• 文献检索
  • 文档翻译
  • 深度研究
  • 学术资讯
  • Suppr Zotero 插件Zotero 插件
  • 邀请有礼
  • 套餐&价格
  • 历史记录
应用&插件
Suppr Zotero 插件Zotero 插件浏览器插件Mac 客户端Windows 客户端微信小程序
定价
高级版会员购买积分包购买API积分包
服务
文献检索文档翻译深度研究API 文档MCP 服务
关于我们
关于 Suppr公司介绍联系我们用户协议隐私条款
关注我们

Suppr 超能文献

核心技术专利:CN118964589B侵权必究
粤ICP备2023148730 号-1Suppr @ 2026

文献检索

告别复杂PubMed语法,用中文像聊天一样搜索,搜遍4000万医学文献。AI智能推荐,让科研检索更轻松。

立即免费搜索

文件翻译

保留排版,准确专业,支持PDF/Word/PPT等文件格式,支持 12+语言互译。

免费翻译文档

深度研究

AI帮你快速写综述,25分钟生成高质量综述,智能提取关键信息,辅助科研写作。

立即免费体验

使用长短期记忆网络(LSTM)优化的距离向量跳数(DV hop)框架在无线传感器网络(WSNs)中实现节能且稳健的节点定位,以减轻多跳定位误差。

Energy efficient and robust node localization in WSNs using LSTM optimized DV hop framework to mitigate multihop localization errors.

作者信息

Rehman Amjad, Mahmood Tariq, Alahmadi Tahani Jaser, Almasoud Ahmed S, Saba Tanzila

机构信息

Artificial Intelligence and Data Analytics (AIDA) Lab, CCIS, Prince Sultan University, Riyadh, 11586, Saudi Arabia.

Faculty of Information Sciences, University of Education, Vehari Campus, 61161, Vehari, Pakistan.

出版信息

Sci Rep. 2025 Apr 28;15(1):14827. doi: 10.1038/s41598-025-93937-y.

DOI:10.1038/s41598-025-93937-y
PMID:40295584
原文链接:https://pmc.ncbi.nlm.nih.gov/articles/PMC12037805/
Abstract

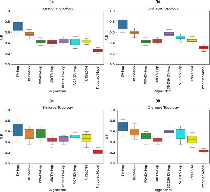
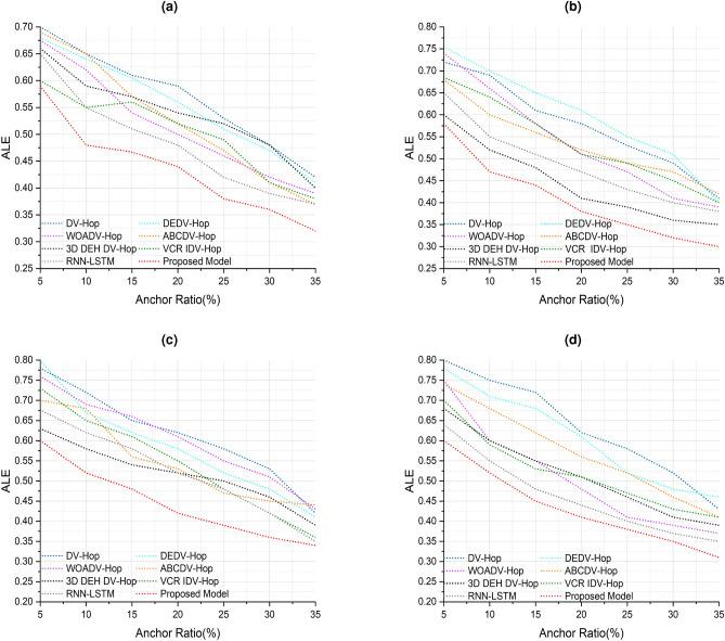
Wireless Sensor Networks (WSNs) are distributed sensor nodes that sense data from their surroundings and relay it to a central network for processing and analysis. Sensor localization is a crucial technique in WSNs, enabling precise positions of target nodes based on environmental signal perception. However, achieving high accuracy in node localization remains a challenge. This study introduces an improved DV-Hop positioning algorithm that integrates Long Short-Term Memory (OLSTM-DVHop) networks to enhance node position predictions. The algorithm processes original data through filtering, analysis, and feature extraction to improve predicted node positions. The study analyzed errors using a standard DV-Hop algorithm and designed a robust architecture for WSN positioning. Simulation experiments validated the proposed improvements, aligning with the algorithm's accuracy requirements. The proposed error correction mechanism addresses uneven error distribution in the DV-Hop algorithm, adjusting the positions of nodes with significant deviations, reducing errors, and enhancing the positioning process's reliability and accuracy. The effectiveness of the proposed algorithm is evaluated by comparing it with other localization algorithms across different terrain types. The improved DV-Hop algorithm significantly reduces localization errors and offers superior accuracy, outperforming other algorithms in various experimental scenarios.

摘要

无线传感器网络(WSNs)是分布式传感器节点,可感知周围环境的数据并将其转发到中央网络进行处理和分析。传感器定位是无线传感器网络中的一项关键技术,可基于环境信号感知确定目标节点的精确位置。然而,在节点定位中实现高精度仍然是一项挑战。本研究介绍了一种改进的DV-Hop定位算法,该算法集成了长短期记忆(OLSTM-DVHop)网络以增强节点位置预测。该算法通过滤波、分析和特征提取来处理原始数据,以改善预测的节点位置。该研究使用标准DV-Hop算法分析误差,并设计了一种用于无线传感器网络定位的稳健架构。仿真实验验证了所提出的改进,符合算法的精度要求。所提出的误差校正机制解决了DV-Hop算法中误差分布不均匀的问题,调整偏差较大的节点位置,减少误差,并提高定位过程的可靠性和准确性。通过将该算法与不同地形类型下的其他定位算法进行比较,评估了所提算法的有效性。改进后的DV-Hop算法显著降低了定位误差,并具有更高的精度,在各种实验场景中均优于其他算法。

https://cdn.ncbi.nlm.nih.gov/pmc/blobs/1f33/12037805/70614b2bd936/41598_2025_93937_Fig9_HTML.jpg
https://cdn.ncbi.nlm.nih.gov/pmc/blobs/1f33/12037805/b9385319de67/41598_2025_93937_Fig1_HTML.jpg
https://cdn.ncbi.nlm.nih.gov/pmc/blobs/1f33/12037805/fd4c042d24ad/41598_2025_93937_Figa_HTML.jpg
https://cdn.ncbi.nlm.nih.gov/pmc/blobs/1f33/12037805/6aa81b1d5a3c/41598_2025_93937_Figb_HTML.jpg
https://cdn.ncbi.nlm.nih.gov/pmc/blobs/1f33/12037805/ff1b911a2821/41598_2025_93937_Figc_HTML.jpg
https://cdn.ncbi.nlm.nih.gov/pmc/blobs/1f33/12037805/b0df20060a53/41598_2025_93937_Fig2_HTML.jpg
https://cdn.ncbi.nlm.nih.gov/pmc/blobs/1f33/12037805/1d7bdb0d3aa6/41598_2025_93937_Figd_HTML.jpg
https://cdn.ncbi.nlm.nih.gov/pmc/blobs/1f33/12037805/8c7c369a0925/41598_2025_93937_Fig3_HTML.jpg
https://cdn.ncbi.nlm.nih.gov/pmc/blobs/1f33/12037805/9d6cad7921cc/41598_2025_93937_Fige_HTML.jpg
https://cdn.ncbi.nlm.nih.gov/pmc/blobs/1f33/12037805/c29c6d165f1f/41598_2025_93937_Fig4_HTML.jpg
https://cdn.ncbi.nlm.nih.gov/pmc/blobs/1f33/12037805/0be238b4c3c3/41598_2025_93937_Fig5_HTML.jpg
https://cdn.ncbi.nlm.nih.gov/pmc/blobs/1f33/12037805/5c87990219d3/41598_2025_93937_Fig6_HTML.jpg
https://cdn.ncbi.nlm.nih.gov/pmc/blobs/1f33/12037805/594ba3a9d4c9/41598_2025_93937_Fig7_HTML.jpg
https://cdn.ncbi.nlm.nih.gov/pmc/blobs/1f33/12037805/2f99905fc49c/41598_2025_93937_Fig8_HTML.jpg
https://cdn.ncbi.nlm.nih.gov/pmc/blobs/1f33/12037805/70614b2bd936/41598_2025_93937_Fig9_HTML.jpg
https://cdn.ncbi.nlm.nih.gov/pmc/blobs/1f33/12037805/b9385319de67/41598_2025_93937_Fig1_HTML.jpg
https://cdn.ncbi.nlm.nih.gov/pmc/blobs/1f33/12037805/fd4c042d24ad/41598_2025_93937_Figa_HTML.jpg
https://cdn.ncbi.nlm.nih.gov/pmc/blobs/1f33/12037805/6aa81b1d5a3c/41598_2025_93937_Figb_HTML.jpg
https://cdn.ncbi.nlm.nih.gov/pmc/blobs/1f33/12037805/ff1b911a2821/41598_2025_93937_Figc_HTML.jpg
https://cdn.ncbi.nlm.nih.gov/pmc/blobs/1f33/12037805/b0df20060a53/41598_2025_93937_Fig2_HTML.jpg
https://cdn.ncbi.nlm.nih.gov/pmc/blobs/1f33/12037805/1d7bdb0d3aa6/41598_2025_93937_Figd_HTML.jpg
https://cdn.ncbi.nlm.nih.gov/pmc/blobs/1f33/12037805/8c7c369a0925/41598_2025_93937_Fig3_HTML.jpg
https://cdn.ncbi.nlm.nih.gov/pmc/blobs/1f33/12037805/9d6cad7921cc/41598_2025_93937_Fige_HTML.jpg
https://cdn.ncbi.nlm.nih.gov/pmc/blobs/1f33/12037805/c29c6d165f1f/41598_2025_93937_Fig4_HTML.jpg
https://cdn.ncbi.nlm.nih.gov/pmc/blobs/1f33/12037805/0be238b4c3c3/41598_2025_93937_Fig5_HTML.jpg
https://cdn.ncbi.nlm.nih.gov/pmc/blobs/1f33/12037805/5c87990219d3/41598_2025_93937_Fig6_HTML.jpg
https://cdn.ncbi.nlm.nih.gov/pmc/blobs/1f33/12037805/594ba3a9d4c9/41598_2025_93937_Fig7_HTML.jpg
https://cdn.ncbi.nlm.nih.gov/pmc/blobs/1f33/12037805/2f99905fc49c/41598_2025_93937_Fig8_HTML.jpg
https://cdn.ncbi.nlm.nih.gov/pmc/blobs/1f33/12037805/70614b2bd936/41598_2025_93937_Fig9_HTML.jpg

相似文献

1
Energy efficient and robust node localization in WSNs using LSTM optimized DV hop framework to mitigate multihop localization errors.使用长短期记忆网络(LSTM)优化的距离向量跳数(DV hop)框架在无线传感器网络(WSNs)中实现节能且稳健的节点定位,以减轻多跳定位误差。
Sci Rep. 2025 Apr 28;15(1):14827. doi: 10.1038/s41598-025-93937-y.
2
Enhancing Localization Efficiency and Accuracy in Wireless Sensor Networks.提高无线传感器网络中的本地化效率和准确性。
Sensors (Basel). 2023 Mar 3;23(5):2796. doi: 10.3390/s23052796.
3
A Hybrid DV-Hop Algorithm Using RSSI for Localization in Large-Scale Wireless Sensor Networks.一种基于 RSSI 的大规模无线传感器网络混合 DV-Hop 定位算法
Sensors (Basel). 2018 May 8;18(5):1469. doi: 10.3390/s18051469.
4
Efficient DV-HOP Localization for Wireless Cyber-Physical Social Sensing System: A Correntropy-Based Neural Network Learning Scheme.用于无线信息物理社会感知系统的高效DV-HOP定位:一种基于核相关度的神经网络学习方案。
Sensors (Basel). 2017 Jan 12;17(1):135. doi: 10.3390/s17010135.
5
DV-Hop Algorithm Based on Multi-Objective Salp Swarm Algorithm Optimization.基于多目标沙蚕群算法优化的 DV-Hop 算法。
Sensors (Basel). 2023 Apr 3;23(7):3698. doi: 10.3390/s23073698.
6
Enhancing the Sensor Node Localization Algorithm Based on Improved DV-Hop and DE Algorithms in Wireless Sensor Networks.基于改进的 DV-Hop 和 DE 算法的无线传感器网络中的传感器节点定位算法增强。
Sensors (Basel). 2020 Jan 7;20(2):343. doi: 10.3390/s20020343.
7
A Hybrid Localization Algorithm for an Adaptive Strategy-Based Distance Vector-Hop and Improved Sparrow Search for Wireless Sensor Networks.一种用于无线传感器网络的基于自适应策略的距离矢量跳与改进麻雀搜索的混合定位算法
Sensors (Basel). 2023 Oct 12;23(20):8426. doi: 10.3390/s23208426.
8
Three-Dimensional Localization Algorithm Based on Improved A and DV-Hop Algorithms in Wireless Sensor Network.基于改进的 A 和 DV-Hop 算法的无线传感器网络三维定位算法。
Sensors (Basel). 2021 Jan 10;21(2):448. doi: 10.3390/s21020448.
9
Improved Recursive DV-Hop Localization Algorithm with RSSI Measurement for Wireless Sensor Networks.基于RSSI测量的改进型递归DV-Hop无线传感器网络定位算法
Sensors (Basel). 2021 Jun 17;21(12):4152. doi: 10.3390/s21124152.
10
An improved localization algorithm based on genetic algorithm in wireless sensor networks.一种基于遗传算法的无线传感器网络改进定位算法。
Cogn Neurodyn. 2015 Apr;9(2):249-56. doi: 10.1007/s11571-014-9324-y. Epub 2015 Jan 18.

本文引用的文献

1
Enhancing Localization Efficiency and Accuracy in Wireless Sensor Networks.提高无线传感器网络中的本地化效率和准确性。
Sensors (Basel). 2023 Mar 3;23(5):2796. doi: 10.3390/s23052796.
2
A Reinforcement Learning Handover Parameter Adaptation Method Based on LSTM-Aided Digital Twin for UDN.基于 LSTM 辅助数字孪生的 UDN 强化学习切换参数自适应方法。
Sensors (Basel). 2023 Feb 15;23(4):2191. doi: 10.3390/s23042191.
3
Development of a Soil Moisture Prediction Model Based on Recurrent Neural Network Long Short-Term Memory (RNN-LSTM) in Soybean Cultivation.
基于循环神经网络长短期记忆模型(RNN-LSTM)的大豆种植土壤湿度预测模型的开发。
Sensors (Basel). 2023 Feb 10;23(4):1976. doi: 10.3390/s23041976.
4
Research on Location Algorithm Based on Beacon Filtering Combining DV-Hop and Multidimensional Support Vector Regression.基于信标过滤结合DV-Hop与多维支持向量回归的定位算法研究
Sensors (Basel). 2021 Aug 7;21(16):5335. doi: 10.3390/s21165335.
5
Enhancing the Sensor Node Localization Algorithm Based on Improved DV-Hop and DE Algorithms in Wireless Sensor Networks.基于改进的 DV-Hop 和 DE 算法的无线传感器网络中的传感器节点定位算法增强。
Sensors (Basel). 2020 Jan 7;20(2):343. doi: 10.3390/s20020343.