Liu Ke, Li Jun-Biao, Wang Yong, Li Yan
Department of Hepatology, The Infectious Disease Hospital of Xuzhou, Xuzhou 221018, Jiangsu Province, China.
Department of Interventional Radiology, The Affiliated Hospital of Xuzhou Medical University, Xuzhou 221002, Jiangsu Province, China.
World J Gastrointest Surg. 2025 Apr 27;17(4):104187. doi: 10.4240/wjgs.v17.i4.104187.
Transcatheter arterial chemoembolization (TACE) is a key treatment approach for advanced invasive liver cancer (infiltrative hepatocellular carcinoma). However, its therapeutic response can be difficult to evaluate accurately using conventional two-dimensional imaging criteria due to the tumor's diffuse and multifocal growth pattern. Volumetric imaging, especially enhanced tumor volume (ETV), offers a more comprehensive assessment. Nonetheless, bias field inhomogeneity in magnetic resonance imaging (MRI) poses challenges, potentially skewing volumetric measurements and undermining prognostic evaluation.
To investigate whether MRI bias field correction enhances the accuracy of volumetric assessment of infiltrative hepatocellular carcinoma treated with TACE, and to analyze how this improved measurement impacts prognostic prediction.
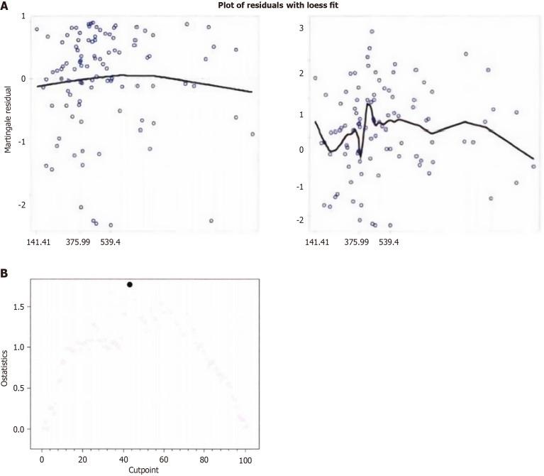
We retrospectively collected data from 105 patients with invasive liver cancer who underwent TACE treatment at the Affiliated Hospital of Xuzhou Medical University from January 2020 to January 2024. The improved N4 bias field correction algorithm was applied to process MRI images, and the ETV before and after treatment was calculated. The ETV measurements before and after correction were compared, and their relationship with patient prognosis was analyzed. A Cox proportional hazards model was used to evaluate prognostic factors, with Martingale residual analysis determining the optimal cutoff value, followed by survival analysis.
Bias field correction significantly affected ETV measurements, with the corrected baseline ETV mean (505.235 cm³) being significantly lower than before correction (825.632 cm³, < 0.001). Cox analysis showed that the hazard ratio (HR) for corrected baseline ETV (HR = 1.165, 95%CI: 1.069-1.268) was higher than before correction (HR = 1.063, 95%CI: 1.031-1.095). Using 412 cm³ as the cutoff, the group with baseline ETV < 415 cm³ had a longer median survival time compared to the ≥ 415 cm³ group (18.523 months 8.926 months, < 0.001). The group with an ETV reduction rate ≥ 41% had better prognosis than the < 41% group (17.862 months 9.235 months, = 0.006). Multivariate analysis confirmed that ETV reduction rate (HR = 0.412, < 0.001), Child-Pugh classification (HR = 0.298, < 0.001), and Barcelona Clinic Liver Cancer stage (HR = 0.578, = 0.045) were independent prognostic factors.
Volume imaging based on MRI bias field correction can improve the accuracy of evaluating the efficacy of TACE treatment for invasive liver cancer. The corrected ETV and its reduction rate can serve as independent indicators for predicting patient prognosis, providing important reference for developing individualized treatment strategies.
经动脉化疗栓塞术(TACE)是晚期浸润性肝癌(浸润性肝细胞癌)的关键治疗方法。然而,由于肿瘤的弥漫性和多灶性生长模式,使用传统的二维成像标准很难准确评估其治疗反应。容积成像,尤其是增强肿瘤体积(ETV),能提供更全面的评估。尽管如此,磁共振成像(MRI)中的偏置场不均匀性带来了挑战,可能会使容积测量产生偏差,影响预后评估。
研究MRI偏置场校正是否能提高TACE治疗浸润性肝细胞癌的容积评估准确性,并分析这种改进的测量如何影响预后预测。
回顾性收集2020年1月至2024年1月在徐州医科大学附属医院接受TACE治疗的105例浸润性肝癌患者的数据。应用改进的N4偏置场校正算法处理MRI图像,计算治疗前后的ETV。比较校正前后的ETV测量值,并分析它们与患者预后的关系。采用Cox比例风险模型评估预后因素,通过鞅残差分析确定最佳截断值,随后进行生存分析。
偏置场校正显著影响ETV测量,校正后的基线ETV均值(505.235 cm³)显著低于校正前(825.632 cm³,P<0.001)。Cox分析显示,校正后的基线ETV的风险比(HR)(HR = 1.165,95%CI:1.069 - 1.268)高于校正前(HR = 1.063,95%CI:1.031 - 1.095)。以412 cm³为截断值,基线ETV<415 cm³组的中位生存时间长于≥415 cm³组(18.523个月对8.926个月,P<0.001)。ETV降低率≥41%组的预后优于<41%组(17.862个月对9.235个月,P = 0.006)。多因素分析证实,ETV降低率(HR = 0.412,P<0.001)、Child-Pugh分级(HR = 0.298,P<0.001)和巴塞罗那临床肝癌分期(HR = 0.578,P = 0.045)是独立的预后因素。
基于MRI偏置场校正的容积成像可提高评估TACE治疗浸润性肝癌疗效的准确性。校正后的ETV及其降低率可作为预测患者预后的独立指标,为制定个体化治疗策略提供重要参考。