Suppr超能文献

一种完全人源化中和抗体在体内和体外对乙肝病毒复制的抑制作用

Inhibition of HBV Replication by a Fully Humanized Neutralizing Antibody In Vivo and In Vitro.

作者信息

Zhang Zhipeng, Ma Yanqin, He Yan, Wang Dong, Song Huaien, Yue Kun, Zhang Xiaomei

机构信息

Laboratory of Pharmaceutical Engineering, School of Life Science and Health Engineering, Jiangnan University, Wuxi, 214122 China.

Suzhou Hepa Thera Biopharmaceutical Co., Ltd., Shanghai, 200120 China.

出版信息

Acta Naturae. 2025 Jan-Mar;17(1):97-105. doi: 10.32607/actanaturae.27457.

Abstract

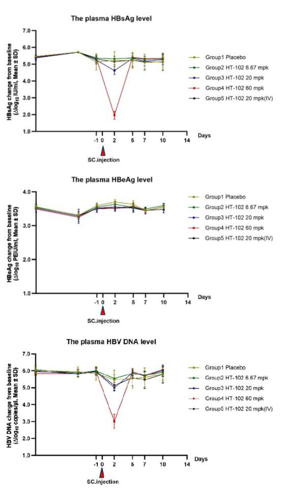
Neutralizing antibodies are capable of specifically binding to the HBsAg virus, thereby preventing HBV infection and subsequently reducing viral antigen load in both the liver and systemic circulation. This has significant implications for restoring the postnatal immune function. By utilizing the phage antibody library technology, we successfully screened a fully humanized neutralizing antibody targeting the hepatitis B surface antigen. The antiviral activity was assessed in primary human hepatocytes (PHHs) by determining the EC values for HBeAg and HBsAg biomarkers in HBV types B, C, and D; no cytotoxicity was observed within the tested concentration range. Furthermore, HT-102 exhibited no ADCC effect but displayed a weak CDC effect along with a dose-dependent response. We established an AAV/HBV mouse model and observed significant dose-dependent reduction in HBsAg and HBV DNA levels for both the medium-dose and highdose groups. The immunohistochemical staining data showed dose-dependent reduction in HBsAg expression in the liver, with high-dose group exhibiting minimal positive expression. Finally, a mild immune response was induced, while reducing the burden of antigen-antibody complexes circulating within the system. Consequently, strain on the patient's immune system was alleviated by effectively slowing down CD8T lymphocyte depletion, and functional cure was ultimately achieved as intended.

摘要

中和抗体能够特异性结合乙肝表面抗原病毒,从而预防乙肝病毒感染,并随后降低肝脏和全身循环中的病毒抗原载量。这对于恢复产后免疫功能具有重要意义。通过利用噬菌体抗体库技术,我们成功筛选出一种靶向乙肝表面抗原的完全人源化中和抗体。通过测定B、C和D型乙肝病毒中HBeAg和HBsAg生物标志物的EC值,在原代人肝细胞(PHHs)中评估了其抗病毒活性;在测试浓度范围内未观察到细胞毒性。此外,HT-102没有表现出ADCC效应,但表现出较弱的补体依赖的细胞毒作用(CDC)效应以及剂量依赖性反应。我们建立了AAV/乙肝病毒小鼠模型,观察到中剂量和高剂量组的HBsAg和乙肝病毒DNA水平均有显著的剂量依赖性降低。免疫组化染色数据显示肝脏中HBsAg表达呈剂量依赖性降低,高剂量组阳性表达最少。最后,诱导了轻微的免疫反应,同时减少了系统内循环的抗原-抗体复合物的负担。因此,通过有效减缓CD8T淋巴细胞耗竭,减轻了患者免疫系统的压力,最终按预期实现了功能性治愈。

https://cdn.ncbi.nlm.nih.gov/pmc/blobs/f67d/12011186/36668bd77634/AN20758251-17-01-097-g001.jpg

文献检索

告别复杂PubMed语法,用中文像聊天一样搜索,搜遍4000万医学文献。AI智能推荐,让科研检索更轻松。

立即免费搜索

文件翻译

保留排版,准确专业,支持PDF/Word/PPT等文件格式,支持 12+语言互译。

免费翻译文档

深度研究

AI帮你快速写综述,25分钟生成高质量综述,智能提取关键信息,辅助科研写作。

立即免费体验