Suppr超能文献

收缩压变异性:心血管事件、慢性肾脏病、痴呆和死亡的风险。

Systolic blood pressure variability: risk of cardiovascular events, chronic kidney disease, dementia, and death.

作者信息

Cheng Xunjie, Song Chao, Ouyang Feiyun, Ma Tianqi, He Lingfang, Fang Fang, Zhang Guogang, Huang Jiaqi, Bai Yongping

机构信息

Department of Cardiovascular Medicine, Center of Coronary Circulation, Xiangya Hospital of Central South University, Xiangya Road 87#, Changsha 410008, China.

Nosocomial Infection Control Center, Xiangya Hospital of Central South University, Changsha, China.

出版信息

Eur Heart J. 2025 Jul 14;46(27):2673-2687. doi: 10.1093/eurheartj/ehaf256.

Abstract

BACKGROUND AND AIMS

Earlier studies evaluated the association between systolic blood pressure variability (SBPV) measured during a single period and risk of health outcomes. This study expanded upon existing evidence by examining the association between changes in SBPV over time and clinical outcomes in primary care settings.

METHODS

Visit-to-visit SBPV was determined as standard deviation of ≥3 systolic blood pressure values measured at 5-10 (Period 1) and 0-5 (Period 2) years before enrolment in the UK Biobank. Cox proportional hazards models were used to evaluate associations of absolute changes in SBPV and SBPV change patterns between these two periods with risk of cardiovascular disease (CVD), coronary heart disease (CHD), stroke, atrial fibrillation and flutter (AF), heart failure (HF), chronic kidney disease (CKD), dementia, and overall mortality.

RESULTS

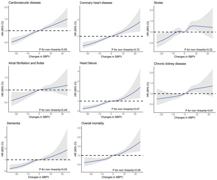
A total of 36 251 participants were included with a median follow-up time of 13.9 years. In the fully adjusted models, an increased SBPV from Period 1 to Period 2 was significantly associated with an increased risk of CVD, CHD, stroke, CKD, and overall mortality (all P for trend < .005), reflecting a 23%-33% increased risk comparing participants with an increase in SBPV above Tertile 3 with those below Tertile 1. An increase in SBPV from Period 1 to Period 2 appeared to be associated with an increased risk of AF, HF, and dementia; however, the associations did not reach statistical significance at P < .005. The restricted cubic spline analysis did not reveal non-linear associations, as all P-values for non-linearity were >.05. Regarding SBPV change patterns, compared with the participants with consistently low SBPV, participants with a consistently high SBPV during the two periods had an increased risk of CVD, CHD, stroke, AF, HF, CKD, and overall mortality, with a risk evaluation of 28%-46%. The observed associations remained largely unchanged across subgroup and sensitivity analyses.

CONCLUSIONS

An increase in SBPV over time was associated with an elevated risk of CVD, CKD, and overall mortality. These findings provide compelling evidence to inform the importance for the management of SBPV in clinical practice.

摘要

背景与目的

早期研究评估了单个时间段内测量的收缩压变异性(SBPV)与健康结局风险之间的关联。本研究通过考察初级保健环境中SBPV随时间的变化与临床结局之间的关联,扩展了现有证据。

方法

就诊间SBPV被确定为英国生物银行入组前5 - 10年(第1阶段)和0 - 5年(第2阶段)测量的≥3次收缩压值的标准差。采用Cox比例风险模型评估这两个时间段内SBPV的绝对变化以及SBPV变化模式与心血管疾病(CVD)、冠心病(CHD)、中风、心房颤动和扑动(AF)、心力衰竭(HF)、慢性肾脏病(CKD)、痴呆症及全因死亡率风险之间的关联。

结果

共纳入36251名参与者,中位随访时间为13.9年。在完全调整模型中,从第1阶段到第2阶段SBPV升高与CVD、CHD、中风、CKD及全因死亡率风险增加显著相关(所有趋势P值<0.005),与SBPV升高低于第1三分位数的参与者相比,SBPV升高高于第3三分位数的参与者风险增加23% - 33%。从第1阶段到第2阶段SBPV升高似乎与AF、HF及痴呆症风险增加有关;然而,这些关联在P<0.005时未达到统计学显著性。受限立方样条分析未揭示非线性关联,因为所有非线性P值均>.05。关于SBPV变化模式,与SBPV持续较低的参与者相比,在两个时间段内SBPV持续较高的参与者发生CVD、CHD、中风、AF、HF、CKD及全因死亡率的风险增加,风险评估为28% - 46%。在亚组分析和敏感性分析中观察到的关联基本保持不变。

结论

SBPV随时间增加与CVD、CKD及全因死亡率风险升高相关。这些发现为临床实践中管理SBPV的重要性提供了有力证据。

https://cdn.ncbi.nlm.nih.gov/pmc/blobs/d49f/12257294/dc7e031df9a4/ehaf256_sga.jpg

文献检索

告别复杂PubMed语法,用中文像聊天一样搜索,搜遍4000万医学文献。AI智能推荐,让科研检索更轻松。

立即免费搜索

文件翻译

保留排版,准确专业,支持PDF/Word/PPT等文件格式,支持 12+语言互译。

免费翻译文档

深度研究

AI帮你快速写综述,25分钟生成高质量综述,智能提取关键信息,辅助科研写作。

立即免费体验