Birleanu Corina, Udroiu Razvan, Cioaza Mircea, Pustan Marius, Paul Bere, Vilau Cristian
MicroNano Systems Laboratory, Mechanical Systems Engineering Department, Technical University from Cluj-Napoca, Blv. Muncii nr. 103-105, 400641 Cluj-Napoca, Romania.
Manufacturing Engineering Department, Transilvania University of Brasov, Blv. Eroilor Nr. 29, 500036 Brașov, Romania.
Polymers (Basel). 2025 Mar 9;17(6):720. doi: 10.3390/polym17060720.
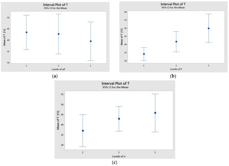
The tribological performance of Glass Fiber Reinforced Polymer (GFRP) composites is essential for applications in automotive, aerospace, and industrial sectors. This study investigates the effect of fiber weight fraction ratio (wf.) (50%, 65%, and 70%), applied load, and sliding speed on the tribological behavior of twill-woven GFRP using a pin-on-disc tribometer. Experimental trials were carried out to assess the impact of control factors on the coefficient of friction, specific wear rate, and contact temperature. Statistical analyses based on generalized linear models (GLM) method or multi-factor ANOVA, identified the most significant factors and their contributions. Results indicate that sliding speed contributes the highest to COF (46.51%), while fiber wf. primarily influences wear rate (34.15%). The applied load was found to have the strongest impact on contact temperature (39.08%). Furthermore, SEM and EDS analyses reveal dominant wear mechanisms, including abrasive wear and transfer layer formation. This study introduces the novelty of using statistical modeling to optimize GFRP for high-performance tribological applications, providing a more precise and efficient approach to enhancing their properties.
玻璃纤维增强聚合物(GFRP)复合材料的摩擦学性能对于汽车、航空航天和工业领域的应用至关重要。本研究使用销盘摩擦磨损试验机,研究了纤维重量分数比(wf.)(50%、65%和70%)、施加载荷和滑动速度对斜纹编织GFRP摩擦学行为的影响。进行了实验试验,以评估控制因素对摩擦系数、比磨损率和接触温度的影响。基于广义线性模型(GLM)方法或多因素方差分析的统计分析,确定了最显著的因素及其贡献。结果表明,滑动速度对摩擦系数的贡献最高(46.51%),而纤维重量分数比主要影响磨损率(34.15%)。发现施加的载荷对接触温度的影响最大(39.08%)。此外,扫描电子显微镜(SEM)和能谱分析(EDS)揭示了主要的磨损机制,包括磨粒磨损和转移层形成。本研究引入了使用统计建模优化GFRP以用于高性能摩擦学应用的新颖性,为增强其性能提供了一种更精确、高效的方法。