Suppr超能文献

氯调节番茄叶片的光合效率、叶绿素荧光及发育中果实的碳水化合物分配。

Chlorine Modulates Photosynthetic Efficiency, Chlorophyll Fluorescence in Tomato Leaves, and Carbohydrate Allocation in Developing Fruits.

作者信息

Su Longpu, Lu Tao, Li Qiang, Li Yang, Wan Xiaoyang, Jiang Weijie, Yu Hongjun

机构信息

State Key Laboratory of Vegetable Biobreeding, Institute of Vegetables and Flowers, Chinese Academy of Agricultural Sciences, Beijing 100081, China.

出版信息

Int J Mol Sci. 2025 Mar 24;26(7):2922. doi: 10.3390/ijms26072922.

Abstract

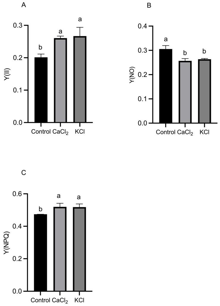
Chlorine (Cl) is an essential nutrient for higher plants, playing a critical role in their growth and development. However, excessive Cl application can be detrimental, leading to its limited use in controlled-environment agriculture. Recently, Cl has been recognized as a beneficial macronutrient, yet studies investigating its impact on plant growth and fruit quality remain scarce. In this study, we determined the optimal Cl concentration in nutrient solutions through a series of cultivation experiments. A comparative analysis of Cl treatments at 1, 2, and 3 mM revealed that 3 mM Cl significantly enhanced chlorophyll content, biomass accumulation, and yield. Furthermore, we examined the effects of 3 mM Cl (supplied as 1.5 mM CaCl and 3 mM KCl) on leaf photosynthesis, chlorophyll fluorescence, and fruit sugar metabolism. The results demonstrated that Cl treatments enhanced the activity of Photosystem I (PS I) and Photosystem II (PS II), leading to a 25.53% and 28.37% increase in the net photosynthetic rate, respectively. Additionally, Cl application resulted in a 12.3% to 16.5% increase in soluble sugar content in mature tomato fruits. During fruit development, Cl treatments promoted the accumulation of glucose, fructose, and sucrose, thereby enhancing fruit sweetness and overall quality. The observed increase in glucose and fructose levels was attributed to the stimulation of invertase activity. Specifically, acidic invertase (AI) activity increased by 61.6% and 62.6% at the green ripening stage, while neutral invertase (NI) activity was elevated by 56.2% and 32.8% in the CaCl and KCl treatments, respectively, at fruit maturity. Furthermore, sucrose synthase (SS-I) activity was significantly upregulated by 1.5- and 1.4-fold at fruit maturity, while sucrose phosphate synthase (SPS) activity increased by 76.4% to 77.8% during the green ripening stage. These findings provide novel insights into the role of Cl in tomato growth and metabolism, offering potential strategies for optimizing fertilization practices in protected horticulture.

摘要

氯(Cl)是高等植物必需的营养元素,在其生长发育中起着关键作用。然而,过量施用氯可能有害,导致其在设施农业中的使用受限。最近,氯已被认为是一种有益的大量元素,但研究其对植物生长和果实品质影响的研究仍然很少。在本研究中,我们通过一系列栽培实验确定了营养液中的最佳氯浓度。对1、2和3 mM氯处理的比较分析表明,3 mM氯显著提高了叶绿素含量、生物量积累和产量。此外,我们研究了3 mM氯(以1.5 mM氯化钙和3 mM氯化钾形式提供)对叶片光合作用、叶绿素荧光和果实糖代谢的影响。结果表明,氯处理增强了光系统I(PS I)和光系统II(PS II)的活性,导致净光合速率分别提高了25.53%和28.37%。此外,施用氯使成熟番茄果实中的可溶性糖含量增加了12.3%至16.5%。在果实发育过程中,氯处理促进了葡萄糖、果糖和蔗糖的积累,从而提高了果实甜度和整体品质。观察到的葡萄糖和果糖水平的增加归因于转化酶活性的刺激。具体而言,在绿熟期,酸性转化酶(AI)活性分别提高了61.6%和62.6%,而在果实成熟时,氯化钙和氯化钾处理中的中性转化酶(NI)活性分别提高了56.2%和32.8%。此外,蔗糖合酶(SS-I)活性在果实成熟时显著上调了1.5倍和1.4倍,而蔗糖磷酸合酶(SPS)活性在绿熟期增加了76.4%至77.8%。这些发现为氯在番茄生长和代谢中的作用提供了新的见解,为优化设施园艺施肥实践提供了潜在策略。

https://cdn.ncbi.nlm.nih.gov/pmc/blobs/a528/11988456/309fd4e67df8/ijms-26-02922-g001.jpg

文献检索

告别复杂PubMed语法,用中文像聊天一样搜索,搜遍4000万医学文献。AI智能推荐,让科研检索更轻松。

立即免费搜索

文件翻译

保留排版,准确专业,支持PDF/Word/PPT等文件格式,支持 12+语言互译。

免费翻译文档

深度研究

AI帮你快速写综述,25分钟生成高质量综述,智能提取关键信息,辅助科研写作。

立即免费体验