• 文献检索
  • 文档翻译
  • 深度研究
  • 学术资讯
  • Suppr Zotero 插件Zotero 插件
  • 邀请有礼
  • 套餐&价格
  • 历史记录
应用&插件
Suppr Zotero 插件Zotero 插件浏览器插件Mac 客户端Windows 客户端微信小程序
定价
高级版会员购买积分包购买API积分包
服务
文献检索文档翻译深度研究API 文档MCP 服务
关于我们
关于 Suppr公司介绍联系我们用户协议隐私条款
关注我们

Suppr 超能文献

核心技术专利:CN118964589B侵权必究
粤ICP备2023148730 号-1Suppr @ 2026

文献检索

告别复杂PubMed语法,用中文像聊天一样搜索,搜遍4000万医学文献。AI智能推荐,让科研检索更轻松。

立即免费搜索

文件翻译

保留排版,准确专业,支持PDF/Word/PPT等文件格式,支持 12+语言互译。

免费翻译文档

深度研究

AI帮你快速写综述,25分钟生成高质量综述,智能提取关键信息,辅助科研写作。

立即免费体验

奥希替尼在非小细胞肺癌患者中的群体药代动力学

Population Pharmacokinetics of Osimertinib in Patients With Non-Small Cell Lung Cancer.

作者信息

Johnson Martin, Lin Yu-Wei, Schmidt Henning, Sunnaker Mikael, Van Maanen Eline, Huang Xiangning, Rukazenkov Yuri, Tomkinson Helen, Vishwanathan Karthick

机构信息

Clinical Pharmacology and Quantitative Pharmacology, Clinical Pharmacology and Safety Science, R&D, AstraZeneca, Cambridge, UK.

Certara, Radnor, Pennsylvania, USA.

出版信息

Pharmacol Res Perspect. 2025 Jun;13(3):e70098. doi: 10.1002/prp2.70098.

DOI:10.1002/prp2.70098
PMID:40289712
原文链接:https://pmc.ncbi.nlm.nih.gov/articles/PMC12035414/
Abstract

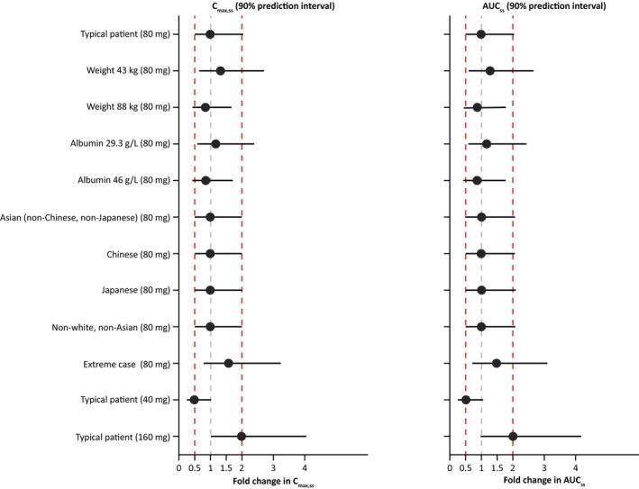
Population pharmacokinetics (popPK) modeling for osimertinib, a third-generation, irreversible, oral epidermal growth factor receptor (EGFR)-tyrosine kinase inhibitor (TKI) that potently and selectively inhibits both EGFR-TKI sensitizing mutations and EGFR T790M, was previously reported utilizing AURA and AURA2 data (advanced non-small cell lung cancer [NSCLC]). We report updated popPK modeling incorporating AURA3 and FLAURA data (advanced NSCLC); model validation used ADAURA data (resected stage IB-IIIA NSCLC). Updated popPK analyses were based on patients from AURA (n = 599), AURA2 (n = 210), AURA3 (n = 277), and FLAURA (n = 278) using a linear one-compartmental disposition model for osimertinib and its metabolite, AZ5104, with first-order oral absorption. A full covariate model, using Monte Carlo simulations, was developed to assess the effects of covariates on osimertinib and AZ5104 clearance. External validation was conducted using ADAURA study data (n = 325). In the final popPK model, the apparent clearance and volume of distribution of osimertinib (14.3 L/h; 918 L) and AZ5104 (31.3 L/h; 143 L) were comparable to previous analyses. Albumin levels and body weight influenced osimertinib PK, but the effects were not considered clinically meaningful; other covariates had no impact on PK. Goodness-of-fit plots indicated that the model adequately described all data. Visual predictive checks showed that the final model validated osimertinib steady-state PK for adjuvant treatment. PopPK modeling indicated that osimertinib dose adjustment is not required for patients' age, sex, body weight, race, smoking status, or line of therapy, confirming that a fixed 80 mg once-daily dose is optimal for osimertinib.

摘要

奥希替尼是一种第三代不可逆口服表皮生长因子受体(EGFR)酪氨酸激酶抑制剂(TKI),可有效且选择性地抑制EGFR-TKI敏感突变和EGFR T790M。此前曾利用AURA和AURA2数据(晚期非小细胞肺癌[NSCLC])报告过奥希替尼的群体药代动力学(popPK)模型。我们报告了纳入AURA3和FLAURA数据(晚期NSCLC)的更新后的popPK模型;模型验证使用了ADAURA数据(IB-IIIA期切除的NSCLC)。更新后的popPK分析基于来自AURA(n = 599)、AURA2(n = 210)、AURA3(n = 277)和FLAURA(n = 278)的患者,采用线性单室处置模型来描述奥希替尼及其代谢物AZ5104,并具有一级口服吸收。使用蒙特卡洛模拟开发了一个完整的协变量模型,以评估协变量对奥希替尼和AZ5104清除率的影响。使用ADAURA研究数据(n = 325)进行了外部验证。在最终的popPK模型中,奥希替尼(14.3 L/h;918 L)和AZ5104(31.3 L/h;143 L)的表观清除率和分布容积与先前的分析结果相当。白蛋白水平和体重影响奥希替尼的药代动力学,但这些影响在临床上不被认为有意义;其他协变量对药代动力学没有影响。拟合优度图表明该模型充分描述了所有数据。直观预测检查表明最终模型验证了奥希替尼辅助治疗的稳态药代动力学。PopPK模型表明,对于患者的年龄、性别、体重、种族、吸烟状况或治疗线,不需要调整奥希替尼剂量,证实了每天一次固定80 mg剂量对奥希替尼是最佳的。

https://cdn.ncbi.nlm.nih.gov/pmc/blobs/f4fe/12035414/3fb214c9da8b/PRP2-13-e70098-g001.jpg
https://cdn.ncbi.nlm.nih.gov/pmc/blobs/f4fe/12035414/ded1b1a9879d/PRP2-13-e70098-g005.jpg
https://cdn.ncbi.nlm.nih.gov/pmc/blobs/f4fe/12035414/745cc8908d57/PRP2-13-e70098-g006.jpg
https://cdn.ncbi.nlm.nih.gov/pmc/blobs/f4fe/12035414/b12938c93ec8/PRP2-13-e70098-g004.jpg
https://cdn.ncbi.nlm.nih.gov/pmc/blobs/f4fe/12035414/b20aeb3aa15d/PRP2-13-e70098-g003.jpg
https://cdn.ncbi.nlm.nih.gov/pmc/blobs/f4fe/12035414/3fb214c9da8b/PRP2-13-e70098-g001.jpg
https://cdn.ncbi.nlm.nih.gov/pmc/blobs/f4fe/12035414/ded1b1a9879d/PRP2-13-e70098-g005.jpg
https://cdn.ncbi.nlm.nih.gov/pmc/blobs/f4fe/12035414/745cc8908d57/PRP2-13-e70098-g006.jpg
https://cdn.ncbi.nlm.nih.gov/pmc/blobs/f4fe/12035414/b12938c93ec8/PRP2-13-e70098-g004.jpg
https://cdn.ncbi.nlm.nih.gov/pmc/blobs/f4fe/12035414/b20aeb3aa15d/PRP2-13-e70098-g003.jpg
https://cdn.ncbi.nlm.nih.gov/pmc/blobs/f4fe/12035414/3fb214c9da8b/PRP2-13-e70098-g001.jpg

相似文献

1
Population Pharmacokinetics of Osimertinib in Patients With Non-Small Cell Lung Cancer.奥希替尼在非小细胞肺癌患者中的群体药代动力学
Pharmacol Res Perspect. 2025 Jun;13(3):e70098. doi: 10.1002/prp2.70098.
2
Exposure-response modelling of osimertinib in patients with non-small cell lung cancer.奥希替尼治疗非小细胞肺癌患者的暴露-反应关系建模。
Br J Clin Pharmacol. 2024 Dec;90(12):3263-3276. doi: 10.1111/bcp.16199. Epub 2024 Aug 19.
3
Osimertinib for Japanese patients with T790M-positive advanced non-small-cell lung cancer: A pooled subgroup analysis.奥希替尼治疗 T790M 阳性晚期非小细胞肺癌日本患者:一项汇总亚组分析。
Cancer Sci. 2019 Sep;110(9):2884-2893. doi: 10.1111/cas.14120. Epub 2019 Aug 1.
4
Phase II Efficacy and Safety of 80 mg Osimertinib in Patients With Leptomeningeal Metastases Associated With Epidermal Growth Factor Receptor Mutation-Positive Non-Small Cell Lung Cancer (BLOSSOM).表皮生长因子受体突变阳性非小细胞肺癌伴脑膜转移患者中 80 毫克奥希替尼的 II 期疗效和安全性(BLOSSOM)。
J Clin Oncol. 2024 Aug 10;42(23):2747-2756. doi: 10.1200/JCO.24.00708. Epub 2024 Jun 3.
5
Long QT syndrome after using EGFR-TKIs in older patients with advanced non-small cell lung cancer.老年晚期非小细胞肺癌患者使用表皮生长因子受体酪氨酸激酶抑制剂(EGFR-TKIs)后出现长 QT 综合征。
Expert Opin Drug Saf. 2024 Aug;23(8):1007-1015. doi: 10.1080/14740338.2023.2294924. Epub 2023 Dec 18.
6
Osimertinib in Patients with T790M-Positive Advanced Non-small Cell Lung Cancer: Korean Subgroup Analysis from Phase II Studies.奥希替尼治疗 T790M 阳性晚期非小细胞肺癌患者:来自 II 期研究的韩国亚组分析。
Cancer Res Treat. 2020 Jan;52(1):284-291. doi: 10.4143/crt.2019.200. Epub 2019 Jul 23.
7
A multicenter, phase I, pharmacokinetic study of osimertinib in cancer patients with normal renal function or severe renal impairment.一项多中心、I 期、在肾功能正常或严重肾功能损害的癌症患者中评估奥希替尼药代动力学的研究。
Pharmacol Res Perspect. 2020 Aug;8(4):e00613. doi: 10.1002/prp2.613.
8
Osimertinib: A Review in Completely Resected, Early-Stage, EGFR Mutation-Positive NSCLC.奥希替尼:完全切除的、早期、EGFR 突变阳性 NSCLC 中的研究。
Target Oncol. 2022 May;17(3):369-376. doi: 10.1007/s11523-022-00883-0. Epub 2022 Jun 17.
9
FDA Benefit-Risk Assessment of Osimertinib for the Treatment of Metastatic Non-Small Cell Lung Cancer Harboring Epidermal Growth Factor Receptor T790M Mutation.FDA 对奥希替尼治疗携带表皮生长因子受体 T790M 突变的转移性非小细胞肺癌的获益-风险评估。
Oncologist. 2018 Mar;23(3):353-359. doi: 10.1634/theoncologist.2017-0425. Epub 2017 Dec 14.
10
Osimertinib long-term tolerability in patients with EGFRm NSCLC enrolled in the AURA program or FLAURA study.奥希替尼在参加AURA项目或FLAURA研究的EGFRm非小细胞肺癌患者中的长期耐受性。
Lung Cancer. 2025 Apr;202:108417. doi: 10.1016/j.lungcan.2025.108417. Epub 2025 Jan 31.

引用本文的文献

1
Pharmacodynamic-Driven Sequence-Dependent Synergy Effects in Pemetrexed-Osimertinib Combination Against Non-Small Cell Lung Cancer (NSCLC): Optimizing Synergy Through Sequential Interval.培美曲塞-奥希替尼联合治疗非小细胞肺癌(NSCLC)中基于药效学驱动的序列依赖性协同效应:通过序贯间隔优化协同作用
Pharmaceutics. 2025 Aug 12;17(8):1044. doi: 10.3390/pharmaceutics17081044.
2
Time-to-Event Modeling for Survival Prediction of Osimertinib as the First- and Second-Line Therapy.奥希替尼作为一线和二线治疗的生存预测的事件发生时间建模
J Clin Med. 2025 Jun 9;14(12):4077. doi: 10.3390/jcm14124077.

本文引用的文献

1
The Concise Guide to PHARMACOLOGY 2023/24: Catalytic receptors.《药理学简明指南 2023/24》:催化型受体。
Br J Pharmacol. 2023 Oct;180 Suppl 2:S241-S288. doi: 10.1111/bph.16180.
2
Overall Survival with Osimertinib in Resected -Mutated NSCLC.奥希替尼治疗可切除突变型 NSCLC 的总生存期。
N Engl J Med. 2023 Jul 13;389(2):137-147. doi: 10.1056/NEJMoa2304594. Epub 2023 Jun 4.
3
Adjuvant Osimertinib for Resected EGFR-Mutated Stage IB-IIIA Non-Small-Cell Lung Cancer: Updated Results From the Phase III Randomized ADAURA Trial.
辅助奥希替尼治疗 EGFR 突变型 IB-IIIA 期非小细胞肺癌:III 期随机 ADAURA 试验的更新结果。
J Clin Oncol. 2023 Apr 1;41(10):1830-1840. doi: 10.1200/JCO.22.02186. Epub 2023 Jan 31.
4
Non-oncogene-addicted metastatic non-small-cell lung cancer: ESMO Clinical Practice Guideline for diagnosis, treatment and follow-up.非癌基因成瘾性转移性非小细胞肺癌:ESMO诊断、治疗及随访临床实践指南
Ann Oncol. 2023 Apr;34(4):358-376. doi: 10.1016/j.annonc.2022.12.013. Epub 2023 Jan 17.
5
Therapy for Stage IV Non-Small-Cell Lung Cancer With Driver Alterations: ASCO and OH (CCO) Joint Guideline Update.有驱动基因改变的 IV 期非小细胞肺癌的治疗:ASCO 和 OH(CCO)联合指南更新。
J Clin Oncol. 2021 Mar 20;39(9):1040-1091. doi: 10.1200/JCO.20.03570. Epub 2021 Feb 16.
6
Osimertinib in Resected -Mutated Non-Small-Cell Lung Cancer.奥希替尼治疗可切除突变型非小细胞肺癌。
N Engl J Med. 2020 Oct 29;383(18):1711-1723. doi: 10.1056/NEJMoa2027071. Epub 2020 Sep 19.
7
Overall Survival with Osimertinib in Untreated, -Mutated Advanced NSCLC.奥希替尼治疗未经治、-突变型晚期 NSCLC 的总生存期。
N Engl J Med. 2020 Jan 2;382(1):41-50. doi: 10.1056/NEJMoa1913662. Epub 2019 Nov 21.
8
Determination of osimertinib in human plasma, urine and cerebrospinal fluid.人血浆、尿液和脑脊液中奥希替尼的测定。
Bioanalysis. 2019 May;11(10):987-1001. doi: 10.4155/bio-2018-0262.
9
Pan-Asian adapted Clinical Practice Guidelines for the management of patients with metastatic non-small-cell lung cancer: a CSCO-ESMO initiative endorsed by JSMO, KSMO, MOS, SSO and TOS.泛亚地区转移性非小细胞肺癌患者管理临床实践指南:一项由 CSCO-ESMO 发起、JSMO、KSMO、MOS、SSO 和 TOS 支持的倡议。
Ann Oncol. 2019 Feb 1;30(2):171-210. doi: 10.1093/annonc/mdy554.
10
CNS Response to Osimertinib Versus Standard Epidermal Growth Factor Receptor Tyrosine Kinase Inhibitors in Patients With Untreated EGFR-Mutated Advanced Non-Small-Cell Lung Cancer.未经治疗的表皮生长因子受体(EGFR)突变型晚期非小细胞肺癌患者中,中枢神经系统(CNS)对奥希替尼与标准表皮生长因子受体酪氨酸激酶抑制剂的反应。
J Clin Oncol. 2018 Aug 28:JCO2018783118. doi: 10.1200/JCO.2018.78.3118.