• 文献检索
  • 文档翻译
  • 深度研究
  • 学术资讯
  • Suppr Zotero 插件Zotero 插件
  • 邀请有礼
  • 套餐&价格
  • 历史记录
应用&插件
Suppr Zotero 插件Zotero 插件浏览器插件Mac 客户端Windows 客户端微信小程序
定价
高级版会员购买积分包购买API积分包
服务
文献检索文档翻译深度研究API 文档MCP 服务
关于我们
关于 Suppr公司介绍联系我们用户协议隐私条款
关注我们

Suppr 超能文献

核心技术专利:CN118964589B侵权必究
粤ICP备2023148730 号-1Suppr @ 2026

文献检索

告别复杂PubMed语法,用中文像聊天一样搜索,搜遍4000万医学文献。AI智能推荐,让科研检索更轻松。

立即免费搜索

文件翻译

保留排版,准确专业,支持PDF/Word/PPT等文件格式,支持 12+语言互译。

免费翻译文档

深度研究

AI帮你快速写综述,25分钟生成高质量综述,智能提取关键信息,辅助科研写作。

立即免费体验

与结直肠癌:通过代谢物谱分析和预后模型揭示的矛盾作用。

and colorectal cancer: A paradoxical role revealed through metabolite profiling and prognostic modeling.

作者信息

Zhang Hao-Ling, Zhao Rui, Wang Di, Mohd Sapudin Siti Nurfatimah, Yahaya Badrul Hisham, Harun Mohammad Syamsul Reza, Zhang Zhong-Wen, Song Zhi-Jing, Liu Yan-Ting, Doblin Sandai, Lu Ping

机构信息

Department of Oncology, The First Affiliated Hospital of Xinxiang Medical University, Xinxiang 453000, Henan Province, China.

Department of Biomedical Science, Universiti Sains Malaysia, Pinang 13200, Malaysia.

出版信息

World J Clin Oncol. 2025 Apr 24;16(4):104182. doi: 10.5306/wjco.v16.i4.104182.

DOI:10.5306/wjco.v16.i4.104182
PMID:40290696
原文链接:https://pmc.ncbi.nlm.nih.gov/articles/PMC12019262/
Abstract

BACKGROUND

Emerging evidence implicates () in human oncogenesis. Notably, studies have supported its involvement in regulating outcomes in colorectal cancer (CRC). This study investigated the paradoxical role of in CRC, aiming to determine whether it promotes or suppresses tumor development, with a focus on the mechanistic basis linked to its metabolic profile.

AIM

To investigate the dual role of in the development and progression of CRC through metabolite profiling and to establish a prognostic model that integrates the microbial and metabolic interactions in CRC, providing insights into potential therapeutic strategies and clinical outcomes.

METHODS

A prognostic model integrating with CRC was developed, incorporating enrichment analysis, immune infiltration profiling, survival analysis, Mendelian randomization, single-cell sequencing, and spatial transcriptomics. The effects of the metabolite mixture on CRC cells were subsequently validated . The primary metabolite composition was characterized using liquid chromatography-mass spectrometry.

RESULTS

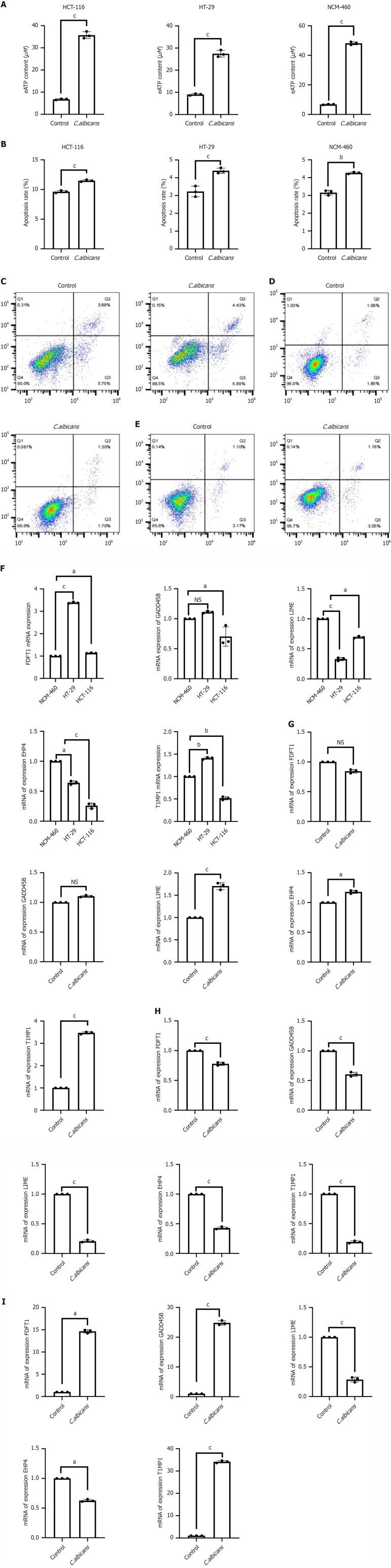
A prognostic model based on five specific mRNA markers, , , , , and , was established. The metabolite mixture significantly reduced CRC cell viability. Post-treatment analysis revealed a significant decrease in gene expression in HT29 cells, while the expression levels of , , and were significantly elevated in HCT116 cells. Conversely, expression and that of other CRC cell lines showed reductions. In normal colonic epithelial cells (NCM460), , , and expression levels were significantly increased, while and levels were markedly reduced. Following metabolite treatment, the invasive and migratory capabilities of NCM460, HT29, and HCT116 cells were reduced. Quantitative analysis of extracellular ATP post-treatment showed a significant elevation ( < 0.01). The metabolite mixture had no effect on reactive oxygen species accumulation in CRC cells but led to a reduction in mitochondrial membrane potential, increased intracellular lipid peroxidation, and induced apoptosis. Metabolomic profiling revealed significant alterations, with 516 metabolites upregulated and 531 downregulated.

CONCLUSION

This study introduced a novel prognostic model for CRC risk assessment. The findings suggested that the metabolite mixture exerted an inhibitory effect on CRC initiation.

摘要

背景

新出现的证据表明()参与人类肿瘤发生。值得注意的是,研究支持其参与调节结直肠癌(CRC)的预后。本研究调查了()在CRC中的矛盾作用,旨在确定它是促进还是抑制肿瘤发展,重点关注与其代谢谱相关的机制基础。

目的

通过代谢物谱分析研究()在CRC发生发展中的双重作用,并建立一个整合CRC中微生物和代谢相互作用的预后模型,为潜在的治疗策略和临床结果提供见解。

方法

开发了一个将()与CRC整合的预后模型,纳入富集分析、免疫浸润谱分析、生存分析、孟德尔随机化、单细胞测序和空间转录组学。随后验证了()代谢物混合物对CRC细胞的影响。使用液相色谱 - 质谱法表征主要代谢物组成。

结果

建立了一个基于五个特定mRNA标记物()的预后模型。()代谢物混合物显著降低了CRC细胞活力。治疗后分析显示HT29细胞中基因表达显著降低,而HCT116细胞中()、()和()的表达水平显著升高。相反,()表达以及其他CRC细胞系的表达显示降低。在正常结肠上皮细胞(NCM460)中,()、()和()表达水平显著增加,而()和()水平显著降低。代谢物处理后,NCM460、HT29和HCT116细胞的侵袭和迁移能力降低。治疗后细胞外ATP的定量分析显示显著升高(<0.01)。()代谢物混合物对CRC细胞中活性氧积累没有影响,但导致线粒体膜电位降低、细胞内脂质过氧化增加并诱导凋亡。代谢组学分析显示有显著变化,516种代谢物上调,531种下调。

结论

本研究引入了一种用于CRC风险评估的新型预后模型。研究结果表明()代谢物混合物对CRC起始具有抑制作用。

https://cdn.ncbi.nlm.nih.gov/pmc/blobs/4d21/12019262/982ca47b7e83/104182-g012.jpg
https://cdn.ncbi.nlm.nih.gov/pmc/blobs/4d21/12019262/89d48a7d7a1a/104182-g001.jpg
https://cdn.ncbi.nlm.nih.gov/pmc/blobs/4d21/12019262/c634af4d1127/104182-g002.jpg
https://cdn.ncbi.nlm.nih.gov/pmc/blobs/4d21/12019262/4a48d2cde1fc/104182-g003.jpg
https://cdn.ncbi.nlm.nih.gov/pmc/blobs/4d21/12019262/69c318725f94/104182-g004.jpg
https://cdn.ncbi.nlm.nih.gov/pmc/blobs/4d21/12019262/1a77b4006cec/104182-g005.jpg
https://cdn.ncbi.nlm.nih.gov/pmc/blobs/4d21/12019262/432e5d669da5/104182-g006.jpg
https://cdn.ncbi.nlm.nih.gov/pmc/blobs/4d21/12019262/2e17ec6722e5/104182-g007.jpg
https://cdn.ncbi.nlm.nih.gov/pmc/blobs/4d21/12019262/af35e4e51be9/104182-g008.jpg
https://cdn.ncbi.nlm.nih.gov/pmc/blobs/4d21/12019262/1a411fc54159/104182-g009.jpg
https://cdn.ncbi.nlm.nih.gov/pmc/blobs/4d21/12019262/dc05a06c6aca/104182-g010.jpg
https://cdn.ncbi.nlm.nih.gov/pmc/blobs/4d21/12019262/7719467b2e4f/104182-g011.jpg
https://cdn.ncbi.nlm.nih.gov/pmc/blobs/4d21/12019262/982ca47b7e83/104182-g012.jpg
https://cdn.ncbi.nlm.nih.gov/pmc/blobs/4d21/12019262/89d48a7d7a1a/104182-g001.jpg
https://cdn.ncbi.nlm.nih.gov/pmc/blobs/4d21/12019262/c634af4d1127/104182-g002.jpg
https://cdn.ncbi.nlm.nih.gov/pmc/blobs/4d21/12019262/4a48d2cde1fc/104182-g003.jpg
https://cdn.ncbi.nlm.nih.gov/pmc/blobs/4d21/12019262/69c318725f94/104182-g004.jpg
https://cdn.ncbi.nlm.nih.gov/pmc/blobs/4d21/12019262/1a77b4006cec/104182-g005.jpg
https://cdn.ncbi.nlm.nih.gov/pmc/blobs/4d21/12019262/432e5d669da5/104182-g006.jpg
https://cdn.ncbi.nlm.nih.gov/pmc/blobs/4d21/12019262/2e17ec6722e5/104182-g007.jpg
https://cdn.ncbi.nlm.nih.gov/pmc/blobs/4d21/12019262/af35e4e51be9/104182-g008.jpg
https://cdn.ncbi.nlm.nih.gov/pmc/blobs/4d21/12019262/1a411fc54159/104182-g009.jpg
https://cdn.ncbi.nlm.nih.gov/pmc/blobs/4d21/12019262/dc05a06c6aca/104182-g010.jpg
https://cdn.ncbi.nlm.nih.gov/pmc/blobs/4d21/12019262/7719467b2e4f/104182-g011.jpg
https://cdn.ncbi.nlm.nih.gov/pmc/blobs/4d21/12019262/982ca47b7e83/104182-g012.jpg

相似文献

1
and colorectal cancer: A paradoxical role revealed through metabolite profiling and prognostic modeling.与结直肠癌:通过代谢物谱分析和预后模型揭示的矛盾作用。
World J Clin Oncol. 2025 Apr 24;16(4):104182. doi: 10.5306/wjco.v16.i4.104182.
2
cGAS regulates metabolic reprogramming independently of STING pathway in colorectal cancer.cGAS 通过非 STING 通路调控结直肠癌细胞的代谢重编程。
Exp Cell Res. 2024 Nov 1;443(1):114316. doi: 10.1016/j.yexcr.2024.114316. Epub 2024 Nov 2.
3
Spatial and single-cell transcriptomic analysis reveals fibroblasts dependent immune environment in colorectal cancer.空间和单细胞转录组分析揭示了结直肠癌中依赖成纤维细胞的免疫环境。
Biofactors. 2025 Mar-Apr;51(2):e70012. doi: 10.1002/biof.70012.
4
Knockdown of ribosomal protein L22-like 1 arrests the cell cycle and promotes apoptosis in colorectal cancer.核糖体蛋白L22样蛋白1的敲低可使细胞周期停滞并促进结直肠癌细胞凋亡。
Cytojournal. 2024 Nov 19;21:45. doi: 10.25259/Cytojournal_29_2024. eCollection 2024.
5
Icariin promoted ferroptosis by activating mitochondrial dysfunction to inhibit colorectal cancer and synergistically enhanced the efficacy of PD-1 inhibitors.淫羊藿苷通过激活线粒体功能障碍促进铁死亡以抑制结直肠癌,并协同增强PD-1抑制剂的疗效。
Phytomedicine. 2025 Jan;136:156224. doi: 10.1016/j.phymed.2024.156224. Epub 2024 Nov 23.
6
Multi-Omics Prognostic Signatures Based on Lipid Metabolism for Colorectal Cancer.基于脂质代谢的结直肠癌多组学预后特征
Front Cell Dev Biol. 2022 Feb 11;9:811957. doi: 10.3389/fcell.2021.811957. eCollection 2021.
7
Integration of single-cell transcriptomics and epigenetic analysis reveals enhancer-controlled TIMP1 as a regulator of ferroptosis in colorectal cancer.单细胞转录组学和表观遗传分析的整合揭示了 TIMP1 作为结直肠癌中铁死亡的调控因子,受增强子控制。
Genes Genomics. 2024 Jan;46(1):121-133. doi: 10.1007/s13258-023-01474-7. Epub 2023 Nov 30.
8
GADD45B as a Prognostic and Predictive Biomarker in Stage II Colorectal Cancer.GADD45B作为II期结直肠癌的预后和预测生物标志物
Genes (Basel). 2018 Jul 19;9(7):361. doi: 10.3390/genes9070361.
9
Metabolomic characterization of colorectal cancer cell lines highlighting stage-specific alterations during cancer progression.结直肠癌细胞系的代谢组学特征揭示癌症进展过程中的阶段特异性改变。
Bioimpacts. 2021;11(2):147-156. doi: 10.34172/bi.2021.22. Epub 2020 Jun 10.
10
Involvement of Met receptor pathway in aggressive behavior of colorectal cancer cells induced by parathyroid hormone-related peptide.甲状旁腺素相关肽诱导的结直肠癌细胞侵袭行为中 Met 受体通路的参与。
World J Gastroenterol. 2022 Jul 14;28(26):3177-3200. doi: 10.3748/wjg.v28.i26.3177.

引用本文的文献

1
Microbiota and cancer: Elucidating the role of in cancer progression.微生物群与癌症:阐明其在癌症进展中的作用。
World J Clin Oncol. 2025 Jun 24;16(6):106847. doi: 10.5306/wjco.v16.i6.106847.

本文引用的文献

1
Physical impediment to sodium houttuyfonate conversely reinforces β-glucan exposure stimulated innate immune response to Candida albicans.鱼腥草素钠的物理阻碍相反地增强了β-葡聚糖暴露所刺激的对白色念珠菌的固有免疫反应。
Med Mycol. 2024 Mar 7;62(3). doi: 10.1093/mmy/myae014.
2
Adenosine triphosphate induced cell death: Mechanisms and implications in cancer biology and therapy.三磷酸腺苷诱导的细胞死亡:癌症生物学与治疗中的机制及意义
World J Clin Oncol. 2023 Dec 24;14(12):549-569. doi: 10.5306/wjco.v14.i12.549.
3
3-Hydroxy-12-oleanen-27-oic Acid Exerts an Antiproliferative Effect on Human Colon Carcinoma HCT116 Cells via Targeting FDFT1.
3-羟基齐墩果-12-烯-27-酸通过靶向FDFT1对人结肠癌HCT116细胞发挥抗增殖作用。
Int J Mol Sci. 2023 Oct 9;24(19):15020. doi: 10.3390/ijms241915020.
4
Understanding the Clinical Use of Levosimendan and Perspectives on its Future in Oncology.了解左西孟旦的临床应用及其在肿瘤学领域的未来前景。
Biomolecules. 2023 Aug 24;13(9):1296. doi: 10.3390/biom13091296.
5
Single-cell transcriptomic landscape of immunometabolism reveals intervention candidates of ascorbate and aldarate metabolism, fatty-acid degradation and PUFA metabolism of T-cell subsets in healthy controls, psoriasis and psoriatic arthritis.单细胞转录组免疫代谢组学揭示了健康对照、银屑病和银屑病关节炎中 T 细胞亚群的抗坏血酸和醛酸盐代谢、脂肪酸降解和多不饱和脂肪酸代谢的干预候选物。
Front Immunol. 2023 Jul 10;14:1179877. doi: 10.3389/fimmu.2023.1179877. eCollection 2023.
6
Identification and validation of a pyroptosis-related prognostic model for colorectal cancer.鉴定和验证一个与结直肠癌相关的焦亡预后模型。
Funct Integr Genomics. 2022 Dec 23;23(1):21. doi: 10.1007/s10142-022-00935-8.
7
Mechanism of Glycitein in the Treatment of Colon Cancer Based on Network Pharmacology and Molecular Docking.基于网络药理学和分子对接研究染料木黄酮治疗结肠癌的作用机制。
Lifestyle Genom. 2023;16(1):1-10. doi: 10.1159/000527124. Epub 2022 Sep 30.
8
Identification of FDFT1 as a potential biomarker associated with ferroptosis in ccRCC.鉴定 FDFT1 为与 ccRCC 中铁死亡相关的潜在生物标志物。
Cancer Med. 2022 Nov;11(21):3993-4004. doi: 10.1002/cam4.4716. Epub 2022 Mar 24.
9
Pathogenesis and virulence of .. 的发病机制和毒力。
Virulence. 2022 Dec;13(1):89-121. doi: 10.1080/21505594.2021.2019950.
10
Squalene synthase predicts poor prognosis in stage I-III colon adenocarcinoma and synergizes squalene epoxidase to promote tumor progression.鲨烯合酶预测 I-III 期结肠癌的不良预后,并与鲨烯环氧化酶协同促进肿瘤进展。
Cancer Sci. 2022 Mar;113(3):971-985. doi: 10.1111/cas.15248. Epub 2022 Jan 6.