Suppr超能文献

通过异化硝酸盐还原为铵实现氮回收:环境因素的影响

Nitrogen Recovery through Dissimilatory Nitrate Reduction to Ammonium: Impact of Environmental Factors.

作者信息

Ma Teng-Fei, Yu Xiao-Yao, Xing Chong-Yang, Liu Zhen, Wu Zhen-Jun, Chen You-Peng

机构信息

National Research Base of Intelligent Manufacturing Service, Chongqing Technology and Business University, Chongqing 400067, China.

School of Environment and Resource, Chongqing Technology and Business University, Chongqing 400067, China.

出版信息

ACS Omega. 2025 Apr 16;10(16):16695-16704. doi: 10.1021/acsomega.5c00470. eCollection 2025 Apr 29.

Abstract

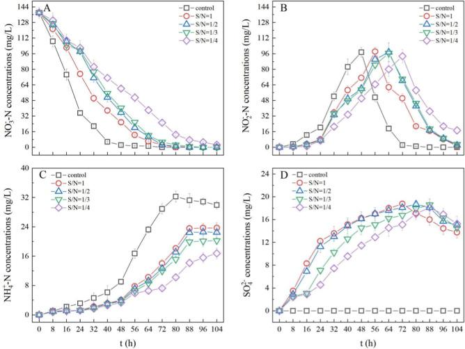
The application of the bacterial dissimilatory nitrate reduction to ammonium (DNRA) process for treating nitrate-rich wastewater offers an environmentally friendly and resource-efficient strategy with significant potential for ammonium nitrogen recovery. This study investigates the impact of carbon sources, C/N ratios, pH, and temperature on the DNRA efficiency of sp. strain LZ-1 (strain LZ-1). The results revealed that sodium citrate is the most favorable carbon source among sodium formate, sodium acetate, sodium propionate, and sodium citrate for enhancing DNRA in strain LZ-1. Ammonia production by strain LZ-1 peaks at a C/N of 8 within the range of 3 to 20, increasing before and decreasing thereafter. Furthermore, neutral to alkaline conditions (pH 7-10) are favorable for the DNRA process, with an optimal initial pH of 9. Temperature studies indicate a similar trend of initial increase followed by a decline in DNRA efficiency as temperatures rise from 20 to 35 °C, with peak ammonia production at 30 °C. The presence of sulfur ions inhibits the DNRA process in the strain LZ-1. However, this inhibitory effect diminished as the S/N ratio increased from 1/4 to 1. These insights contribute to a deeper understanding of the impact of environmental factors on DNRA and serve as a valuable reference for the utilization of strain LZ-1 in nitrogen recovery from nitrate-rich wastewaters.

摘要

应用细菌异化硝酸盐还原为铵(DNRA)工艺处理富含硝酸盐的废水,提供了一种环境友好且资源高效的策略,在铵氮回收方面具有巨大潜力。本研究调查了碳源、碳氮比、pH值和温度对菌株LZ-1(菌株LZ-1)DNRA效率的影响。结果表明,在甲酸钠、乙酸钠、丙酸钠和柠檬酸钠中,柠檬酸钠是增强菌株LZ-1中DNRA最有利的碳源。在3至20的范围内,菌株LZ-1的氨产量在碳氮比为8时达到峰值,在此之前增加,之后减少。此外,中性至碱性条件(pH 7-10)有利于DNRA过程,最佳初始pH值为9。温度研究表明,随着温度从20℃升高到35℃,DNRA效率呈现出先升高后下降的类似趋势,在30℃时氨产量达到峰值。硫离子的存在会抑制菌株LZ-1中的DNRA过程。然而,随着硫氮比从1/4增加到1,这种抑制作用减弱。这些见解有助于更深入地理解环境因素对DNRA的影响,并为利用菌株LZ-1从富含硝酸盐的废水中回收氮提供有价值的参考。

https://cdn.ncbi.nlm.nih.gov/pmc/blobs/b34d/12044463/a9d379877348/ao5c00470_0001.jpg

文献AI研究员

20分钟写一篇综述,助力文献阅读效率提升50倍。

立即体验

用中文搜PubMed

大模型驱动的PubMed中文搜索引擎

马上搜索

文档翻译

学术文献翻译模型,支持多种主流文档格式。

立即体验