Suppr超能文献

(L.) Merrill寡肽与单糖的共轭:一种在药妆应用中提高稳定性和功效的新方法。

Conjugation of (L.) Merrill Oligopeptide with Monosaccharides: A Novel Approach for Stability and Efficacy in Cosmeceutical Applications.

作者信息

Chaiyana Wantida, Jiamphun Sudarat, Phongphisutthinant Rewat, Chaipoot Supakit, Wiriyacharee Pairote

机构信息

Department of Pharmaceutical Sciences, Faculty of Pharmacy, Chiang Mai University, Chiang Mai 50200, Thailand.

Multidisciplinary and Interdisciplinary School, Chiang Mai University, Chiang Mai 50200, Thailand.

出版信息

Pharmaceutics. 2025 Apr 17;17(4):530. doi: 10.3390/pharmaceutics17040530.

Abstract

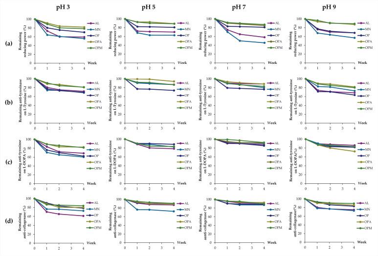
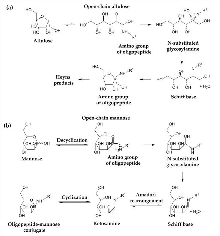
: Conjugation techniques are increasingly valued in food chemistry for enhancing sensory properties, nutritional profiles, and bioactivity, with potential applications in cosmeceuticals. This study aimed to investigate the potential of (L.) Merrill oligopeptide-monosaccharide conjugates as active ingredients in cosmeceuticals, emphasizing their biological activities and stability. : isolate was prepared and subsequently hydrolyzed using alcalase to obtain the oligopeptide (OP). The OP was then conjugated with allulose (AL) or mannose (MN) through a controlled humid-dry heating process to produce the conjugates, OPA and OPM, respectively. Their biological activities, including antioxidant, anti-tyrosinase, anti-collagenase, anti-elastase, and anti-hyaluronidase properties, were assessed and compared to the individual components. Additionally, the irritation potential was evaluated using the hen's egg test on chorioallantoic membrane (HET-CAM). The stability was examined under varying pH levels, temperatures, and light conditions based on their biological activity profiles. : OPA demonstrated the highest antioxidant activity, showing the lowest DPPH IC value of 198.6 ± 2.7 µg/mL along with a strong ferric reducing power of 1.37 ± 0.04 µg FeSO/g sample. Besides, OPM showed superior tyrosinase inhibition on both L-tyrosine and L-DOPA substrates, highlighting its potential for skin whitening. Both OPA and OPM significantly enhanced collagenase inhibition, supporting their anti-aging potential. All samples were non-irritating in the HET-CAM test. The conjugates (OPA and OPM) demonstrated enhanced stability against pH, heat, and light compared to OP, AL, and MN. : Oligopeptide-monosaccharide conjugation not only improved bioactivity but also enhanced biological stability, suggesting their potential for use in cosmeceutical applications.

摘要

在食品化学中,共轭技术因可增强感官特性、营养成分和生物活性而越来越受到重视,在药妆品领域也有潜在应用。本研究旨在探讨毛萼口红花(Merrill)寡肽 - 单糖共轭物作为药妆品活性成分的潜力,重点研究其生物活性和稳定性。制备了毛萼口红花分离物,随后用碱性蛋白酶水解以获得寡肽(OP)。然后通过控制的湿 - 干加热过程将OP与阿洛酮糖(AL)或甘露糖(MN)共轭,分别生成共轭物OPA和OPM。评估了它们的生物活性,包括抗氧化、抗酪氨酸酶、抗胶原酶、抗弹性蛋白酶和抗透明质酸酶特性,并与单个成分进行了比较。此外,使用鸡胚绒毛尿囊膜试验(HET - CAM)评估了刺激潜力。根据它们的生物活性概况,在不同的pH值、温度和光照条件下检查了稳定性。OPA表现出最高的抗氧化活性,DPPH IC值最低,为198.6±2.7μg/mL,同时具有1.37±0.04μg FeSO/g样品的强铁还原能力。此外,OPM对L - 酪氨酸和L - DOPA底物均表现出优异的酪氨酸酶抑制作用,突出了其美白皮肤的潜力。OPA和OPM均显著增强了胶原酶抑制作用,支持了它们的抗老化潜力。所有样品在HET - CAM试验中均无刺激性。与OP、AL和MN相比,共轭物(OPA和OPM)对pH、热和光表现出更高的稳定性。寡肽 - 单糖共轭不仅提高了生物活性,还增强了生物稳定性,表明它们在药妆品应用中的潜力。

https://cdn.ncbi.nlm.nih.gov/pmc/blobs/985d/12030192/be08a2c23d9b/pharmaceutics-17-00530-g001.jpg

文献检索

告别复杂PubMed语法,用中文像聊天一样搜索,搜遍4000万医学文献。AI智能推荐,让科研检索更轻松。

立即免费搜索

文件翻译

保留排版,准确专业,支持PDF/Word/PPT等文件格式,支持 12+语言互译。

免费翻译文档

深度研究

AI帮你快速写综述,25分钟生成高质量综述,智能提取关键信息,辅助科研写作。

立即免费体验