Suppr超能文献

探索学习方法与基于问题的学习之间的关系:来自医学生纵向研究的见解。

Exploring the relationship between learning approaches and problem-based learning: insights from a longitudinal study in medical students.

作者信息

Avraam D, Televantou I, Albert A P, Hitchings A W, Nicolaou S A, Papageorgiou A, McCrorie P, Nicolaou P

机构信息

Department of Basic and Clinical Sciences, University of Nicosia Medical School, Nicosia, 2417, Cyprus.

University of Nicosia Research Foundation, Nicosia, Cyprus.

出版信息

BMC Med Educ. 2025 Apr 26;25(1):619. doi: 10.1186/s12909-025-07171-1.

Abstract

BACKGROUND

Problem-based learning (PBL) is expected to encourage a deep learning approach. Whether this is realised in practice remains uncertain. We investigated the relationships between learning approaches, academic achievement and student satisfaction in an integrated PBL curriculum, among students with diverse characteristics.

METHODS

All Year 1 students of an undergraduate UK medical programme, delivered concurrently at City St George's, University of London and the University of Nicosia, were invited to participate in 2019-2020 and 2020-2021. Students completed the validated Study Process Questionnaire (SPQ) at the beginning and end of Year 1. We explored changes in learning approaches and the associations of the learning approach with academic performance (in written and clinical examinations) and student satisfaction.

RESULTS

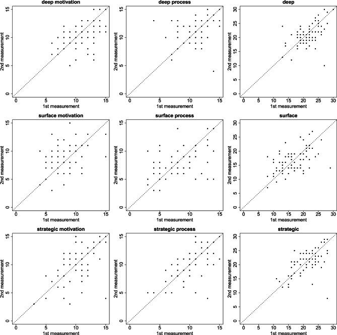
129 students participated. Deep motivation decreased significantly over the year [Baseline: 11.03 ± 2.29; End of Year 1: 10.21 ± 2.26; p < 0.05). Graphical representations and tertile analysis further showed changes in individual learning approaches. Lower deep motivation scores were observed among male students, and those who were older, white, held biomedical sciences degrees, undergraduate degrees, or were native English speakers. Conversely, higher surface motivation was seen among female students, and those who were younger or held undergraduate degrees. Nicosia students became less strategic by the end of the year. No association was found between learning approach, or its change within the year, and examination performance. However, surface learning was negatively correlated with satisfaction regarding aspects of pharmacology learning in PBL and prescribing confidence. Strategic learners preferred lectures and had mixed perceptions about learning pharmacology in PBL, although they found student diversity facilitated their learning.

CONCLUSIONS

While PBL is expected to promote deep learning, our findings show that in a real-world context, these benefits are not consistently realised. Learners adopted less favourable learning approaches over the year, with increasing reliance on surface learning and less deep motivation. Such shifts may be due to excessive workload, assessment burden or curriculum uncertainty. We have identified student groups that may be more vulnerable to the stresses of a PBL setting, which may represent targets for intervention. Future studies may also investigate curriculum adaptations to enhance deep learning in a PBL curriculum.

摘要

背景

基于问题的学习(PBL)有望促进深度学习方法。但在实践中是否能实现这一点仍不确定。我们调查了在一个综合PBL课程中,不同特征学生的学习方法、学业成绩和学生满意度之间的关系。

方法

2019 - 2020年和2020 - 2021年,邀请了英国一个本科医学项目的所有一年级学生参与研究,该项目同时在伦敦大学圣乔治学院和尼科西亚大学授课。学生在一年级开始和结束时完成经过验证的学习过程问卷(SPQ)。我们探讨了学习方法的变化以及学习方法与学业成绩(笔试和临床考试)和学生满意度之间的关联。

结果

129名学生参与了研究。一年中深度动机显著下降[基线:11.03 ± 2.29;一年级末:10.21 ± 2.26;p < 0.05]。图形表示和三分位数分析进一步显示了个体学习方法的变化。在男性学生、年龄较大的学生、白人学生、拥有生物医学科学学位的学生、拥有本科学位的学生或母语为英语的学生中,深度动机得分较低。相反,在女性学生、年龄较小的学生或拥有本科学位的学生中,表面动机较高。到年底,尼科西亚大学的学生策略性降低。未发现学习方法或其在一年内的变化与考试成绩之间存在关联。然而,表面学习与PBL中药理学学习方面的满意度和处方信心呈负相关。策略性学习者更喜欢讲座,对PBL中学习药理学有不同看法,尽管他们发现学生的多样性有助于他们的学习。

结论

虽然PBL有望促进深度学习,但我们的研究结果表明,在现实环境中,这些益处并未始终实现。学生在这一年中采用了不太有利的学习方法,对表面学习的依赖增加,深度动机减少。这种转变可能是由于工作量过大、评估负担或课程不确定性。我们已经确定了可能更容易受到PBL环境压力影响的学生群体,这可能是干预的目标。未来的研究也可以调查课程调整,以加强PBL课程中的深度学习。

https://cdn.ncbi.nlm.nih.gov/pmc/blobs/c5da/12032700/3bc0364dd26a/12909_2025_7171_Fig1_HTML.jpg

文献检索

告别复杂PubMed语法,用中文像聊天一样搜索,搜遍4000万医学文献。AI智能推荐,让科研检索更轻松。

立即免费搜索

文件翻译

保留排版,准确专业,支持PDF/Word/PPT等文件格式,支持 12+语言互译。

免费翻译文档

深度研究

AI帮你快速写综述,25分钟生成高质量综述,智能提取关键信息,辅助科研写作。

立即免费体验