Suppr超能文献

使用CT影像组学对直径≥3cm肝细胞癌微血管侵犯和无复发生存的术前预测:模型建立与外部验证

Preoperative prediction of microvascular invasion and relapse-free survival in hepatocellular Carcinoma ≥3 cm using CT radiomics: Development and external validation.

作者信息

Zhong Hua, Zhang Yan, Zhu Guanbin, Zheng Xiaoli, Wang Jinan, Kang Jianghe, Lin Ziying, Yue Xin

机构信息

Department of Radiology, Zhongshan Hospital of Xiamen University, School of Medicine, Xiamen University, No.201-209 Hubinnan Road, Siming District, Xiamen, Fujian Province, 361004, China.

The Second Department of Radiology, The Second Affiliated Hospital of Xiamen Medical College, Xiamen, Fujian Province, 361021, China.

出版信息

BMC Med Imaging. 2025 May 1;25(1):141. doi: 10.1186/s12880-025-01677-2.

Abstract

OBJECTIVE

To preoperatively predict microvascular invasion (MVI) and relapse-free survival (RFS) in hepatocellular carcinoma (HCC) ≥3 cm by constructing and externally validating a combined radiomics model using preoperative enhanced CT images.

METHODS

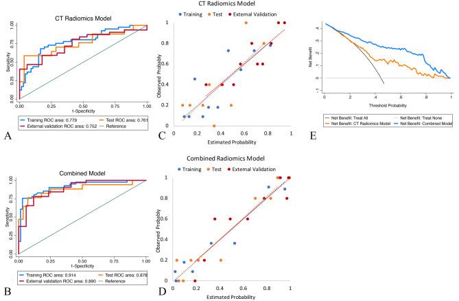
This retrospective study recruited adults who underwent surgical resection between September 2016 and August 2020 in our hospital with pathologic confirmation of HCC ≥3 cm and MVI status. For external validation, adults who underwent surgical resection between September 2020 and August 2021 in our hospital were included. Histopathology was the reference standard. The HCC area was segmented on the arterial and portal venous phase CT images to develop a CT radiomics model. A combined model was developed using selected radiomics features, demographic information, laboratory index and radiological features. Analysis of variance and support vector machine were used as features selector and classifier. Receiver operating characteristic (ROC) curves, calibration curves and decision curve analysis (DCA) were used to evaluate models' performance. The Kaplan-Meier method and log-rank test were used to evaluate the predictive value for RFS.

RESULTS

A total of 202 patients were finally enrolled (median age, 59 years, 173 male). Thirteen and 24 features were selected for the CT radiomics model and the combined model, and the area under the ROC curves (AUC) were 0.752 (95 %CI 0.615, 0.889) and 0.890 (95 %CI 0.794, 0.985) in the external validation set, respectively. Calibration curves and DCA showed a higher net clinical benefit of the combined model. The high-risk group (P < 0.001) was an independent predictor for RFS.

CONCLUSIONS

The combined model showed high accuracy for preoperatively predicting MVI and RFS in HCC ≥3 cm.

摘要

目的

通过构建并外部验证基于术前增强CT图像的联合放射组学模型,对直径≥3 cm的肝细胞癌(HCC)患者的微血管侵犯(MVI)和无复发生存期(RFS)进行术前预测。

方法

本回顾性研究纳入了2016年9月至2020年8月在我院接受手术切除且病理证实为直径≥3 cm的HCC及MVI状态的成人患者。为进行外部验证,纳入了2020年9月至2021年8月在我院接受手术切除的成人患者。组织病理学为参考标准。在动脉期和门静脉期CT图像上对HCC区域进行分割,以建立CT放射组学模型。使用选定的放射组学特征、人口统计学信息、实验室指标和放射学特征建立联合模型。采用方差分析和支持向量机作为特征选择器和分类器。采用受试者操作特征(ROC)曲线、校准曲线和决策曲线分析(DCA)评估模型性能。采用Kaplan-Meier法和对数秩检验评估对RFS的预测价值。

结果

最终共纳入202例患者(中位年龄59岁,男性173例)。CT放射组学模型和联合模型分别选择了13个和24个特征,外部验证集中ROC曲线下面积(AUC)分别为0.752(95%CI 0.615,0.889)和0.890(95%CI 0.794,0.985)。校准曲线和DCA显示联合模型具有更高的净临床效益。高危组(P<0.001)是RFS的独立预测因素。

结论

联合模型对直径≥3 cm的HCC患者的MVI和RFS术前预测具有较高的准确性。

https://cdn.ncbi.nlm.nih.gov/pmc/blobs/13e5/12046733/bf11fef5e356/12880_2025_1677_Fig1_HTML.jpg

文献AI研究员

20分钟写一篇综述,助力文献阅读效率提升50倍。

立即体验

用中文搜PubMed

大模型驱动的PubMed中文搜索引擎

马上搜索

文档翻译

学术文献翻译模型,支持多种主流文档格式。

立即体验