• 文献检索
  • 文档翻译
  • 深度研究
  • 学术资讯
  • Suppr Zotero 插件Zotero 插件
  • 邀请有礼
  • 套餐&价格
  • 历史记录
应用&插件
Suppr Zotero 插件Zotero 插件浏览器插件Mac 客户端Windows 客户端微信小程序
定价
高级版会员购买积分包购买API积分包
服务
文献检索文档翻译深度研究API 文档MCP 服务
关于我们
关于 Suppr公司介绍联系我们用户协议隐私条款
关注我们

Suppr 超能文献

核心技术专利:CN118964589B侵权必究
粤ICP备2023148730 号-1Suppr @ 2026

文献检索

告别复杂PubMed语法,用中文像聊天一样搜索,搜遍4000万医学文献。AI智能推荐,让科研检索更轻松。

立即免费搜索

文件翻译

保留排版,准确专业,支持PDF/Word/PPT等文件格式,支持 12+语言互译。

免费翻译文档

深度研究

AI帮你快速写综述,25分钟生成高质量综述,智能提取关键信息,辅助科研写作。

立即免费体验

低压化学气相沉积氮化硅工艺研究及其对AlGaN/GaN MISHEMTs界面特性的影响

Low-Pressure Chemical Vapor Deposition SiN Process Study and Its Impact on Interface Characteristics of AlGaN/GaN MISHEMTs.

作者信息

Sun Hu, Fan Qian, Ni Xianfeng, Luo Qiang, Gu Xing

机构信息

Institute of Next Generation Semiconductor Materials, Southeast University, Suzhou 215123, China.

出版信息

Micromachines (Basel). 2025 Apr 9;16(4):442. doi: 10.3390/mi16040442.

DOI:10.3390/mi16040442
PMID:40283317
原文链接:https://pmc.ncbi.nlm.nih.gov/articles/PMC12029809/
Abstract

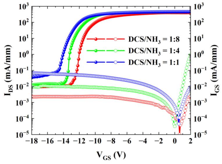
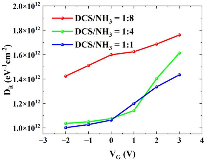
This study employed low-pressure chemical vapor deposition (LPCVD) SiN as both the gate dielectric layer and surface passivation layer, systematically investigating the effects of different growth conditions on the dielectric layer quality, two-dimensional electron gas (2DEG) characteristics, interface trap density, and devices' performance, thereby optimizing the growth parameters of LPCVD SiN. The experiment investigated the effects of growth parameters such as the growth temperature, chamber pressure, and gas flow ratio on the growth rate of SiN during the process of growing SiN using the LPCVD technique. Further studies were performed to analyze the impact of SiN introduction on the 2DEG performance. The results indicated that both Si-rich and N-rich SiN compositions could enhance the 2DEG density improvement induced by SiN passivation. The impact of the gas flow ratio on the interface trap density is studied. Through the quantitative characterization of the interface trap density using the pulse-mode I-V method and frequency-dependent capacitance-voltage (C-V) measurement, the results show that the interface trap density decreases with an increased Si-to-N ratio.

摘要

本研究采用低压化学气相沉积(LPCVD)氮化硅作为栅极介电层和表面钝化层,系统地研究了不同生长条件对介电层质量、二维电子气(2DEG)特性、界面陷阱密度和器件性能的影响,从而优化LPCVD氮化硅的生长参数。实验研究了在使用LPCVD技术生长氮化硅的过程中,生长温度、腔室压力和气体流量比等生长参数对氮化硅生长速率的影响。进一步开展研究以分析氮化硅引入对二维电子气性能的影响。结果表明,富硅和富氮的氮化硅成分均可增强由氮化硅钝化引起的二维电子气密度提升。研究了气体流量比对界面陷阱密度的影响。通过使用脉冲模式I-V方法和频率相关电容-电压(C-V)测量对界面陷阱密度进行定量表征,结果表明界面陷阱密度随硅氮比的增加而降低。

https://cdn.ncbi.nlm.nih.gov/pmc/blobs/e612/12029809/86f4d2a407e6/micromachines-16-00442-g011.jpg
https://cdn.ncbi.nlm.nih.gov/pmc/blobs/e612/12029809/329231979a3b/micromachines-16-00442-g001.jpg
https://cdn.ncbi.nlm.nih.gov/pmc/blobs/e612/12029809/80375ea95cde/micromachines-16-00442-g002.jpg
https://cdn.ncbi.nlm.nih.gov/pmc/blobs/e612/12029809/7a5464239f20/micromachines-16-00442-g003.jpg
https://cdn.ncbi.nlm.nih.gov/pmc/blobs/e612/12029809/b29152031d1d/micromachines-16-00442-g004.jpg
https://cdn.ncbi.nlm.nih.gov/pmc/blobs/e612/12029809/792d0143b469/micromachines-16-00442-g005.jpg
https://cdn.ncbi.nlm.nih.gov/pmc/blobs/e612/12029809/eeb6260c549c/micromachines-16-00442-g006.jpg
https://cdn.ncbi.nlm.nih.gov/pmc/blobs/e612/12029809/60ef9e988517/micromachines-16-00442-g007.jpg
https://cdn.ncbi.nlm.nih.gov/pmc/blobs/e612/12029809/c1f922300bed/micromachines-16-00442-g008.jpg
https://cdn.ncbi.nlm.nih.gov/pmc/blobs/e612/12029809/d3f5fd08b9b8/micromachines-16-00442-g009.jpg
https://cdn.ncbi.nlm.nih.gov/pmc/blobs/e612/12029809/666238222f11/micromachines-16-00442-g010.jpg
https://cdn.ncbi.nlm.nih.gov/pmc/blobs/e612/12029809/86f4d2a407e6/micromachines-16-00442-g011.jpg
https://cdn.ncbi.nlm.nih.gov/pmc/blobs/e612/12029809/329231979a3b/micromachines-16-00442-g001.jpg
https://cdn.ncbi.nlm.nih.gov/pmc/blobs/e612/12029809/80375ea95cde/micromachines-16-00442-g002.jpg
https://cdn.ncbi.nlm.nih.gov/pmc/blobs/e612/12029809/7a5464239f20/micromachines-16-00442-g003.jpg
https://cdn.ncbi.nlm.nih.gov/pmc/blobs/e612/12029809/b29152031d1d/micromachines-16-00442-g004.jpg
https://cdn.ncbi.nlm.nih.gov/pmc/blobs/e612/12029809/792d0143b469/micromachines-16-00442-g005.jpg
https://cdn.ncbi.nlm.nih.gov/pmc/blobs/e612/12029809/eeb6260c549c/micromachines-16-00442-g006.jpg
https://cdn.ncbi.nlm.nih.gov/pmc/blobs/e612/12029809/60ef9e988517/micromachines-16-00442-g007.jpg
https://cdn.ncbi.nlm.nih.gov/pmc/blobs/e612/12029809/c1f922300bed/micromachines-16-00442-g008.jpg
https://cdn.ncbi.nlm.nih.gov/pmc/blobs/e612/12029809/d3f5fd08b9b8/micromachines-16-00442-g009.jpg
https://cdn.ncbi.nlm.nih.gov/pmc/blobs/e612/12029809/666238222f11/micromachines-16-00442-g010.jpg
https://cdn.ncbi.nlm.nih.gov/pmc/blobs/e612/12029809/86f4d2a407e6/micromachines-16-00442-g011.jpg

相似文献

1
Low-Pressure Chemical Vapor Deposition SiN Process Study and Its Impact on Interface Characteristics of AlGaN/GaN MISHEMTs.低压化学气相沉积氮化硅工艺研究及其对AlGaN/GaN MISHEMTs界面特性的影响
Micromachines (Basel). 2025 Apr 9;16(4):442. doi: 10.3390/mi16040442.
2
Comprehensive Comparison of MOCVD- and LPCVD-SiN Surface Passivation for AlGaN/GaN HEMTs for 5G RF Applications.用于5G射频应用的AlGaN/GaN高电子迁移率晶体管的MOCVD和LPCVD-SiN表面钝化的综合比较
Micromachines (Basel). 2023 Nov 16;14(11):2104. doi: 10.3390/mi14112104.
3
Study on the Hydrogen Effect and Interface/Border Traps of a Depletion-Mode AlGaN/GaN High-Electron-Mobility Transistor with a SiN Gate Dielectric at Different Temperatures.不同温度下具有SiN栅介质的耗尽型AlGaN/GaN高电子迁移率晶体管的氢效应及界面/边界陷阱研究
Micromachines (Basel). 2024 Jan 24;15(2):171. doi: 10.3390/mi15020171.
4
Improved Electrical Properties of AlGaN/GaN High-Electron-Mobility Transistors by Tailoring the SiN Passivation Layer.通过定制SiN钝化层改善AlGaN/GaN高电子迁移率晶体管的电学性能
ACS Appl Mater Interfaces. 2021 Apr 21;13(15):18264-18273. doi: 10.1021/acsami.1c01241. Epub 2021 Apr 6.
5
Low Leakage Current and High Breakdown Field AlGaN/GaN MIS-HEMTs Using PECVD-SiN as a Gate Dielectric.采用PECVD-SiN作为栅介质的低漏电流和高击穿场AlGaN/GaN MIS-HEMTs
Micromachines (Basel). 2022 Aug 26;13(9):1396. doi: 10.3390/mi13091396.
6
High Breakdown Voltage and Low Dynamic ON-Resistance AlGaN/GaN HEMT with Fluorine Ion Implantation in SiN Passivation Layer.在SiN钝化层中进行氟离子注入的具有高击穿电压和低动态导通电阻的AlGaN/GaN高电子迁移率晶体管。
Nanoscale Res Lett. 2019 Jun 4;14(1):191. doi: 10.1186/s11671-019-3025-8.
7
AlGaN/GaN MISHEMTs with AlN gate dielectric grown by thermal ALD technique.采用热原子层沉积技术生长具有氮化铝栅介质的氮化铝镓/氮化镓金属-绝缘体-半导体高电子迁移率晶体管。
Nanoscale Res Lett. 2015 Mar 4;10:109. doi: 10.1186/s11671-015-0802-x. eCollection 2015.
8
Rear-Sided Passivation by SiNx:H Dielectric Layer for Improved Si/PEDOT:PSS Hybrid Heterojunction Solar Cells.用于改进硅/聚(3,4-乙撑二氧噻吩):聚苯乙烯磺酸混合异质结太阳能电池的SiNx:H介电层背面钝化
Nanoscale Res Lett. 2016 Dec;11(1):310. doi: 10.1186/s11671-016-1505-7. Epub 2016 Jun 28.
9
Insight into the Near-Conduction Band States at the Crystallized Interface between GaN and SiN Grown by Low-Pressure Chemical Vapor Deposition.低压化学气相沉积生长的 GaN 和 SiN 结晶界面近导带态的研究。
ACS Appl Mater Interfaces. 2018 Jun 27;10(25):21721-21729. doi: 10.1021/acsami.8b04694. Epub 2018 Jun 12.
10
Steep Subthreshold Swing and Enhanced Illumination Stability InGaZnO Thin-Film Transistor by Plasma Oxidation on Silicon Nitride Gate Dielectric.通过在氮化硅栅介质上进行等离子体氧化制备的具有陡峭亚阈值摆幅和增强光照稳定性的铟镓锌氧化物薄膜晶体管。
Membranes (Basel). 2021 Nov 22;11(11):902. doi: 10.3390/membranes11110902.

引用本文的文献

1
Editorial for the Special Issue on GaN-Based Materials and Devices: Research and Applications.《基于氮化镓的材料与器件:研究与应用》特刊社论
Micromachines (Basel). 2025 May 29;16(6):652. doi: 10.3390/mi16060652.

本文引用的文献

1
Improved Electrical Properties of AlGaN/GaN High-Electron-Mobility Transistors by Tailoring the SiN Passivation Layer.通过定制SiN钝化层改善AlGaN/GaN高电子迁移率晶体管的电学性能
ACS Appl Mater Interfaces. 2021 Apr 21;13(15):18264-18273. doi: 10.1021/acsami.1c01241. Epub 2021 Apr 6.
2
An Overview of Normally-Off GaN-Based High Electron Mobility Transistors.基于氮化镓的常关型高电子迁移率晶体管概述。
Materials (Basel). 2019 May 15;12(10):1599. doi: 10.3390/ma12101599.
3
Insight into the Near-Conduction Band States at the Crystallized Interface between GaN and SiN Grown by Low-Pressure Chemical Vapor Deposition.
低压化学气相沉积生长的 GaN 和 SiN 结晶界面近导带态的研究。
ACS Appl Mater Interfaces. 2018 Jun 27;10(25):21721-21729. doi: 10.1021/acsami.8b04694. Epub 2018 Jun 12.