年度面对面访谈,探讨老年人压力、社会支持和抑郁症状之间的关系。我们使用纵向多层次分析,分析了从韩国354名社区居住老年人那里收集到的关于PHQ-9、压力暴露和四种不同社会支持测量的数据。结果表明,抑郁症状59%的变异性可归因于个体差异。压力暴露是一个强有力的预测因素(β = 3.01,95%置信区间 = 2.34 - 3.67)。正如预期的那样,积极的功能性社会支持减轻了压力对抑郁的影响(β = -1.12,95%置信区间 = -1.92 ~ -0.32),而消极的功能性社会支持(β = 2.36,95%置信区间 = 1.29 - 3.44)和消极的结构性社会支持(β = 3.22,95%置信区间 = 0.7

https://cdn.ncbi.nlm.nih.gov/pmc/blobs/4b5f/11919130/9a97c9bbe99d/DA2024-6462853.002.jpg
https://cdn.ncbi.nlm.nih.gov/pmc/blobs/4b5f/11919130/49ea35b4cf98/DA2024-6462853.001.jpg
https://cdn.ncbi.nlm.nih.gov/pmc/blobs/4b5f/11919130/9a97c9bbe99d/DA2024-6462853.002.jpg
https://cdn.ncbi.nlm.nih.gov/pmc/blobs/4b5f/11919130/49ea35b4cf98/DA2024-6462853.001.jpg
https://cdn.ncbi.nlm.nih.gov/pmc/blobs/4b5f/11919130/9a97c9bbe99d/DA2024-6462853.002.jpg

相似文献

1
Longitudinal Examination of Stress and Depression in Older Adults Over a 2-Year Period: Moderation Effect of Varied Social Support Measures.老年人两年间压力与抑郁的纵向研究:不同社会支持措施的调节作用
Depress Anxiety. 2024 Sep 24;2024:6462853. doi: 10.1155/2024/6462853. eCollection 2024.
2
Association of neighborhood greenness with self-perceived stress, depression and anxiety symptoms in older U.S adults.美国老年人邻里绿化与自我感知压力、抑郁和焦虑症状的关系。
Environ Health. 2018 Apr 16;17(1):39. doi: 10.1186/s12940-018-0381-2.
3
Social Support Network Types and Depressive Symptoms Among Community-Dwelling Older Adults in South Korea.韩国社区老年人的社会支持网络类型与抑郁症状。
Asia Pac J Public Health. 2019 May;31(4):367-375. doi: 10.1177/1010539519841287. Epub 2019 Apr 9.
4
Exploring social activity patterns among community-dwelling older adults in South Korea: a latent class analysis.探讨韩国社区居住的老年人的社会活动模式:潜在类别分析。
BMC Geriatr. 2024 Aug 21;24(1):697. doi: 10.1186/s12877-024-05287-5.
5
Disability and depressive symptoms in later life: the stress-buffering role of informal and formal support.晚年的残疾和抑郁症状:非正式和正式支持的缓冲作用。
Gerontology. 2011;57(2):180-9. doi: 10.1159/000314158. Epub 2010 Apr 28.
6
Social support in maintaining mental health and quality of life among community-dwelling older people with functional limitations in Malaysia: a population-based cross-sectional study.马来西亚社区居住的功能受限老年人中社会支持对维持心理健康和生活质量的作用:一项基于人群的横断面研究。
BMJ Open. 2024 May 15;14(5):e077046. doi: 10.1136/bmjopen-2023-077046.
7
The moderating effect of cognitive function on the association between social support and depressive symptoms among community-dwelling older adults: Cross-sectional and longitudinal analyses.认知功能对社区老年人社会支持与抑郁症状之间关联的调节作用:横断面和纵向分析。
J Affect Disord. 2022 Dec 1;318:185-190. doi: 10.1016/j.jad.2022.08.117. Epub 2022 Aug 31.
8
Social support and depression among community dwelling older adults in Asia: a systematic review.亚洲社区居住老年人的社会支持与抑郁:系统综述。
BMJ Open. 2019 Jul 17;9(7):e026667. doi: 10.1136/bmjopen-2018-026667.
9
The relationship between perceived social support and depressive symptoms in informal caregivers of community-dwelling older persons in Chile.智利社区居住老年人非正式照护者感知社会支持与抑郁症状之间的关系。
Psychogeriatrics. 2019 Nov;19(6):547-556. doi: 10.1111/psyg.12438. Epub 2019 Mar 12.
10
Relationships between hand-grip strength, socioeconomic status, and depressive symptoms in community-dwelling older adults.社区老年人握力、社会经济地位与抑郁症状的关系。
J Affect Disord. 2019 Jun 1;252:263-270. doi: 10.1016/j.jad.2019.04.023. Epub 2019 Apr 9.

本文引用的文献

1
Developing prediction algorithms for late-life depression using wearable devices: a cohort study protocol.使用可穿戴设备开发晚年抑郁症预测算法:一项队列研究方案
BMJ Open. 2024 Jun 13;14(6):e073290. doi: 10.1136/bmjopen-2023-073290.
2
Stress, inflammation, microbiome and depression.压力、炎症、微生物组与抑郁。
Pharmacol Biochem Behav. 2023 Jun;227-228:173561. doi: 10.1016/j.pbb.2023.173561. Epub 2023 May 5.
3
Effectiveness and active ingredients of social prescribing interventions targeting mental health: a systematic review.
社会处方干预措施针对心理健康的有效性和有效成分:系统评价。
BMJ Open. 2022 Jul 25;12(7):e060214. doi: 10.1136/bmjopen-2021-060214.
4
Global developments in social prescribing.社会处方的全球发展。
BMJ Glob Health. 2022 May;7(5). doi: 10.1136/bmjgh-2022-008524.
5
Patterns of social relationships among community-dwelling older adults in Japan: latent class analysis.日本社区老年人社会关系模式:潜在类别分析。
BMC Geriatr. 2022 Jan 25;22(1):75. doi: 10.1186/s12877-022-02748-7.
6
Prevalence and determinants of depression among old age: a systematic review and meta-analysis.老年人抑郁症的患病率及其决定因素:一项系统评价与荟萃分析
Ann Gen Psychiatry. 2021 Dec 18;20(1):55. doi: 10.1186/s12991-021-00375-x.
7
Social Support and Longevity: Meta-Analysis-Based Evidence and Psychobiological Mechanisms.社会支持与长寿:基于荟萃分析的证据及心理生物学机制
Front Psychol. 2021 Sep 13;12:717164. doi: 10.3389/fpsyg.2021.717164. eCollection 2021.
8
The effects of mobile apps on stress, anxiety, and depression: overview of systematic reviews.移动应用程序对压力、焦虑和抑郁的影响:系统评价概述。
Int J Technol Assess Health Care. 2020 Dec 14;37:e4. doi: 10.1017/S0266462320002093.
9
Quality and Quantity of Social Support Show Differential Associations With Stress and Depression in African Americans.社会支持的质量和数量与非裔美国人的压力和抑郁存在不同的关联。
Am J Geriatr Psychiatry. 2020 Jun;28(6):597-605. doi: 10.1016/j.jagp.2020.02.004. Epub 2020 Feb 13.
10
Chronic stressors, stress coping and depressive tendencies among older adults.老年人的慢性应激源、应激应对和抑郁倾向。
Geriatr Gerontol Int. 2020 Apr;20(4):297-303. doi: 10.1111/ggi.13870. Epub 2020 Jan 28.