Suppr超能文献

双斑埃皮茧蜂肠道真菌的多样性、抗菌和植物毒性活性

Diversity, antibacterial and phytotoxic activities of intestinal fungi from Epitheca bimaculata.

作者信息

Kong Kun, Yan Zhe, Liu Mengru, Wang Ye, Xiang Zilin, Yin Caiping, Zhang Yinglao

机构信息

School of Life Sciences, Anhui Agricultural University, Hefei, 230036, China.

出版信息

BMC Microbiol. 2025 Apr 26;25(1):249. doi: 10.1186/s12866-025-03756-4.

Abstract

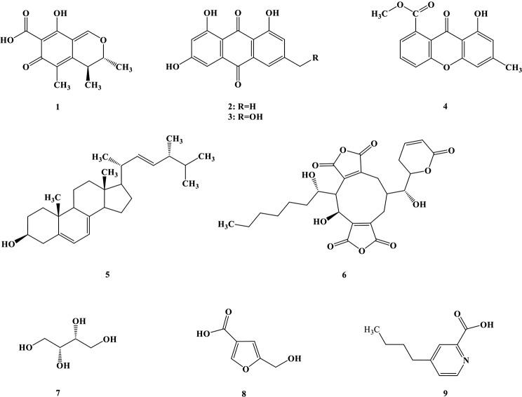
Insect gut fungi, as specialized microorganisms, are a significant source of bioactive compounds. However, there is currently no systematic research on the diversity of gut fungi in Epitheca bimaculata and their bioactive secondary metabolites. A total of 54 strains of gut fungi were isolated and purified from the gut of E. bimaculata using 12 different isolation media. The identification results revealed that these fungal strains were distributed across seven classes (Agaricomycetes, Cystobasidiomycetes, Eurotiomycetes, Dothideomycetes, Sordariomycetes, Saccharomycetes, and Zygomycetes) in 17 genera. The dominant genera were Irpex, Cladosporium, Penicillium, Mucor, and Talaromyces, with isolation frequencies of 14.81%, 12.96%, 12.96%, 11.11%, and 9.25%, respectively. Antibacterial tests showed that six strains extracts exhibited inhibitory activity against at least one of the tested bacteria (Staphylococcus aureus, Micrococcus tetragenus, Escherichia coli, and Pseudomonas syringae pv. actinidiae). Phytotoxic tests indicated that strains QTU-39, QTU-22, QTU-9, QTU-41, QTU-37, QTU-28, and QTU-25 showed strong phytotoxic activity against Echinochloa crusgalli with the inhibition rate of exceeding 93.5%. Seven monomer compounds, including citrinin (1), emodin (2), citreorosein (3), 8-hydroxy-6-methyl-9-oxo-9 H-xanthene-1-carboxylic acid methyl ester (4), ergosterol (5), rubratoxin B (6), and erythrol (7), and two compounds, including flufuran (8) and 4-N-butylpyridine-2-carboxylic acid (9) were isolated from Penicillium sp. QTU-25 and Pestalotiopsis sp. QTU-28, respectively. Among these, compound 1 exhibited strong antibacterial activity against four pathogenic bacteria (S. aureus, M. tetragenus, E. coli, and P. syringae pv. actinidiae), with the IZD of 20.0, 18.0, 22.3, 24.1 mm, which were equal to those of positive gentamicin sulfate with the IZD of 25.7, 22.7, 27.6, 24.6 mm, respectively. Compound 9 also exhibited strong antibacterial activity against S. aureus, M. tetragenus, E. coli, and P. syringae pv. actinidiae, with the IZD of 14.3, 17.3, 13.3, and 21.1 mm, respectively. Furthermore, compounds 1 and 6 exhibited strong phytotoxic activity against E. crusgalli and Abutilon theophrasti with an inhibition rate of 97.4% and 87.4% at a concentration of 100 µg/mL, respectively. In conclusion, the fungi isolated from the gut of E. bimaculata exhibited significant microbial diversity, representing a promising natural source of antibacterial and herbicidal compounds.

摘要

昆虫肠道真菌作为一类特殊的微生物,是生物活性化合物的重要来源。然而,目前尚未对双斑阔胫萤叶甲肠道真菌的多样性及其生物活性次生代谢产物进行系统研究。采用12种不同的分离培养基,从双斑阔胫萤叶甲肠道中分离并纯化出54株肠道真菌。鉴定结果表明,这些真菌菌株分布在17个属的7个纲中(伞菌纲、外担菌纲、散囊菌纲、座囊菌纲、粪壳菌纲、酵母纲和接合菌纲)。优势属为耙齿菌属、枝孢属、青霉属、毛霉属和拟青霉属,分离频率分别为14.81%、12.96%、12.96%、11.11%和9.25%。抗菌试验表明,6株菌株的提取物对至少一种受试细菌(金黄色葡萄球菌、四联微球菌、大肠杆菌和猕猴桃溃疡病菌)具有抑制活性。植物毒性试验表明,菌株QTU - 39、QTU - 22、QTU - 9、QTU - 41、QTU - 37、QTU - 28和QTU - 25对稗草具有较强的植物毒性活性,抑制率超过93.5%。从青霉属QTU - 25和拟盘多毛孢属QTU - 28中分别分离出7种单体化合物,包括桔霉素(1)、大黄素(2)、柠檬玫瑰红素(3)、8 - 羟基 - 6 - 甲基 - 9 - 氧代 - 9H - 呫吨 - 1 - 羧酸甲酯(4)、麦角甾醇(5)、红天精(6)和赤藓醇(7),以及2种化合物,包括氟呋喃(8)和4 - N - 丁基吡啶 - 2 - 羧酸(9)。其中,化合物1对4种病原菌(金黄色葡萄球菌、四联微球菌、大肠杆菌和猕猴桃溃疡病菌)表现出较强的抗菌活性,抑菌圈直径分别为20.0、18.0、22.3、24.1 mm,与阳性对照硫酸庆大霉素的抑菌圈直径(分别为25.7、22.7、27.6、24.6 mm)相当。化合物9对金黄色葡萄球菌、四联微球菌、大肠杆菌和猕猴桃溃疡病菌也表现出较强的抗菌活性,抑菌圈直径分别为14.3、17.3、13.3和21.1 mm。此外,化合物1和6在浓度为100 μg/mL时,对稗草和苘麻表现出较强的植物毒性活性,抑制率分别为97.4%和87.4%。综上所述,从双斑阔胫萤叶甲肠道中分离出的真菌表现出显著的微生物多样性,是抗菌和除草化合物的一个有前景的天然来源。

https://cdn.ncbi.nlm.nih.gov/pmc/blobs/962c/12032641/f5d0c68829e1/12866_2025_3756_Fig1_HTML.jpg

文献检索

告别复杂PubMed语法,用中文像聊天一样搜索,搜遍4000万医学文献。AI智能推荐,让科研检索更轻松。

立即免费搜索

文件翻译

保留排版,准确专业,支持PDF/Word/PPT等文件格式,支持 12+语言互译。

免费翻译文档

深度研究

AI帮你快速写综述,25分钟生成高质量综述,智能提取关键信息,辅助科研写作。

立即免费体验