Suppr超能文献

用于高效极限学习机训练和全局数值优化的基于鹈鹕导航与竞争的鹦鹉优化算法(SNCPO)

Salp Navigation and Competitive based Parrot Optimizer (SNCPO) for efficient extreme learning machine training and global numerical optimization.

作者信息

Adegboye Oluwatayomi Rereloluwa, Feda Afi Kekeli, Tejani Ghanshyam G, Smerat Aseel, Kumar Pankaj, Agyekum Ephraim Bonah

机构信息

University of Mediterranean Karpasia, Mersin-10, TR-10 Mersin, Mersin, Northern Cyprus, Turkey.

Advanced Research Centre, European University of Lefke, TR-10 Mersin, Lefke, Northern Cyprus, Turkey.

出版信息

Sci Rep. 2025 Apr 21;15(1):13704. doi: 10.1038/s41598-025-97661-5.

Abstract

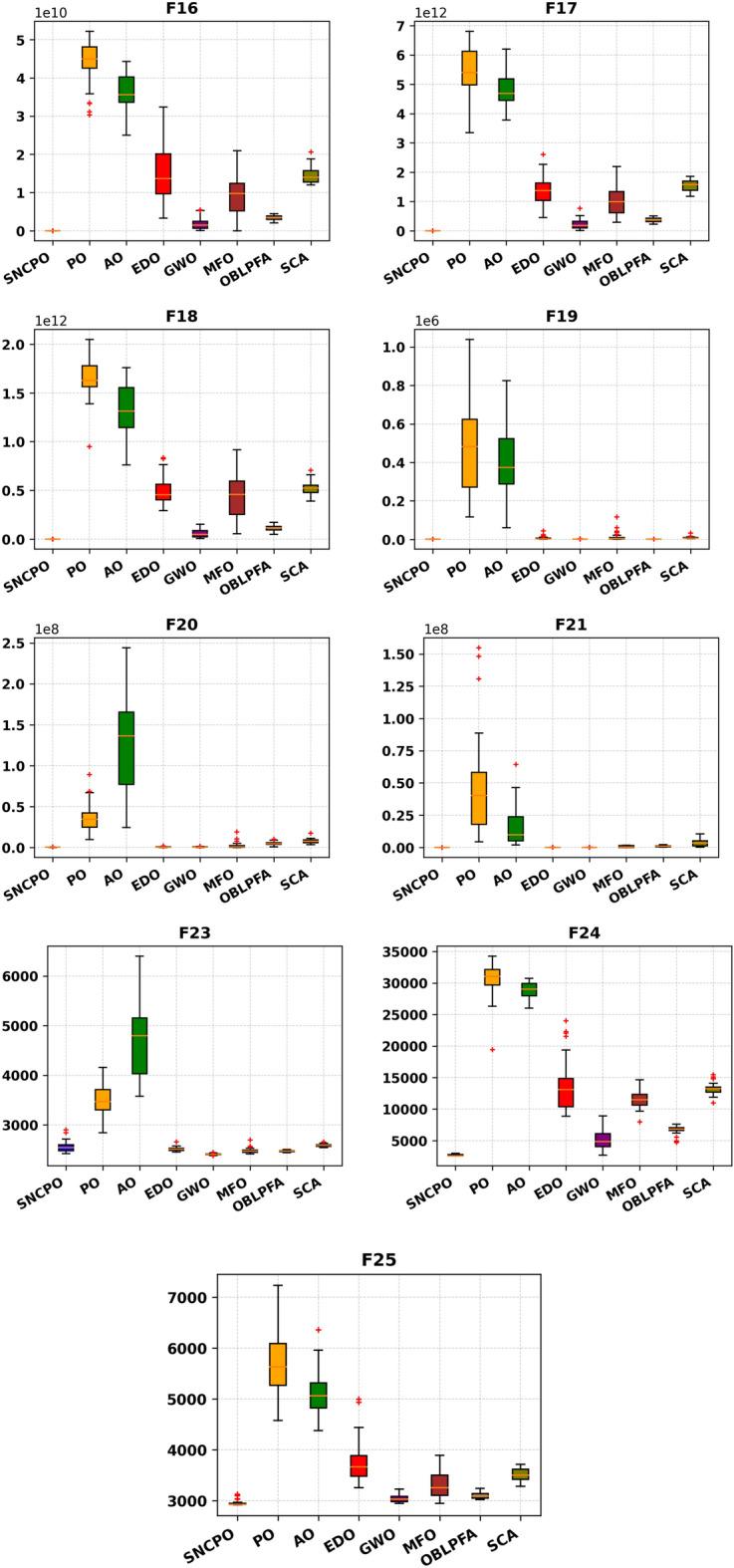
Metaheuristic optimization algorithms play a crucial role in solving complex real-world problems, including machine learning parameter tuning, yet many existing approaches struggle with maintaining an effective balance between exploration and exploitation, leading to premature convergence and suboptimal solutions. The traditional Parrot Optimizer (PO) is an efficient swarm-based technique; however, it suffers from inadequate adaptability in transitioning between exploration and exploitation, limiting its ability to escape local optima. To address these challenges, this paper introduces the Salp Navigation and Competitive based Parrot Optimizer (SNCPO), a novel hybrid algorithm that integrates Competitive Swarm Optimization (CSO) and the Salp Swarm Algorithm (SSA) into the PO framework. Specifically, SNCPO employs a pairwise competitive learning strategy from CSO, which divides the population into winners and losers. Winners are refined using SSA-inspired salp navigation, enabling enhanced global search in the early stages and a dynamic transition to exploitation. Meanwhile, losers are updated using PO's communication strategy, reinforcing solution diversity and exploration. To validate the efficacy of SNCPO, rigorous experimental evaluations were conducted on CEC2015 and CEC2020 benchmark functions, four engineering design optimization problems, and Extreme Learning Machine (ELM) training tasks across 14 datasets. The results demonstrate that SNCPO consistently outperforms existing state-of-the-art algorithms, achieving superior convergence speed, solution quality, and robustness while effectively avoiding local optima. Notably, SNCPO exhibits strong adaptability to diverse optimization landscapes, reinforcing its potential for real-world engineering and machine learning applications.

摘要

元启发式优化算法在解决复杂的实际问题中起着至关重要的作用,包括机器学习参数调整,但许多现有方法在探索和利用之间难以保持有效的平衡,导致过早收敛和次优解。传统的鹦鹉优化器(PO)是一种基于群体的有效技术;然而,它在探索和利用之间转换时适应性不足,限制了其逃离局部最优的能力。为了应对这些挑战,本文介绍了基于鹈鹕导航和竞争的鹦鹉优化器(SNCPO),这是一种新颖的混合算法,它将竞争群体优化(CSO)和鹈鹕群算法(SSA)集成到PO框架中。具体而言,SNCPO采用了CSO的成对竞争学习策略,将群体分为赢家和输家。赢家使用受SSA启发的鹈鹕导航进行优化,在早期阶段增强全局搜索并动态过渡到利用阶段。同时,输家使用PO的通信策略进行更新,加强解的多样性和探索性。为了验证SNCPO的有效性,对CEC2015和CEC2020基准函数、四个工程设计优化问题以及14个数据集上的极限学习机(ELM)训练任务进行了严格的实验评估。结果表明,SNCPO始终优于现有的最先进算法,在有效避免局部最优的同时,实现了卓越的收敛速度、解的质量和鲁棒性。值得注意的是,SNCPO对不同的优化环境表现出很强的适应性,增强了其在实际工程和机器学习应用中的潜力。

https://cdn.ncbi.nlm.nih.gov/pmc/blobs/8b3f/12012187/ee4dc89fc7ad/41598_2025_97661_Figa_HTML.jpg

文献AI研究员

20分钟写一篇综述,助力文献阅读效率提升50倍。

立即体验

用中文搜PubMed

大模型驱动的PubMed中文搜索引擎

马上搜索

文档翻译

学术文献翻译模型,支持多种主流文档格式。

立即体验