• 文献检索
  • 文档翻译
  • 深度研究
  • 学术资讯
  • Suppr Zotero 插件Zotero 插件
  • 邀请有礼
  • 套餐&价格
  • 历史记录
应用&插件
Suppr Zotero 插件Zotero 插件浏览器插件Mac 客户端Windows 客户端微信小程序
定价
高级版会员购买积分包购买API积分包
服务
文献检索文档翻译深度研究API 文档MCP 服务
关于我们
关于 Suppr公司介绍联系我们用户协议隐私条款
关注我们

Suppr 超能文献

核心技术专利:CN118964589B侵权必究
粤ICP备2023148730 号-1Suppr @ 2026

文献检索

告别复杂PubMed语法,用中文像聊天一样搜索,搜遍4000万医学文献。AI智能推荐,让科研检索更轻松。

立即免费搜索

文件翻译

保留排版,准确专业,支持PDF/Word/PPT等文件格式,支持 12+语言互译。

免费翻译文档

深度研究

AI帮你快速写综述,25分钟生成高质量综述,智能提取关键信息,辅助科研写作。

立即免费体验

探讨子宫内膜炎诊断标准对奶牛子宫复旧、产奶量和繁殖性能的影响。

Exploring the influence of endometritis diagnostic criteria on uterine involution, milk yield and fertility in dairy cows.

作者信息

Tobolski Dawid, Krupa M, Polak Z, Pascottini O B, Opsomer G, Barański W

机构信息

Department of Large Animal Diseases and Clinic, Institute of Veterinary Medicine, Warsaw University of Life Sciences, ul. Nowoursynowska 100, Warsaw, 02-787, Poland.

School of Veterinary Medicine, University College Dublin, Belfield, Dublin 4, Ireland.

出版信息

BMC Vet Res. 2025 Apr 14;21(1):276. doi: 10.1186/s12917-025-04727-7.

DOI:10.1186/s12917-025-04727-7
PMID:40229873
原文链接:https://pmc.ncbi.nlm.nih.gov/articles/PMC11998391/
Abstract

BACKGROUND

We investigated the impact of different classification schemes for postpartum uterine disease on genital tract involution, milk yield, and reproductive performance in dairy cows. The reproductive tracts of 223 Polish Holstein cows were examined between 21 and 29 days postpartum (median 24 days). Transrectal ultrasonography was employed to assess reproductive tract dimensions, vaginoscopy was used for visual scoring of vaginal discharge, and endometrial cytology with the cytobrush was used to calculate the percentage of polymorphonuclear cells (PMN). The health status of the cows was classified using two diagnostics models. Model 1 categorized cows as healthy (H; <5% PMN and absence of purulent vaginal discharge [PVD0]), subclinical endometritis (SE; ≥5% PMN and PVD0), and further subdivided PVD into three categories: flecks of pus in vaginal discharge (PVD1), mucopurulent discharge (PVD2), or purulent discharge including red-brownish watery fetid discharge (PVD3), irrespective of endometrial PMN%. Model 2 classified cows as healthy (H; <5% PMN and PVD0), subclinical endometritis (SE; ≥5% PMN and ≤ PVD1), and clinical endometritis (CE; ≥5% PMN and > PVD1).

RESULTS

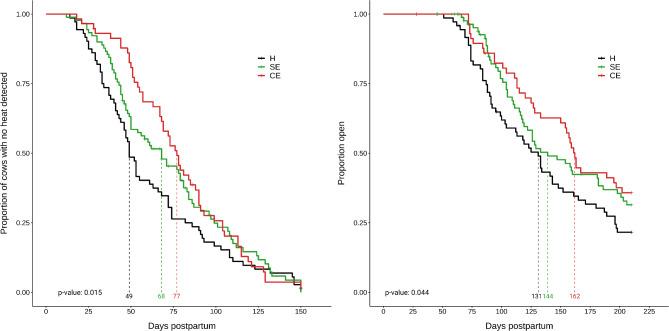
Cows with ≥ PVD2 (Model 1) and CE (Model 2) had larger cervical and uterine horn diameters and were less likely to resume ovarian activity by the fourth week postpartum in comparison to H and SE. For Model 1, the milk yield to 120 days postpartum was lower in PVD3 in comparison to H while for Model 2, CE produced less milk to 120 days postpartum when compared to H or SE. For both models, SE had a lower first service conception rate than H cows, but the pregnancy risk to 210 days postpartum did not differ. When compared to H, PVD2 (Model 1), and CE (Model 2) had the lowest first service conception rate and pregnancy risk to 210 days postpartum.

CONCLUSION

Model 1 provides detailed PVD severity assessment, which is valuable for potential targeted treatment and management but adding complexity due to multiple categories. Model 2 offers simpler categorization for clear management decisions but may overlook disease nuances. Though labor-intensive and less practical for routine use, these protocols are useful for population-level decision-making in dairy farm reproductive performance.

摘要

背景

我们研究了产后子宫疾病的不同分类方案对奶牛生殖道 involution、产奶量和繁殖性能的影响。在产后21至29天(中位数24天)对223头波兰荷斯坦奶牛的生殖道进行了检查。采用经直肠超声检查来评估生殖道尺寸,阴道镜检查用于对阴道分泌物进行视觉评分,并用细胞刷进行子宫内膜细胞学检查以计算多形核细胞(PMN)的百分比。使用两种诊断模型对奶牛的健康状况进行分类。模型1将奶牛分为健康(H;PMN<5%且无脓性阴道分泌物[PVD0])、亚临床子宫内膜炎(SE;PMN≥5%且PVD0),并将PVD进一步细分为三类:阴道分泌物中有脓性斑点(PVD1)、黏液脓性分泌物(PVD2)或脓性分泌物,包括红棕色水样恶臭分泌物(PVD3),无论子宫内膜PMN%如何。模型2将奶牛分为健康(H;PMN<5%且PVD0)、亚临床子宫内膜炎(SE;PMN≥5%且≤PVD1)和临床子宫内膜炎(CE;PMN≥5%且>PVD1)。

结果

与H和SE相比,PVD2≥(模型1)和CE(模型2)的奶牛宫颈和子宫角直径更大,产后第四周恢复卵巢活动的可能性更小。对于模型1,与H相比,PVD3产后120天的产奶量更低,而对于模型2,与H或SE相比,CE产后120天的产奶量更少。对于这两种模型,SE的首次输精受胎率均低于H奶牛,但产后210天的妊娠风险没有差异。与H相比,PVD2(模型1)和CE(模型2)的首次输精受胎率最低,产后210天的妊娠风险也最低。

结论

模型1提供了详细的PVD严重程度评估,这对于潜在的靶向治疗和管理很有价值,但由于类别众多而增加了复杂性。模型2提供了更简单的分类以便做出明确的管理决策,但可能会忽略疾病的细微差别。尽管这些方案劳动强度大且不太适合常规使用,但它们对于奶牛场繁殖性能的群体水平决策很有用。

https://cdn.ncbi.nlm.nih.gov/pmc/blobs/81d1/11998391/b971b41c9df7/12917_2025_4727_Fig5_HTML.jpg
https://cdn.ncbi.nlm.nih.gov/pmc/blobs/81d1/11998391/d267c1d3e339/12917_2025_4727_Fig1_HTML.jpg
https://cdn.ncbi.nlm.nih.gov/pmc/blobs/81d1/11998391/00df2aca08a2/12917_2025_4727_Fig2_HTML.jpg
https://cdn.ncbi.nlm.nih.gov/pmc/blobs/81d1/11998391/cace8c54b014/12917_2025_4727_Fig3_HTML.jpg
https://cdn.ncbi.nlm.nih.gov/pmc/blobs/81d1/11998391/5e55f367b3d6/12917_2025_4727_Fig4_HTML.jpg
https://cdn.ncbi.nlm.nih.gov/pmc/blobs/81d1/11998391/b971b41c9df7/12917_2025_4727_Fig5_HTML.jpg
https://cdn.ncbi.nlm.nih.gov/pmc/blobs/81d1/11998391/d267c1d3e339/12917_2025_4727_Fig1_HTML.jpg
https://cdn.ncbi.nlm.nih.gov/pmc/blobs/81d1/11998391/00df2aca08a2/12917_2025_4727_Fig2_HTML.jpg
https://cdn.ncbi.nlm.nih.gov/pmc/blobs/81d1/11998391/cace8c54b014/12917_2025_4727_Fig3_HTML.jpg
https://cdn.ncbi.nlm.nih.gov/pmc/blobs/81d1/11998391/5e55f367b3d6/12917_2025_4727_Fig4_HTML.jpg
https://cdn.ncbi.nlm.nih.gov/pmc/blobs/81d1/11998391/b971b41c9df7/12917_2025_4727_Fig5_HTML.jpg

相似文献

1
Exploring the influence of endometritis diagnostic criteria on uterine involution, milk yield and fertility in dairy cows.探讨子宫内膜炎诊断标准对奶牛子宫复旧、产奶量和繁殖性能的影响。
BMC Vet Res. 2025 Apr 14;21(1):276. doi: 10.1186/s12917-025-04727-7.
2
Categorization of endometritis and its association with ovarian follicular growth and ovulation, reproductive performance, dry matter intake, and milk yield in dairy cattle.奶牛子宫内膜炎的分类及其与卵泡生长、排卵、繁殖性能、干物质摄入量和产奶量的关系。
Theriogenology. 2016 Oct 15;86(7):1842-9. doi: 10.1016/j.theriogenology.2016.06.003. Epub 2016 Jun 14.
3
Progesterone-independent endometrial mRNA expression in dairy cows with clinical or subclinical endometritis.临床或亚临床子宫内膜炎奶牛中不依赖孕酮的子宫内膜mRNA表达
Theriogenology. 2024 Mar 1;216:146-154. doi: 10.1016/j.theriogenology.2023.12.031. Epub 2023 Dec 30.
4
Association of dry matter intake, milk yield, and days to first ovulation with cytological endometritis in Holstein cows.荷斯坦奶牛干物质摄入量、产奶量和首次排卵天数与细胞学子宫内膜炎的关系。
J Dairy Sci. 2023 Oct;106(10):7240-7265. doi: 10.3168/jds.2022-23070. Epub 2023 Jul 31.
5
Evaluation of clinical and subclinical endometritis impacts on the reproductive performance and milk production of dairy cows in Brazilian herds.评价巴西牛群临床和亚临床子宫内膜炎对奶牛繁殖性能和产奶量的影响。
Reprod Domest Anim. 2023 Mar;58(3):414-422. doi: 10.1111/rda.14301. Epub 2023 Jan 1.
6
Determination of optimal diagnostic criteria for purulent vaginal discharge and cytological endometritis in dairy cows.奶牛脓性阴道分泌物和细胞学子宫内膜炎最佳诊断标准的确定。
J Dairy Sci. 2015 Oct;98(10):6848-55. doi: 10.3168/jds.2014-9120. Epub 2015 Jul 22.
7
Prevalence of endometritis diagnosed by vaginal discharge scoring or uterine cytology in dairy cows and herds.奶牛及牛群阴道分泌物评分或子宫细胞学诊断子宫内膜炎的流行情况。
J Dairy Sci. 2020 Jul;103(7):6511-6521. doi: 10.3168/jds.2019-18048. Epub 2020 Apr 29.
8
Metabolic markers for purulent vaginal discharge and subclinical endometritis in dairy cows.奶牛脓性阴道分泌物和亚临床子宫内膜炎的代谢标志物
Theriogenology. 2020 Oct 1;155:43-48. doi: 10.1016/j.theriogenology.2020.06.005. Epub 2020 Jun 8.
9
Purulent vaginal discharge diagnosed in pasture-based Holstein-Friesian cows at 21 days postpartum is influenced by previous lactation milk yield and results in diminished fertility.产后 21 天在放牧荷斯坦-弗里生奶牛中诊断出脓性阴道分泌物与前次泌乳产奶量有关,并导致繁殖力下降。
J Dairy Sci. 2020 Jan;103(1):666-675. doi: 10.3168/jds.2019-17116. Epub 2019 Nov 14.
10
Associations among Trueperella pyogenes, endometritis diagnosis, and pregnancy outcomes in dairy cows.化脓隐秘杆菌、奶牛子宫内膜炎诊断与妊娠结局之间的关联
Theriogenology. 2016 Jan 15;85(2):267-74. doi: 10.1016/j.theriogenology.2015.09.043. Epub 2015 Sep 26.

本文引用的文献

1
Cytological endometritis diagnosis in primiparous versus multiparous dairy cows.初产奶牛与经产奶牛的细胞学子宫内膜炎诊断。
J Dairy Sci. 2022 Jan;105(1):665-683. doi: 10.3168/jds.2020-20064. Epub 2021 Nov 9.
2
Intrauterine therapy with ozone reduces subclinical endometritis and improves reproductive performance in postpartum dairy cows managed in pasture-based systems.在以牧场为基础的系统中管理的产后奶牛中,宫内臭氧治疗可减少亚临床子宫内膜炎并提高繁殖性能。
Trop Anim Health Prod. 2020 Sep;52(5):2523-2528. doi: 10.1007/s11250-020-02298-3. Epub 2020 May 22.
3
Evaluation of cervical and uterine size, at 4 weeks postpartum, as a predictor of subsequent fertility in Jersey cattle.
评估产后 4 周时的宫颈和子宫大小,作为泽西牛后续生育能力的预测指标。
Reprod Domest Anim. 2020 Aug;55(8):915-921. doi: 10.1111/rda.13702. Epub 2020 Jun 19.
4
Preventing postpartum uterine disease in dairy cattle depends on avoiding, tolerating and resisting pathogenic bacteria.预防奶牛产后子宫疾病取决于对病原菌的避免、耐受和抵抗。
Theriogenology. 2020 Jul 1;150:158-165. doi: 10.1016/j.theriogenology.2020.01.017. Epub 2020 Jan 11.
5
The Effect of Abnormal Reproductive Tract Discharge on the Calving to Conception Interval of Dairy Cows.生殖道异常分泌物对奶牛产犊至受孕间隔的影响。
Front Vet Sci. 2019 Oct 22;6:374. doi: 10.3389/fvets.2019.00374. eCollection 2019.
6
Predicting the probability of conception in dairy cows with clinical endometritis based on a combination of anamnestic information and examination results.基于病史信息和检查结果预测患有临床型子宫内膜炎奶牛的妊娠概率。
Theriogenology. 2019 Oct 15;138:127-136. doi: 10.1016/j.theriogenology.2019.07.004. Epub 2019 Jul 7.
7
Comparative biochemical profiles, production and reproduction status of the post-partum dairy cows with and without purulent vaginal discharge.有和没有脓性阴道分泌物的产后奶牛的比较生化特征、生产和繁殖状况。
Reprod Domest Anim. 2019 Sep;54(9):1188-1194. doi: 10.1111/rda.13496. Epub 2019 Jul 17.
8
Stress effects on the regulation of parturition in different domestic animal species.应激对不同家畜分娩调控的影响。
Anim Reprod Sci. 2019 Aug;207:153-161. doi: 10.1016/j.anireprosci.2019.04.011. Epub 2019 Apr 27.
9
Effects of hypertonic dextrose and paraffin solution as non-antibiotic treatments of clinical endometritis on reproductive performance of high producing dairy cows.高渗葡萄糖和石蜡溶液作为临床子宫内膜炎非抗生素治疗方法对高产奶牛繁殖性能的影响
Reprod Domest Anim. 2019 May;54(5):762-771. doi: 10.1111/rda.13424. Epub 2019 Mar 23.
10
Short communication: Meta-analysis on therapy of bovine endometritis with prostaglandin F-An update.短篇交流:前列腺素 F 治疗牛子宫内膜炎的荟萃分析-更新。
J Dairy Sci. 2018 Nov;101(11):10557-10564. doi: 10.3168/jds.2018-14933. Epub 2018 Aug 30.