Herbaux Charles, Bachy Emmanuel, Bouabdallah Reda, Guidez Stéphanie, Casasnovas Olivier, Feugier Pierre, Damaj Gandhi, Tilly Hervé, Ysebaert Loïc, Le Gouill Steven, Morineau Nadine, Gyan Emmanuel, Gressin Rémy, Houot Roch, Cheminant Morgane, Morschhauser Franck, Thieblemont Catherine, Haioun Corinne, Nicolas-Virelizier Emmanuelle, Fornecker Luc-Matthieu, Daguindau Nicolas, Cartron Guillaume
Service d'Hématologie Clinique, UMR-CNRS 5535, CHU Montpellier, Université de Montpellier, Montpellier Cedex, France.
Institute of Human Genetics, UMR CNRS-UM, 9002, Montpellier, France.
Br J Haematol. 2025 Jul;207(1):110-122. doi: 10.1111/bjh.20109. Epub 2025 Apr 26.
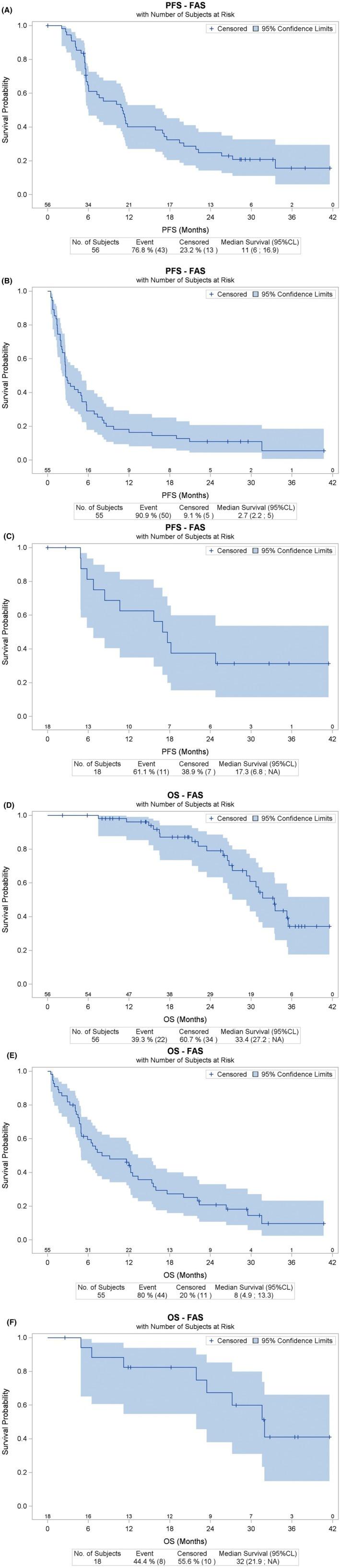
Developing new therapeutic regimens for relapsed/refractory (R/R) B non-Hodgkin lymphoma (NHL) patients remains a significant unmet clinical need. Our objective was to evaluate atezolizumab (ATE), obinutuzumab (OBI) and venetoclax (VEN) combination in patients with R/R NHL who had received at least one prior anti-CD20-containing immunochemotherapy regimen. We report here the final analysis of the phase II LYSA-promoted multicentre trial (NCT03276468) of this combination in follicular lymphoma (FL, n = 58), diffuse large B-cell lymphoma (DLBCL, n = 58) and marginal zone lymphoma (MZL, n = 20). The primary end-point for FL and DLBCL was not met: ATE, OBI, and VEN resulted in an overall response rate (ORR) at the end of induction (EOI) of 53.6% for FL (cohort 1) and 23.6% for DLBCL (cohort 2) when a minimum of 70% and 48% was expected respectively. The median progression-free survival was 11.0 and 2.7 months in cohorts 1 and 2 respectively. In cohort 3 (MZL), the ORR at the EOI was evaluated at 66.7%. The most frequent adverse events (AEs) were cytopenias. We also observed 7.4% of autoimmune AE imputable to the combination. In this phase II study, ATE, OBI and VEN demonstrated moderate efficacy and a manageable toxicity profile when used as induction and maintenance therapy.
为复发/难治性(R/R)B细胞非霍奇金淋巴瘤(NHL)患者开发新的治疗方案仍然是一项重大的未满足的临床需求。我们的目标是评估阿特珠单抗(ATE)、奥妥珠单抗(OBI)和维奈克拉(VEN)联合用药方案在接受过至少一种含抗CD20免疫化疗方案的R/R NHL患者中的疗效。我们在此报告了由LYSA推动的该联合用药方案在滤泡性淋巴瘤(FL,n = 58)、弥漫性大B细胞淋巴瘤(DLBCL,n = 58)和边缘区淋巴瘤(MZL,n = 20)中的II期多中心试验(NCT03276468)的最终分析结果。FL和DLBCL的主要终点未达到:ATE、OBI和VEN联合用药方案在诱导期结束时(EOI),FL(队列1)的总缓解率(ORR)为53.6%,而DLBCL(队列2)为23.6%,而预期的最低缓解率分别为70%和48%。队列1和队列2的中位无进展生存期分别为11.0个月和2.7个月。在队列3(MZL)中,EOI时的ORR评估为66.7%。最常见的不良事件(AE)是血细胞减少。我们还观察到7.4%的自身免疫性AE可归因于该联合用药方案。在这项II期研究中,ATE、OBI和VEN联合用药方案作为诱导和维持治疗时显示出中等疗效和可管理的毒性特征。