Suppr超能文献

温度和昆虫特异性病毒对由……传播甲病毒的影响

The impact of temperature and insect-specific viruses on the transmission of alphaviruses by .

作者信息

Jansen Stephanie, Cadar Dániel, Hey Jana Christina, Helms Michelle, Lange Unchana, Horváth Balázs, Jöst Hanna, Pfitzner Wolf-Peter, Schmidt-Chanasit Jonas, Lühken Renke, Heitmann Anna

机构信息

Bernhard Nocht Institute for Tropical Medicine, Hamburg, Hamburg, Germany.

Faculty of Mathematics, Informatics and Natural Sciences, University of Hamburg, Hamburg, Hamburg, Germany.

出版信息

Microbiol Spectr. 2025 Jun 3;13(6):e0266824. doi: 10.1128/spectrum.02668-24. Epub 2025 Apr 30.

Abstract

UNLABELLED

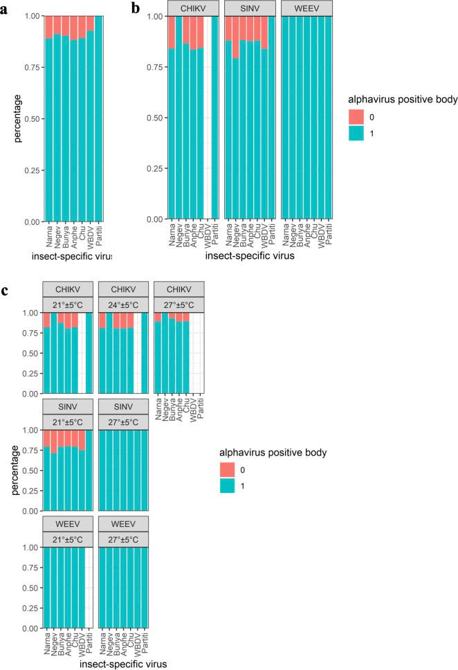
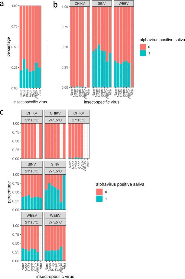
Arthropod-borne virus (arbovirus) infections are increasing globally, and invasive mosquito species are spreading. Since the end of the last century, has continued to spread in Europe as well as in North America. is known to be able to transmit several viruses, but extensive information about the vector competence of for alphaviruses is missing. Therefore, we infected field-caught mosquitoes from Germany with different alphaviruses that occur in areas with either tropical or moderate temperatures and are clustered as arthritogenic or encephalitic alphaviruses. Additionally, we studied the influence of temperature and natural infections with insect-specific viruses (ISVs) on the vector competence of . Transmission of chikungunya virus was exclusively observed at the high-temperature profile of 27° ± 5°C, with a low transmission rate of 2.9%. Transmission of Sindbis virus and western equine encephalitis virus was observed at all investigated temperature profiles with higher transmission rates of 32%-57%. We identified seven different ISVs in the investigated mosquitoes, showing that coinfections with ISVs are very common. The interplay between arbovirus infections and concurrent multiple ISV infections is highly complex, and additional research is required to fully elucidate the detailed mechanisms underlying the outcomes of this study.

IMPORTANCE

The spread of invasive mosquito species like poses a significant public health risk, particularly in the context of rising global temperatures and the growing prevalence of arbovirus infections. This study provides critical insights into the ability of to transmit alphaviruses such as chikungunya, Sindbis, and western equine encephalitis under different temperature conditions. The identification of multiple insect-specific viruses co-infecting the mosquitoes highlights the complexity of arbovirus transmission and underscores the need for further research. Understanding the interplay between environmental factors like temperature and viral coinfections is essential for predicting and mitigating future outbreaks. This work advances our knowledge of vector competence, which is helpful for developing strategies for risk assessment.

摘要

未标注

节肢动物传播病毒(虫媒病毒)感染在全球范围内呈上升趋势,入侵蚊虫种类也在扩散。自上世纪末以来,[蚊虫种类名称]在欧洲和北美持续传播。已知[蚊虫种类名称]能够传播多种病毒,但关于其对甲病毒的媒介能力的详尽信息尚缺。因此,我们用在热带或温带地区出现的、归类为致关节炎或致脑炎甲病毒的不同甲病毒感染了从德国野外捕获的[蚊虫种类名称]蚊子。此外,我们研究了温度和昆虫特异性病毒(ISV)的自然感染对[蚊虫种类名称]媒介能力的影响。仅在27°±5°C的高温条件下观察到基孔肯雅病毒的传播,传播率低至2.9%。在所有研究的温度条件下均观察到辛德毕斯病毒和西部马脑炎病毒的传播,传播率较高,为32% - 57%。我们在研究的[蚊虫种类名称]蚊子中鉴定出七种不同的ISV,表明与ISV的共感染非常普遍。虫媒病毒感染与同时发生的多种ISV感染之间的相互作用极为复杂,需要进一步研究以充分阐明本研究结果背后的详细机制。

重要性

像[蚊虫种类名称]这样的入侵蚊虫种类的扩散构成了重大的公共卫生风险,尤其是在全球气温上升和虫媒病毒感染日益普遍的背景下。本研究为[蚊虫种类名称]在不同温度条件下传播基孔肯雅、辛德毕斯和西部马脑炎等甲病毒的能力提供了关键见解。鉴定出多种共感染蚊子的昆虫特异性病毒凸显了虫媒病毒传播的复杂性,并强调了进一步研究的必要性。了解温度等环境因素与病毒共感染之间的相互作用对于预测和缓解未来疫情至关重要。这项工作增进了我们对媒介能力的认识,有助于制定风险评估策略。

https://cdn.ncbi.nlm.nih.gov/pmc/blobs/b91a/12131847/25c00a51510c/spectrum.02668-24.f001.jpg

文献检索

告别复杂PubMed语法,用中文像聊天一样搜索,搜遍4000万医学文献。AI智能推荐,让科研检索更轻松。

立即免费搜索

文件翻译

保留排版,准确专业,支持PDF/Word/PPT等文件格式,支持 12+语言互译。

免费翻译文档

深度研究

AI帮你快速写综述,25分钟生成高质量综述,智能提取关键信息,辅助科研写作。

立即免费体验